脑卒中患者创伤后应激障碍症状的网络分析。

IF 3.2 3区 医学 Q2 PSYCHIATRY
Frontiers in Psychiatry Pub Date : 2025-09-18 eCollection Date: 2025-01-01 DOI:10.3389/fpsyt.2025.1663366
Yingying Li, Yanchun Li, Zhenmei Zhang
{"title":"脑卒中患者创伤后应激障碍症状的网络分析。","authors":"Yingying Li, Yanchun Li, Zhenmei Zhang","doi":"10.3389/fpsyt.2025.1663366","DOIUrl":null,"url":null,"abstract":"<p><strong>Background: </strong>Stroke patients have a high incidence of Post-traumatic stress disorder (PTSD). Previous studies on PTSD in stroke patients mainly focus on the risk factors and possible harms caused by PTSD and use the overall score to explain the severity of PTSD. The interconnections and effects of symptoms are ignored. Network analysis is a statistical method that can discover and visualize complex relationships between multiple variables. The purpose of this study was to identify the central and core symptoms in the symptom network of PTSD in stroke patients.</p><p><strong>Methods: </strong>315 patients diagnosed with cerebral apoplexy were selected as the study objects. Symptoms of PTSD were assessed using the Event Impact Scale (IES-R). The graph Gaussian model is used to estimate the network model. To clarify the network relationship and core symptoms of PTSD in stroke patients. The network's stability and accuracy are tested using the discard example method and non-parametric bootstrap method.</p><p><strong>Result: </strong>The network analysis found that A11 (I tried not to think about it) has the most substantial relationship with I3 (Other things kept making me think about it). I6 (I thought about it when I didn't mean to) has the most substantial relationship with I9 (Pictures about it popped into my mind). \"I was jumpy and easily startled\"(H10) is the core symptom of PTSD in stroke patients. The network structure is suitable for stability and accuracy tests.</p><p><strong>Conclusion: </strong>It is possible to reduce the severity of PTSD in stroke patients and promote their personal growth by taking timely intervention measures according to the identified central symptoms of PTSD.</p>","PeriodicalId":12605,"journal":{"name":"Frontiers in Psychiatry","volume":"16 ","pages":"1663366"},"PeriodicalIF":3.2000,"publicationDate":"2025-09-18","publicationTypes":"Journal Article","fieldsOfStudy":null,"isOpenAccess":false,"openAccessPdf":"https://www.ncbi.nlm.nih.gov/pmc/articles/PMC12488678/pdf/","citationCount":"0","resultStr":"{\"title\":\"Network analysis of post-traumatic stress disorder symptoms in stroke patients.\",\"authors\":\"Yingying Li, Yanchun Li, Zhenmei Zhang\",\"doi\":\"10.3389/fpsyt.2025.1663366\",\"DOIUrl\":null,\"url\":null,\"abstract\":\"<p><strong>Background: </strong>Stroke patients have a high incidence of Post-traumatic stress disorder (PTSD). Previous studies on PTSD in stroke patients mainly focus on the risk factors and possible harms caused by PTSD and use the overall score to explain the severity of PTSD. The interconnections and effects of symptoms are ignored. Network analysis is a statistical method that can discover and visualize complex relationships between multiple variables. The purpose of this study was to identify the central and core symptoms in the symptom network of PTSD in stroke patients.</p><p><strong>Methods: </strong>315 patients diagnosed with cerebral apoplexy were selected as the study objects. Symptoms of PTSD were assessed using the Event Impact Scale (IES-R). The graph Gaussian model is used to estimate the network model. To clarify the network relationship and core symptoms of PTSD in stroke patients. The network's stability and accuracy are tested using the discard example method and non-parametric bootstrap method.</p><p><strong>Result: </strong>The network analysis found that A11 (I tried not to think about it) has the most substantial relationship with I3 (Other things kept making me think about it). I6 (I thought about it when I didn't mean to) has the most substantial relationship with I9 (Pictures about it popped into my mind). \\\"I was jumpy and easily startled\\\"(H10) is the core symptom of PTSD in stroke patients. The network structure is suitable for stability and accuracy tests.</p><p><strong>Conclusion: </strong>It is possible to reduce the severity of PTSD in stroke patients and promote their personal growth by taking timely intervention measures according to the identified central symptoms of PTSD.</p>\",\"PeriodicalId\":12605,\"journal\":{\"name\":\"Frontiers in Psychiatry\",\"volume\":\"16 \",\"pages\":\"1663366\"},\"PeriodicalIF\":3.2000,\"publicationDate\":\"2025-09-18\",\"publicationTypes\":\"Journal Article\",\"fieldsOfStudy\":null,\"isOpenAccess\":false,\"openAccessPdf\":\"https://www.ncbi.nlm.nih.gov/pmc/articles/PMC12488678/pdf/\",\"citationCount\":\"0\",\"resultStr\":null,\"platform\":\"Semanticscholar\",\"paperid\":null,\"PeriodicalName\":\"Frontiers in Psychiatry\",\"FirstCategoryId\":\"3\",\"ListUrlMain\":\"https://doi.org/10.3389/fpsyt.2025.1663366\",\"RegionNum\":3,\"RegionCategory\":\"医学\",\"ArticlePicture\":[],\"TitleCN\":null,\"AbstractTextCN\":null,\"PMCID\":null,\"EPubDate\":\"2025/1/1 0:00:00\",\"PubModel\":\"eCollection\",\"JCR\":\"Q2\",\"JCRName\":\"PSYCHIATRY\",\"Score\":null,\"Total\":0}","platform":"Semanticscholar","paperid":null,"PeriodicalName":"Frontiers in Psychiatry","FirstCategoryId":"3","ListUrlMain":"https://doi.org/10.3389/fpsyt.2025.1663366","RegionNum":3,"RegionCategory":"医学","ArticlePicture":[],"TitleCN":null,"AbstractTextCN":null,"PMCID":null,"EPubDate":"2025/1/1 0:00:00","PubModel":"eCollection","JCR":"Q2","JCRName":"PSYCHIATRY","Score":null,"Total":0}
引用次数: 0

摘要

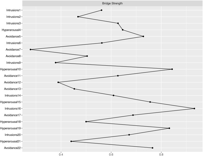
背景:脑卒中患者创伤后应激障碍(PTSD)发生率高。以往关于脑卒中患者PTSD的研究主要关注PTSD的危险因素和可能造成的危害,并采用总分来解释PTSD的严重程度。症状的相互联系和影响被忽略了。网络分析是一种能够发现和可视化多个变量之间复杂关系的统计方法。本研究的目的是确定脑卒中患者PTSD症状网络中的中心和核心症状。方法:选取315例脑卒中患者作为研究对象。使用事件影响量表(IES-R)评估PTSD症状。采用图高斯模型对网络模型进行估计。目的:探讨脑卒中患者创伤后应激障碍的网络关系及其核心症状。采用弃例法和非参数自举法对网络的稳定性和精度进行了检验。结果:网络分析发现A11(我尽量不去想它)与I3的关系最实质性(其他事情让我一直在想它)。I6(我在无意中想到了它)与I9的关系最为密切(关于它的画面突然出现在我的脑海中)。“我很紧张,很容易受惊”(H10)是中风患者PTSD的核心症状。该网络结构适合于稳定性和精度测试。结论:根据识别出的PTSD中心症状,及时采取干预措施,可以减轻脑卒中患者PTSD的严重程度,促进其个人成长。
本文章由计算机程序翻译,如有差异,请以英文原文为准。

Network analysis of post-traumatic stress disorder symptoms in stroke patients.

Network analysis of post-traumatic stress disorder symptoms in stroke patients.

Network analysis of post-traumatic stress disorder symptoms in stroke patients.

Network analysis of post-traumatic stress disorder symptoms in stroke patients.

Background: Stroke patients have a high incidence of Post-traumatic stress disorder (PTSD). Previous studies on PTSD in stroke patients mainly focus on the risk factors and possible harms caused by PTSD and use the overall score to explain the severity of PTSD. The interconnections and effects of symptoms are ignored. Network analysis is a statistical method that can discover and visualize complex relationships between multiple variables. The purpose of this study was to identify the central and core symptoms in the symptom network of PTSD in stroke patients.

Methods: 315 patients diagnosed with cerebral apoplexy were selected as the study objects. Symptoms of PTSD were assessed using the Event Impact Scale (IES-R). The graph Gaussian model is used to estimate the network model. To clarify the network relationship and core symptoms of PTSD in stroke patients. The network's stability and accuracy are tested using the discard example method and non-parametric bootstrap method.

Result: The network analysis found that A11 (I tried not to think about it) has the most substantial relationship with I3 (Other things kept making me think about it). I6 (I thought about it when I didn't mean to) has the most substantial relationship with I9 (Pictures about it popped into my mind). "I was jumpy and easily startled"(H10) is the core symptom of PTSD in stroke patients. The network structure is suitable for stability and accuracy tests.

Conclusion: It is possible to reduce the severity of PTSD in stroke patients and promote their personal growth by taking timely intervention measures according to the identified central symptoms of PTSD.

求助全文
通过发布文献求助,成功后即可免费获取论文全文。 去求助
来源期刊
Frontiers in Psychiatry
Frontiers in Psychiatry Medicine-Psychiatry and Mental Health
CiteScore
6.20
自引率
8.50%
发文量
2813
审稿时长
14 weeks
期刊介绍: Frontiers in Psychiatry publishes rigorously peer-reviewed research across a wide spectrum of translational, basic and clinical research. Field Chief Editor Stefan Borgwardt at the University of Basel is supported by an outstanding Editorial Board of international researchers. This multidisciplinary open-access journal is at the forefront of disseminating and communicating scientific knowledge and impactful discoveries to researchers, academics, clinicians and the public worldwide. The journal''s mission is to use translational approaches to improve therapeutic options for mental illness and consequently to improve patient treatment outcomes.
×
引用
GB/T 7714-2015
复制
MLA
复制
APA
复制
导出至
BibTeX EndNote RefMan NoteFirst NoteExpress
×
提示
您的信息不完整,为了账户安全,请先补充。
现在去补充
×
提示
您因"违规操作"
具体请查看互助需知
我知道了
×
提示
确定
请完成安全验证×
copy
已复制链接
快去分享给好友吧!
我知道了
右上角分享
点击右上角分享
0
联系我们:info@booksci.cn Book学术提供免费学术资源搜索服务,方便国内外学者检索中英文文献。致力于提供最便捷和优质的服务体验。 Copyright © 2023 布克学术 All rights reserved.
京ICP备2023020795号-1
ghs 京公网安备 11010802042870号
Book学术文献互助
Book学术文献互助群
群 号:604180095
Book学术官方微信