超越脆性X蛋白:邻里特征解释了脆性X综合征的智商和适应行为的个体差异。

IF 3.2 3区 医学 Q2 PSYCHIATRY
Frontiers in Psychiatry Pub Date : 2025-09-18 eCollection Date: 2025-01-01 DOI:10.3389/fpsyt.2025.1636987
Walker S McKinney, Austin Corsmeier, Ashley Dapore, Christina Gross, Kelli C Dominick, Craig A Erickson, Lauren M Schmitt
{"title":"超越脆性X蛋白:邻里特征解释了脆性X综合征的智商和适应行为的个体差异。","authors":"Walker S McKinney, Austin Corsmeier, Ashley Dapore, Christina Gross, Kelli C Dominick, Craig A Erickson, Lauren M Schmitt","doi":"10.3389/fpsyt.2025.1636987","DOIUrl":null,"url":null,"abstract":"<p><strong>Background: </strong>Fragile X syndrome (FXS) is the most common inherited cause of intellectual disability and is caused by reduced or absent Fragile X messenger ribonucleoprotein (FMRP). Cognitive and adaptive skills widely vary among individuals with FXS, and these individual phenotypic differences are not fully accounted for by individual differences in FMRP expression. Social-environmental factors, including social determinants of health, may help further explain these individual differences, but these environmental factors have been under-studied in FXS.</p><p><strong>Methods: </strong>175 participants with FXS (123 males; age range: 4-72 years) completed the Stanford-Binet, Fifth Edition to estimate IQ and a blood draw to quantify peripheral FMRP levels. Caregivers from a subset of participants also completed the Vineland Adaptive Behavior Scales. Neighborhood-level social-environmental information was extracted by linking participants' home addresses to rankings of neighborhood resources (e.g., household income, pollution, healthcare access) from the Child Opportunity Index (COI). We calculated the unique variance in IQ and adaptive behaviors accounted for by these neighborhood-level social-environmental factors from the COI while covarying for FMRP expression.</p><p><strong>Results: </strong>Even after accounting for individual differences in FMRP, numerous neighborhood factors were associated with greater IQ in males with FXS, including social resources and indicators of healthcare access. Different social-environment factors were associated with stronger adaptive skills in males with FXS, including economic and educational resources. Almost no neighborhood factors were associated with clinical outcomes in females.</p><p><strong>Discussion: </strong>Our finding of stronger links between neighborhood resources and clinical outcomes in males with FXS is consistent with previous work and may reflect increased reliance on social-environmental supports in males who typically have more significant intellectual and adaptive deficits than females. Consistent associations between greater social resources, higher IQ, and stronger adaptive skills suggest social support (e.g., social cohesion, resource and knowledge sharing) may be a particularly salient target for intervention. Associations between economic resources and adaptive communication skills also highlight the benefits of targeted economic supports for families affected by FXS. Together, our findings underscore the role of social determinants of health as key contributors to individual differences and the importance of considering these factors in clinical studies of FXS.</p>","PeriodicalId":12605,"journal":{"name":"Frontiers in Psychiatry","volume":"16 ","pages":"1636987"},"PeriodicalIF":3.2000,"publicationDate":"2025-09-18","publicationTypes":"Journal Article","fieldsOfStudy":null,"isOpenAccess":false,"openAccessPdf":"https://www.ncbi.nlm.nih.gov/pmc/articles/PMC12488564/pdf/","citationCount":"0","resultStr":"{\"title\":\"Beyond the Fragile X protein: neighborhood characteristics explain individual differences in IQ and adaptive behaviors of Fragile X syndrome.\",\"authors\":\"Walker S McKinney, Austin Corsmeier, Ashley Dapore, Christina Gross, Kelli C Dominick, Craig A Erickson, Lauren M Schmitt\",\"doi\":\"10.3389/fpsyt.2025.1636987\",\"DOIUrl\":null,\"url\":null,\"abstract\":\"<p><strong>Background: </strong>Fragile X syndrome (FXS) is the most common inherited cause of intellectual disability and is caused by reduced or absent Fragile X messenger ribonucleoprotein (FMRP). Cognitive and adaptive skills widely vary among individuals with FXS, and these individual phenotypic differences are not fully accounted for by individual differences in FMRP expression. Social-environmental factors, including social determinants of health, may help further explain these individual differences, but these environmental factors have been under-studied in FXS.</p><p><strong>Methods: </strong>175 participants with FXS (123 males; age range: 4-72 years) completed the Stanford-Binet, Fifth Edition to estimate IQ and a blood draw to quantify peripheral FMRP levels. Caregivers from a subset of participants also completed the Vineland Adaptive Behavior Scales. Neighborhood-level social-environmental information was extracted by linking participants' home addresses to rankings of neighborhood resources (e.g., household income, pollution, healthcare access) from the Child Opportunity Index (COI). We calculated the unique variance in IQ and adaptive behaviors accounted for by these neighborhood-level social-environmental factors from the COI while covarying for FMRP expression.</p><p><strong>Results: </strong>Even after accounting for individual differences in FMRP, numerous neighborhood factors were associated with greater IQ in males with FXS, including social resources and indicators of healthcare access. Different social-environment factors were associated with stronger adaptive skills in males with FXS, including economic and educational resources. Almost no neighborhood factors were associated with clinical outcomes in females.</p><p><strong>Discussion: </strong>Our finding of stronger links between neighborhood resources and clinical outcomes in males with FXS is consistent with previous work and may reflect increased reliance on social-environmental supports in males who typically have more significant intellectual and adaptive deficits than females. Consistent associations between greater social resources, higher IQ, and stronger adaptive skills suggest social support (e.g., social cohesion, resource and knowledge sharing) may be a particularly salient target for intervention. Associations between economic resources and adaptive communication skills also highlight the benefits of targeted economic supports for families affected by FXS. Together, our findings underscore the role of social determinants of health as key contributors to individual differences and the importance of considering these factors in clinical studies of FXS.</p>\",\"PeriodicalId\":12605,\"journal\":{\"name\":\"Frontiers in Psychiatry\",\"volume\":\"16 \",\"pages\":\"1636987\"},\"PeriodicalIF\":3.2000,\"publicationDate\":\"2025-09-18\",\"publicationTypes\":\"Journal Article\",\"fieldsOfStudy\":null,\"isOpenAccess\":false,\"openAccessPdf\":\"https://www.ncbi.nlm.nih.gov/pmc/articles/PMC12488564/pdf/\",\"citationCount\":\"0\",\"resultStr\":null,\"platform\":\"Semanticscholar\",\"paperid\":null,\"PeriodicalName\":\"Frontiers in Psychiatry\",\"FirstCategoryId\":\"3\",\"ListUrlMain\":\"https://doi.org/10.3389/fpsyt.2025.1636987\",\"RegionNum\":3,\"RegionCategory\":\"医学\",\"ArticlePicture\":[],\"TitleCN\":null,\"AbstractTextCN\":null,\"PMCID\":null,\"EPubDate\":\"2025/1/1 0:00:00\",\"PubModel\":\"eCollection\",\"JCR\":\"Q2\",\"JCRName\":\"PSYCHIATRY\",\"Score\":null,\"Total\":0}","platform":"Semanticscholar","paperid":null,"PeriodicalName":"Frontiers in Psychiatry","FirstCategoryId":"3","ListUrlMain":"https://doi.org/10.3389/fpsyt.2025.1636987","RegionNum":3,"RegionCategory":"医学","ArticlePicture":[],"TitleCN":null,"AbstractTextCN":null,"PMCID":null,"EPubDate":"2025/1/1 0:00:00","PubModel":"eCollection","JCR":"Q2","JCRName":"PSYCHIATRY","Score":null,"Total":0}
引用次数: 0

摘要

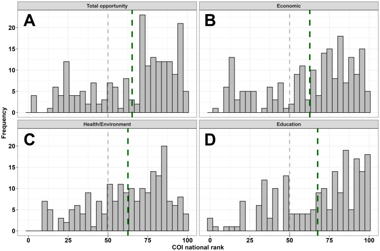
背景:脆性X综合征(Fragile X syndrome, FXS)是智力残疾最常见的遗传原因,由脆性X信使核糖核蛋白(脆性X信使核糖核蛋白,FMRP)减少或缺失引起。FXS个体的认知和适应能力差异很大,这些个体表型差异并不能完全由FMRP表达的个体差异来解释。社会环境因素,包括健康的社会决定因素,可能有助于进一步解释这些个体差异,但这些环境因素在FXS中尚未得到充分研究。方法:175名FXS参与者(123名男性,年龄范围:4-72岁)完成了Stanford-Binet,第五版评估智商和抽血量化外周FMRP水平。一部分参与者的照顾者也完成了Vineland适应行为量表。通过将参与者的家庭地址与儿童机会指数(COI)中的社区资源(如家庭收入、污染、医疗保健)排名联系起来,提取了社区层面的社会环境信息。在共变FMRP表达的同时,我们从COI中计算了由这些社区水平的社会环境因素引起的智商和适应行为的独特方差。结果:即使在考虑了FMRP的个体差异后,许多社区因素与FXS男性的高智商相关,包括社会资源和医疗保健获取指标。不同的社会环境因素与FXS男性更强的适应技能相关,包括经济和教育资源。几乎没有邻里因素与女性的临床结果相关。讨论:我们发现FXS男性患者的社区资源与临床结果之间存在更强的联系,这与之前的研究结果一致,可能反映了智力和适应缺陷通常比女性更严重的男性对社会环境支持的依赖程度增加。更多的社会资源、更高的智商和更强的适应技能之间的一致关联表明,社会支持(如社会凝聚力、资源和知识共享)可能是干预的一个特别突出的目标。经济资源和适应性沟通技能之间的联系也突出了为受FXS影响的家庭提供有针对性的经济支持的好处。总之,我们的研究结果强调了健康的社会决定因素作为个体差异的关键因素的作用,以及在FXS的临床研究中考虑这些因素的重要性。
本文章由计算机程序翻译,如有差异,请以英文原文为准。

Beyond the Fragile X protein: neighborhood characteristics explain individual differences in IQ and adaptive behaviors of Fragile X syndrome.

Beyond the Fragile X protein: neighborhood characteristics explain individual differences in IQ and adaptive behaviors of Fragile X syndrome.

Beyond the Fragile X protein: neighborhood characteristics explain individual differences in IQ and adaptive behaviors of Fragile X syndrome.

Beyond the Fragile X protein: neighborhood characteristics explain individual differences in IQ and adaptive behaviors of Fragile X syndrome.

Background: Fragile X syndrome (FXS) is the most common inherited cause of intellectual disability and is caused by reduced or absent Fragile X messenger ribonucleoprotein (FMRP). Cognitive and adaptive skills widely vary among individuals with FXS, and these individual phenotypic differences are not fully accounted for by individual differences in FMRP expression. Social-environmental factors, including social determinants of health, may help further explain these individual differences, but these environmental factors have been under-studied in FXS.

Methods: 175 participants with FXS (123 males; age range: 4-72 years) completed the Stanford-Binet, Fifth Edition to estimate IQ and a blood draw to quantify peripheral FMRP levels. Caregivers from a subset of participants also completed the Vineland Adaptive Behavior Scales. Neighborhood-level social-environmental information was extracted by linking participants' home addresses to rankings of neighborhood resources (e.g., household income, pollution, healthcare access) from the Child Opportunity Index (COI). We calculated the unique variance in IQ and adaptive behaviors accounted for by these neighborhood-level social-environmental factors from the COI while covarying for FMRP expression.

Results: Even after accounting for individual differences in FMRP, numerous neighborhood factors were associated with greater IQ in males with FXS, including social resources and indicators of healthcare access. Different social-environment factors were associated with stronger adaptive skills in males with FXS, including economic and educational resources. Almost no neighborhood factors were associated with clinical outcomes in females.

Discussion: Our finding of stronger links between neighborhood resources and clinical outcomes in males with FXS is consistent with previous work and may reflect increased reliance on social-environmental supports in males who typically have more significant intellectual and adaptive deficits than females. Consistent associations between greater social resources, higher IQ, and stronger adaptive skills suggest social support (e.g., social cohesion, resource and knowledge sharing) may be a particularly salient target for intervention. Associations between economic resources and adaptive communication skills also highlight the benefits of targeted economic supports for families affected by FXS. Together, our findings underscore the role of social determinants of health as key contributors to individual differences and the importance of considering these factors in clinical studies of FXS.

求助全文
通过发布文献求助,成功后即可免费获取论文全文。 去求助
来源期刊
Frontiers in Psychiatry
Frontiers in Psychiatry Medicine-Psychiatry and Mental Health
CiteScore
6.20
自引率
8.50%
发文量
2813
审稿时长
14 weeks
期刊介绍: Frontiers in Psychiatry publishes rigorously peer-reviewed research across a wide spectrum of translational, basic and clinical research. Field Chief Editor Stefan Borgwardt at the University of Basel is supported by an outstanding Editorial Board of international researchers. This multidisciplinary open-access journal is at the forefront of disseminating and communicating scientific knowledge and impactful discoveries to researchers, academics, clinicians and the public worldwide. The journal''s mission is to use translational approaches to improve therapeutic options for mental illness and consequently to improve patient treatment outcomes.
×
引用
GB/T 7714-2015
复制
MLA
复制
APA
复制
导出至
BibTeX EndNote RefMan NoteFirst NoteExpress
×
提示
您的信息不完整,为了账户安全,请先补充。
现在去补充
×
提示
您因"违规操作"
具体请查看互助需知
我知道了
×
提示
确定
请完成安全验证×
copy
已复制链接
快去分享给好友吧!
我知道了
右上角分享
点击右上角分享
0
联系我们:info@booksci.cn Book学术提供免费学术资源搜索服务,方便国内外学者检索中英文文献。致力于提供最便捷和优质的服务体验。 Copyright © 2023 布克学术 All rights reserved.
京ICP备2023020795号-1
ghs 京公网安备 11010802042870号
Book学术文献互助
Book学术文献互助群
群 号:604180095
Book学术官方微信