国家级运动员睡眠前心率变异性预测慢性失眠症和睡眠连续性的测量。

IF 3.2 3区 医学 Q2 PHYSIOLOGY
Frontiers in Physiology Pub Date : 2025-09-18 eCollection Date: 2025-01-01 DOI:10.3389/fphys.2025.1627287
Qinlong Li, Xiaochen Lei, Wenlang Yu, Charles J Steward, Yue Zhou
{"title":"国家级运动员睡眠前心率变异性预测慢性失眠症和睡眠连续性的测量。","authors":"Qinlong Li, Xiaochen Lei, Wenlang Yu, Charles J Steward, Yue Zhou","doi":"10.3389/fphys.2025.1627287","DOIUrl":null,"url":null,"abstract":"<p><strong>Objective: </strong>This study aimed to investigate whether pre-sleep heart rate variability (HRV) could predict chronic insomnia (CI) and sleep quality in male national-level team-based athletes.</p><p><strong>Methods: </strong>A total of 174 athletes participated in this study, including 98 with CI and 76 exhibiting normal sleeping patterns. Pre-sleep HRV was assessed using heart rate chest straps, and sleep quality was evaluated through polysomnography (PSG) before a single night's sleep. Binary logistic regression was first used to predict CI. Multiple linear regression and multi-layer perceptron (MLP) neural network models were then used to predict measures of sleep quality.</p><p><strong>Results: </strong>Binary logistic regression revealed that measures of pre-sleep HRV accurately predict CI (<i>R</i> <sup>2</sup> = 0.902 and 96% accuracy, AUC = 0.997). Multiple linear regression showed that pre-sleep HRV had a moderate predictive capacity for time awake (<i>R</i> <sup>2</sup> = 0.526, <i>P</i> < 0.001) and sleep efficiency (<i>R</i> <sup>2</sup> = 0.481, <i>P</i> < 0.001). The multiple linear regression model's predicted values for sleep onset latency (r = 0.459, <i>P</i> < 0.01), sleep efficiency (r = 0.554, <i>P</i> < 0.001), and deep sleep time (r = 0.536, <i>P</i> < 0.001) showed moderate positive correlations with the corresponding actual values, whereas the MLP neural network's predictions were not significantly correlated with the actual values. In contrast, the MLP neural network model was superior at predicting time awake when compared to the multiple linear regression model (MLP: mean absolute percentage error = 0.182 vs. Multiple linear regression: mean absolute percentage error = 0.516).</p><p><strong>Conclusion: </strong>The present findings support the use of pre-sleep HRV not only to predict CI, but also some sleep continuity measures in national level athletes.</p>","PeriodicalId":12477,"journal":{"name":"Frontiers in Physiology","volume":"16 ","pages":"1627287"},"PeriodicalIF":3.2000,"publicationDate":"2025-09-18","publicationTypes":"Journal Article","fieldsOfStudy":null,"isOpenAccess":false,"openAccessPdf":"https://www.ncbi.nlm.nih.gov/pmc/articles/PMC12488725/pdf/","citationCount":"0","resultStr":"{\"title\":\"Pre-sleep heart rate variability predicts chronic insomnia and measures of sleep continuity in national-level athletes.\",\"authors\":\"Qinlong Li, Xiaochen Lei, Wenlang Yu, Charles J Steward, Yue Zhou\",\"doi\":\"10.3389/fphys.2025.1627287\",\"DOIUrl\":null,\"url\":null,\"abstract\":\"<p><strong>Objective: </strong>This study aimed to investigate whether pre-sleep heart rate variability (HRV) could predict chronic insomnia (CI) and sleep quality in male national-level team-based athletes.</p><p><strong>Methods: </strong>A total of 174 athletes participated in this study, including 98 with CI and 76 exhibiting normal sleeping patterns. Pre-sleep HRV was assessed using heart rate chest straps, and sleep quality was evaluated through polysomnography (PSG) before a single night's sleep. Binary logistic regression was first used to predict CI. Multiple linear regression and multi-layer perceptron (MLP) neural network models were then used to predict measures of sleep quality.</p><p><strong>Results: </strong>Binary logistic regression revealed that measures of pre-sleep HRV accurately predict CI (<i>R</i> <sup>2</sup> = 0.902 and 96% accuracy, AUC = 0.997). Multiple linear regression showed that pre-sleep HRV had a moderate predictive capacity for time awake (<i>R</i> <sup>2</sup> = 0.526, <i>P</i> < 0.001) and sleep efficiency (<i>R</i> <sup>2</sup> = 0.481, <i>P</i> < 0.001). The multiple linear regression model's predicted values for sleep onset latency (r = 0.459, <i>P</i> < 0.01), sleep efficiency (r = 0.554, <i>P</i> < 0.001), and deep sleep time (r = 0.536, <i>P</i> < 0.001) showed moderate positive correlations with the corresponding actual values, whereas the MLP neural network's predictions were not significantly correlated with the actual values. In contrast, the MLP neural network model was superior at predicting time awake when compared to the multiple linear regression model (MLP: mean absolute percentage error = 0.182 vs. Multiple linear regression: mean absolute percentage error = 0.516).</p><p><strong>Conclusion: </strong>The present findings support the use of pre-sleep HRV not only to predict CI, but also some sleep continuity measures in national level athletes.</p>\",\"PeriodicalId\":12477,\"journal\":{\"name\":\"Frontiers in Physiology\",\"volume\":\"16 \",\"pages\":\"1627287\"},\"PeriodicalIF\":3.2000,\"publicationDate\":\"2025-09-18\",\"publicationTypes\":\"Journal Article\",\"fieldsOfStudy\":null,\"isOpenAccess\":false,\"openAccessPdf\":\"https://www.ncbi.nlm.nih.gov/pmc/articles/PMC12488725/pdf/\",\"citationCount\":\"0\",\"resultStr\":null,\"platform\":\"Semanticscholar\",\"paperid\":null,\"PeriodicalName\":\"Frontiers in Physiology\",\"FirstCategoryId\":\"3\",\"ListUrlMain\":\"https://doi.org/10.3389/fphys.2025.1627287\",\"RegionNum\":3,\"RegionCategory\":\"医学\",\"ArticlePicture\":[],\"TitleCN\":null,\"AbstractTextCN\":null,\"PMCID\":null,\"EPubDate\":\"2025/1/1 0:00:00\",\"PubModel\":\"eCollection\",\"JCR\":\"Q2\",\"JCRName\":\"PHYSIOLOGY\",\"Score\":null,\"Total\":0}","platform":"Semanticscholar","paperid":null,"PeriodicalName":"Frontiers in Physiology","FirstCategoryId":"3","ListUrlMain":"https://doi.org/10.3389/fphys.2025.1627287","RegionNum":3,"RegionCategory":"医学","ArticlePicture":[],"TitleCN":null,"AbstractTextCN":null,"PMCID":null,"EPubDate":"2025/1/1 0:00:00","PubModel":"eCollection","JCR":"Q2","JCRName":"PHYSIOLOGY","Score":null,"Total":0}
引用次数: 0

摘要

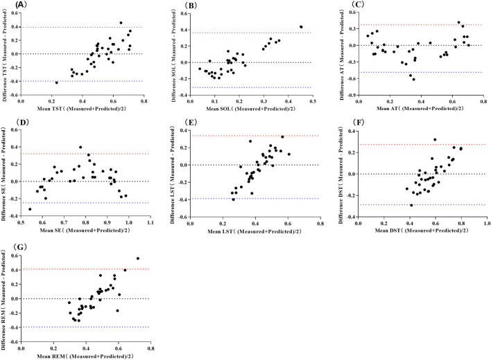
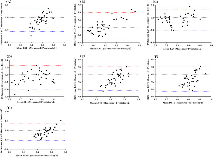
目的:探讨睡眠前心率变异性(HRV)对男性国家级运动队运动员慢性失眠(CI)和睡眠质量的预测作用。方法:174名运动员参与本研究,其中CI 98名,正常睡眠76名。使用心率胸带评估睡眠前HRV,在单晚睡眠前通过多导睡眠描记仪(PSG)评估睡眠质量。二元逻辑回归首先用于预测CI。然后使用多元线性回归和多层感知器(MLP)神经网络模型来预测睡眠质量的测量。结果:二元logistic回归显示,睡眠前HRV测量准确预测CI (r2 = 0.902,准确率96%,AUC = 0.997)。多元线性回归显示,睡眠前HRV对清醒时间(r2 = 0.526, P < 0.001)和睡眠效率(r2 = 0.481, P < 0.001)具有中等预测能力。多元线性回归模型的睡眠潜伏期预测值(r = 0.459, P < 0.01)、睡眠效率预测值(r = 0.554, P < 0.001)和深度睡眠时间预测值(r = 0.536, P < 0.001)与实际值呈中等正相关,而MLP神经网络预测值与实际值无显著相关。相比之下,与多元线性回归模型相比,MLP神经网络模型在预测清醒时间方面优于多元线性回归模型(MLP:平均绝对百分比误差= 0.182 vs多元线性回归:平均绝对百分比误差= 0.516)。结论:本研究结果不仅支持使用睡眠前HRV预测CI,而且支持一些国家级运动员的睡眠连续性措施。
本文章由计算机程序翻译,如有差异,请以英文原文为准。

Pre-sleep heart rate variability predicts chronic insomnia and measures of sleep continuity in national-level athletes.

Pre-sleep heart rate variability predicts chronic insomnia and measures of sleep continuity in national-level athletes.

Pre-sleep heart rate variability predicts chronic insomnia and measures of sleep continuity in national-level athletes.

Objective: This study aimed to investigate whether pre-sleep heart rate variability (HRV) could predict chronic insomnia (CI) and sleep quality in male national-level team-based athletes.

Methods: A total of 174 athletes participated in this study, including 98 with CI and 76 exhibiting normal sleeping patterns. Pre-sleep HRV was assessed using heart rate chest straps, and sleep quality was evaluated through polysomnography (PSG) before a single night's sleep. Binary logistic regression was first used to predict CI. Multiple linear regression and multi-layer perceptron (MLP) neural network models were then used to predict measures of sleep quality.

Results: Binary logistic regression revealed that measures of pre-sleep HRV accurately predict CI (R 2 = 0.902 and 96% accuracy, AUC = 0.997). Multiple linear regression showed that pre-sleep HRV had a moderate predictive capacity for time awake (R 2 = 0.526, P < 0.001) and sleep efficiency (R 2 = 0.481, P < 0.001). The multiple linear regression model's predicted values for sleep onset latency (r = 0.459, P < 0.01), sleep efficiency (r = 0.554, P < 0.001), and deep sleep time (r = 0.536, P < 0.001) showed moderate positive correlations with the corresponding actual values, whereas the MLP neural network's predictions were not significantly correlated with the actual values. In contrast, the MLP neural network model was superior at predicting time awake when compared to the multiple linear regression model (MLP: mean absolute percentage error = 0.182 vs. Multiple linear regression: mean absolute percentage error = 0.516).

Conclusion: The present findings support the use of pre-sleep HRV not only to predict CI, but also some sleep continuity measures in national level athletes.

求助全文
通过发布文献求助,成功后即可免费获取论文全文。 去求助
来源期刊
CiteScore
6.50
自引率
5.00%
发文量
2608
审稿时长
14 weeks
期刊介绍: Frontiers in Physiology is a leading journal in its field, publishing rigorously peer-reviewed research on the physiology of living systems, from the subcellular and molecular domains to the intact organism, and its interaction with the environment. Field Chief Editor George E. Billman at the Ohio State University Columbus is supported by an outstanding Editorial Board of international researchers. This multidisciplinary open-access journal is at the forefront of disseminating and communicating scientific knowledge and impactful discoveries to researchers, academics, clinicians and the public worldwide.
×
引用
GB/T 7714-2015
复制
MLA
复制
APA
复制
导出至
BibTeX EndNote RefMan NoteFirst NoteExpress
×
提示
您的信息不完整,为了账户安全,请先补充。
现在去补充
×
提示
您因"违规操作"
具体请查看互助需知
我知道了
×
提示
确定
请完成安全验证×
copy
已复制链接
快去分享给好友吧!
我知道了
右上角分享
点击右上角分享
0
联系我们:info@booksci.cn Book学术提供免费学术资源搜索服务,方便国内外学者检索中英文文献。致力于提供最便捷和优质的服务体验。 Copyright © 2023 布克学术 All rights reserved.
京ICP备2023020795号-1
ghs 京公网安备 11010802042870号
Book学术文献互助
Book学术文献互助群
群 号:604180095
Book学术官方微信