基于虚拟现实的认知训练计划对物质使用障碍个体的记忆、执行功能和处理速度的有效性:一项准实验研究。

IF 2.9 3区 医学 Q2 BEHAVIORAL SCIENCES
Frontiers in Behavioral Neuroscience Pub Date : 2025-09-19 eCollection Date: 2025-01-01 DOI:10.3389/fnbeh.2025.1653783
Tânia Caetano, Maria Salomé Pinho, Eduardo Ramadas, Filipa Freire-Santos, Maria Dos Anjos Dixe
{"title":"基于虚拟现实的认知训练计划对物质使用障碍个体的记忆、执行功能和处理速度的有效性:一项准实验研究。","authors":"Tânia Caetano, Maria Salomé Pinho, Eduardo Ramadas, Filipa Freire-Santos, Maria Dos Anjos Dixe","doi":"10.3389/fnbeh.2025.1653783","DOIUrl":null,"url":null,"abstract":"<p><strong>Background: </strong>Cognitive deficits are frequently observed in individuals with Substance use disorders (SUD) and have been linked to poorer treatment outcomes and a heightened risk of relapse. We aimed to study the effectiveness of a 6-week virtual reality-based cognitive training program (VRainSUD-VR) on neuropsychological outcomes, specifically memory, executive functioning, and processing speed, as well as on treatment dropout rates in individuals with SUD. We hypothesized that adding VRainSUD-VR to treatment as usual (TAU) would lead to greater cognitive improvements compared to TAU alone. As a secondary hypothesis, we expected VRainSUD-VR to reduce false memories relative to TAU.</p><p><strong>Methods: </strong>A non-randomized design with a control group, pre- and post-test assessments, and convenience sampling was employed. Patients (<i>N</i> = 47) were assigned to either the control group (CG), which received TAU (<i>n</i> = 22), or the experimental group (EG), which received VRainSUD-VR in addition to TAU (<i>n</i> = 25). Cognitive and treatment outcomes (e.g., dropout rates) were assessed at pre- and post-test.</p><p><strong>Results: </strong>Statistically significant time × group interactions were found for overall executive functioning [<i>F</i> <sub>(1, 75)</sub> = 20.05, <i>p</i> < 0.001] and global memory [<i>F</i> <sub>(1, 75)</sub> = 36.42, <i>p</i> < 0.001], indicating the effectiveness of VRainSUD-VR. No significant time × group interactions were found for most processing speed outcomes (<i>p</i> > 0.05).</p><p><strong>Conclusion: </strong>VRainSUD-VR could be integrated into residential programs to improve general executive functioning, perceptual reasoning, and working memory, including visual working memory, as well as different aspects of global memory, such as visual, auditory, immediate, and delayed recall. Future research should explore the long-term effects of this intervention and consider additional potential mediating factors to gain a deeper understanding of the mechanisms underlying its effectiveness.</p>","PeriodicalId":12368,"journal":{"name":"Frontiers in Behavioral Neuroscience","volume":"19 ","pages":"1653783"},"PeriodicalIF":2.9000,"publicationDate":"2025-09-19","publicationTypes":"Journal Article","fieldsOfStudy":null,"isOpenAccess":false,"openAccessPdf":"https://www.ncbi.nlm.nih.gov/pmc/articles/PMC12493147/pdf/","citationCount":"0","resultStr":"{\"title\":\"Effectiveness of a virtual reality-based cognitive training program on memory, executive functioning, and processing speed in individuals with substance use disorders: a quasi-experimental study.\",\"authors\":\"Tânia Caetano, Maria Salomé Pinho, Eduardo Ramadas, Filipa Freire-Santos, Maria Dos Anjos Dixe\",\"doi\":\"10.3389/fnbeh.2025.1653783\",\"DOIUrl\":null,\"url\":null,\"abstract\":\"<p><strong>Background: </strong>Cognitive deficits are frequently observed in individuals with Substance use disorders (SUD) and have been linked to poorer treatment outcomes and a heightened risk of relapse. We aimed to study the effectiveness of a 6-week virtual reality-based cognitive training program (VRainSUD-VR) on neuropsychological outcomes, specifically memory, executive functioning, and processing speed, as well as on treatment dropout rates in individuals with SUD. We hypothesized that adding VRainSUD-VR to treatment as usual (TAU) would lead to greater cognitive improvements compared to TAU alone. As a secondary hypothesis, we expected VRainSUD-VR to reduce false memories relative to TAU.</p><p><strong>Methods: </strong>A non-randomized design with a control group, pre- and post-test assessments, and convenience sampling was employed. Patients (<i>N</i> = 47) were assigned to either the control group (CG), which received TAU (<i>n</i> = 22), or the experimental group (EG), which received VRainSUD-VR in addition to TAU (<i>n</i> = 25). Cognitive and treatment outcomes (e.g., dropout rates) were assessed at pre- and post-test.</p><p><strong>Results: </strong>Statistically significant time × group interactions were found for overall executive functioning [<i>F</i> <sub>(1, 75)</sub> = 20.05, <i>p</i> < 0.001] and global memory [<i>F</i> <sub>(1, 75)</sub> = 36.42, <i>p</i> < 0.001], indicating the effectiveness of VRainSUD-VR. No significant time × group interactions were found for most processing speed outcomes (<i>p</i> > 0.05).</p><p><strong>Conclusion: </strong>VRainSUD-VR could be integrated into residential programs to improve general executive functioning, perceptual reasoning, and working memory, including visual working memory, as well as different aspects of global memory, such as visual, auditory, immediate, and delayed recall. Future research should explore the long-term effects of this intervention and consider additional potential mediating factors to gain a deeper understanding of the mechanisms underlying its effectiveness.</p>\",\"PeriodicalId\":12368,\"journal\":{\"name\":\"Frontiers in Behavioral Neuroscience\",\"volume\":\"19 \",\"pages\":\"1653783\"},\"PeriodicalIF\":2.9000,\"publicationDate\":\"2025-09-19\",\"publicationTypes\":\"Journal Article\",\"fieldsOfStudy\":null,\"isOpenAccess\":false,\"openAccessPdf\":\"https://www.ncbi.nlm.nih.gov/pmc/articles/PMC12493147/pdf/\",\"citationCount\":\"0\",\"resultStr\":null,\"platform\":\"Semanticscholar\",\"paperid\":null,\"PeriodicalName\":\"Frontiers in Behavioral Neuroscience\",\"FirstCategoryId\":\"3\",\"ListUrlMain\":\"https://doi.org/10.3389/fnbeh.2025.1653783\",\"RegionNum\":3,\"RegionCategory\":\"医学\",\"ArticlePicture\":[],\"TitleCN\":null,\"AbstractTextCN\":null,\"PMCID\":null,\"EPubDate\":\"2025/1/1 0:00:00\",\"PubModel\":\"eCollection\",\"JCR\":\"Q2\",\"JCRName\":\"BEHAVIORAL SCIENCES\",\"Score\":null,\"Total\":0}","platform":"Semanticscholar","paperid":null,"PeriodicalName":"Frontiers in Behavioral Neuroscience","FirstCategoryId":"3","ListUrlMain":"https://doi.org/10.3389/fnbeh.2025.1653783","RegionNum":3,"RegionCategory":"医学","ArticlePicture":[],"TitleCN":null,"AbstractTextCN":null,"PMCID":null,"EPubDate":"2025/1/1 0:00:00","PubModel":"eCollection","JCR":"Q2","JCRName":"BEHAVIORAL SCIENCES","Score":null,"Total":0}
引用次数: 0

摘要

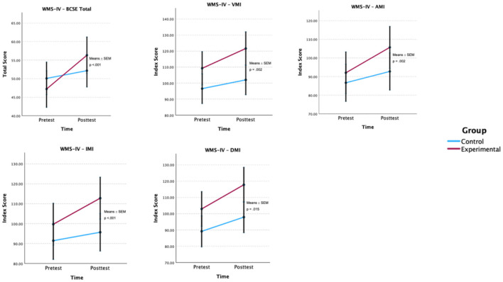
背景:认知缺陷在物质使用障碍(SUD)患者中经常被观察到,并且与较差的治疗结果和较高的复发风险有关。我们旨在研究为期6周的基于虚拟现实的认知训练计划(VRainSUD-VR)对神经心理结果的影响,特别是记忆、执行功能和处理速度,以及对SUD患者治疗辍学率的影响。我们假设,与单独使用TAU相比,将VRainSUD-VR加入常规治疗(TAU)会导致更大的认知改善。作为第二个假设,我们期望VRainSUD-VR相对于TAU减少错误记忆。方法:采用非随机设计,设对照组,进行测试前和测试后评估,并采用方便抽样。患者(N = 47)被分配到对照组(CG),接受TAU (N = 22),或实验组(EG),在TAU的基础上接受VRainSUD-VR (N = 25)。在测试前和测试后评估认知和治疗结果(如辍学率)。结果:整体执行功能[F (1,75) = 20.05, p < 0.001]和整体记忆[F (1,75) = 36.42, p < 0.001]的时间×组交互作用具有统计学意义,表明VRainSUD-VR的有效性。大多数处理速度结果没有发现显著的时间×组相互作用(p < 0.05)。结论:VRainSUD-VR可以整合到住宿项目中,以改善一般执行功能、知觉推理和工作记忆,包括视觉工作记忆,以及整体记忆的不同方面,如视觉、听觉、即时和延迟回忆。未来的研究应该探索这种干预的长期影响,并考虑其他潜在的中介因素,以更深入地了解其有效性的机制。
本文章由计算机程序翻译,如有差异,请以英文原文为准。

Effectiveness of a virtual reality-based cognitive training program on memory, executive functioning, and processing speed in individuals with substance use disorders: a quasi-experimental study.

Effectiveness of a virtual reality-based cognitive training program on memory, executive functioning, and processing speed in individuals with substance use disorders: a quasi-experimental study.

Effectiveness of a virtual reality-based cognitive training program on memory, executive functioning, and processing speed in individuals with substance use disorders: a quasi-experimental study.

Effectiveness of a virtual reality-based cognitive training program on memory, executive functioning, and processing speed in individuals with substance use disorders: a quasi-experimental study.

Background: Cognitive deficits are frequently observed in individuals with Substance use disorders (SUD) and have been linked to poorer treatment outcomes and a heightened risk of relapse. We aimed to study the effectiveness of a 6-week virtual reality-based cognitive training program (VRainSUD-VR) on neuropsychological outcomes, specifically memory, executive functioning, and processing speed, as well as on treatment dropout rates in individuals with SUD. We hypothesized that adding VRainSUD-VR to treatment as usual (TAU) would lead to greater cognitive improvements compared to TAU alone. As a secondary hypothesis, we expected VRainSUD-VR to reduce false memories relative to TAU.

Methods: A non-randomized design with a control group, pre- and post-test assessments, and convenience sampling was employed. Patients (N = 47) were assigned to either the control group (CG), which received TAU (n = 22), or the experimental group (EG), which received VRainSUD-VR in addition to TAU (n = 25). Cognitive and treatment outcomes (e.g., dropout rates) were assessed at pre- and post-test.

Results: Statistically significant time × group interactions were found for overall executive functioning [F (1, 75) = 20.05, p < 0.001] and global memory [F (1, 75) = 36.42, p < 0.001], indicating the effectiveness of VRainSUD-VR. No significant time × group interactions were found for most processing speed outcomes (p > 0.05).

Conclusion: VRainSUD-VR could be integrated into residential programs to improve general executive functioning, perceptual reasoning, and working memory, including visual working memory, as well as different aspects of global memory, such as visual, auditory, immediate, and delayed recall. Future research should explore the long-term effects of this intervention and consider additional potential mediating factors to gain a deeper understanding of the mechanisms underlying its effectiveness.

求助全文
通过发布文献求助,成功后即可免费获取论文全文。 去求助
来源期刊
Frontiers in Behavioral Neuroscience
Frontiers in Behavioral Neuroscience BEHAVIORAL SCIENCES-NEUROSCIENCES
CiteScore
4.70
自引率
3.30%
发文量
506
审稿时长
6-12 weeks
期刊介绍: Frontiers in Behavioral Neuroscience is a leading journal in its field, publishing rigorously peer-reviewed research that advances our understanding of the neural mechanisms underlying behavior. Field Chief Editor Nuno Sousa at the Instituto de Pesquisa em Ciências da Vida e da Saúde (ICVS) is supported by an outstanding Editorial Board of international experts. This multidisciplinary open-access journal is at the forefront of disseminating and communicating scientific knowledge and impactful discoveries to researchers, academics, clinicians and the public worldwide. This journal publishes major insights into the neural mechanisms of animal and human behavior, and welcomes articles studying the interplay between behavior and its neurobiological basis at all levels: from molecular biology and genetics, to morphological, biochemical, neurochemical, electrophysiological, neuroendocrine, pharmacological, and neuroimaging studies.
×
引用
GB/T 7714-2015
复制
MLA
复制
APA
复制
导出至
BibTeX EndNote RefMan NoteFirst NoteExpress
×
提示
您的信息不完整,为了账户安全,请先补充。
现在去补充
×
提示
您因"违规操作"
具体请查看互助需知
我知道了
×
提示
确定
请完成安全验证×
copy
已复制链接
快去分享给好友吧!
我知道了
右上角分享
点击右上角分享
0
联系我们:info@booksci.cn Book学术提供免费学术资源搜索服务,方便国内外学者检索中英文文献。致力于提供最便捷和优质的服务体验。 Copyright © 2023 布克学术 All rights reserved.
京ICP备2023020795号-1
ghs 京公网安备 11010802042870号
Book学术文献互助
Book学术文献互助群
群 号:604180095
Book学术官方微信