c反应蛋白-甘油三酯葡萄糖指数预测心血管-肾脏代谢综合征0-3期的死亡率:一项前瞻性队列研究

IF 3.9 3区 医学 Q2 ENDOCRINOLOGY & METABOLISM
Qianliang Ying, Fan He, Lunzhe Wu, Qucheng Wei, Jian Xu
{"title":"c反应蛋白-甘油三酯葡萄糖指数预测心血管-肾脏代谢综合征0-3期的死亡率:一项前瞻性队列研究","authors":"Qianliang Ying, Fan He, Lunzhe Wu, Qucheng Wei, Jian Xu","doi":"10.1186/s13098-025-01947-7","DOIUrl":null,"url":null,"abstract":"<p><strong>Background: </strong>Cardiovascular-kidney-metabolic (CKM) syndrome is defined by the interplay of metabolic risk factors, chronic kidney disease, and cardiovascular disease. The C-reactive protein-triglyceride glucose index (CTI) is a composite biomarker that reflects both inflammation and insulin resistance, but whether it is associated with mortality in persons with early-stage CKM syndrome is unknown.</p><p><strong>Methods: </strong>We analyzed data from the National Health and Nutrition Examination Survey from 1999 to 2010. We used multivariable Cox proportional-hazards models to assess the association between the CTI score and the risk of all-cause mortality and cardiovascular disease (CVD) mortality, with vital status ascertained through Linkage to the National Death Index through December 31, 2019.</p><p><strong>Results: </strong>Among 10,718 participants, a total of 1783 deaths (491 from CVD) occurred during a mean follow-up of 14.0 years. In fully adjusted models, a higher CTI score was associated with a greater risk of all-cause mortality (HR per unit increase, 1.56; 95% CI, 1.36 to 1.78) and of CVD mortality (HR per unit increase, 2.03; 95% CI, 1.49 to 2.77). The association with all-cause mortality was stronger among participants under the age of 60 than among those over 60 years old (P < 0.001 for interaction).</p><p><strong>Conclusion: </strong>Our study found that in patients with early-stage CKM syndrome, a higher CTI was independently associated with an increased risk of all-cause mortality and CVD mortality. This association was more significant in younger participants.</p>","PeriodicalId":11106,"journal":{"name":"Diabetology & Metabolic Syndrome","volume":"17 1","pages":"382"},"PeriodicalIF":3.9000,"publicationDate":"2025-10-03","publicationTypes":"Journal Article","fieldsOfStudy":null,"isOpenAccess":false,"openAccessPdf":"https://www.ncbi.nlm.nih.gov/pmc/articles/PMC12495607/pdf/","citationCount":"0","resultStr":"{\"title\":\"C-reactive protein-triglyceride glucose index predicts mortality in cardiovascular-kidney-metabolic syndrome stage 0-3: a prospective cohort study.\",\"authors\":\"Qianliang Ying, Fan He, Lunzhe Wu, Qucheng Wei, Jian Xu\",\"doi\":\"10.1186/s13098-025-01947-7\",\"DOIUrl\":null,\"url\":null,\"abstract\":\"<p><strong>Background: </strong>Cardiovascular-kidney-metabolic (CKM) syndrome is defined by the interplay of metabolic risk factors, chronic kidney disease, and cardiovascular disease. The C-reactive protein-triglyceride glucose index (CTI) is a composite biomarker that reflects both inflammation and insulin resistance, but whether it is associated with mortality in persons with early-stage CKM syndrome is unknown.</p><p><strong>Methods: </strong>We analyzed data from the National Health and Nutrition Examination Survey from 1999 to 2010. We used multivariable Cox proportional-hazards models to assess the association between the CTI score and the risk of all-cause mortality and cardiovascular disease (CVD) mortality, with vital status ascertained through Linkage to the National Death Index through December 31, 2019.</p><p><strong>Results: </strong>Among 10,718 participants, a total of 1783 deaths (491 from CVD) occurred during a mean follow-up of 14.0 years. In fully adjusted models, a higher CTI score was associated with a greater risk of all-cause mortality (HR per unit increase, 1.56; 95% CI, 1.36 to 1.78) and of CVD mortality (HR per unit increase, 2.03; 95% CI, 1.49 to 2.77). The association with all-cause mortality was stronger among participants under the age of 60 than among those over 60 years old (P < 0.001 for interaction).</p><p><strong>Conclusion: </strong>Our study found that in patients with early-stage CKM syndrome, a higher CTI was independently associated with an increased risk of all-cause mortality and CVD mortality. This association was more significant in younger participants.</p>\",\"PeriodicalId\":11106,\"journal\":{\"name\":\"Diabetology & Metabolic Syndrome\",\"volume\":\"17 1\",\"pages\":\"382\"},\"PeriodicalIF\":3.9000,\"publicationDate\":\"2025-10-03\",\"publicationTypes\":\"Journal Article\",\"fieldsOfStudy\":null,\"isOpenAccess\":false,\"openAccessPdf\":\"https://www.ncbi.nlm.nih.gov/pmc/articles/PMC12495607/pdf/\",\"citationCount\":\"0\",\"resultStr\":null,\"platform\":\"Semanticscholar\",\"paperid\":null,\"PeriodicalName\":\"Diabetology & Metabolic Syndrome\",\"FirstCategoryId\":\"3\",\"ListUrlMain\":\"https://doi.org/10.1186/s13098-025-01947-7\",\"RegionNum\":3,\"RegionCategory\":\"医学\",\"ArticlePicture\":[],\"TitleCN\":null,\"AbstractTextCN\":null,\"PMCID\":null,\"EPubDate\":\"\",\"PubModel\":\"\",\"JCR\":\"Q2\",\"JCRName\":\"ENDOCRINOLOGY & METABOLISM\",\"Score\":null,\"Total\":0}","platform":"Semanticscholar","paperid":null,"PeriodicalName":"Diabetology & Metabolic Syndrome","FirstCategoryId":"3","ListUrlMain":"https://doi.org/10.1186/s13098-025-01947-7","RegionNum":3,"RegionCategory":"医学","ArticlePicture":[],"TitleCN":null,"AbstractTextCN":null,"PMCID":null,"EPubDate":"","PubModel":"","JCR":"Q2","JCRName":"ENDOCRINOLOGY & METABOLISM","Score":null,"Total":0}
引用次数: 0

摘要

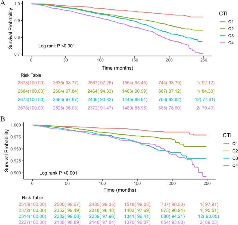
背景:心血管肾代谢综合征(CKM)是代谢危险因素、慢性肾脏疾病和心血管疾病相互作用的结果。c反应蛋白-甘油三酯葡萄糖指数(CTI)是一种反映炎症和胰岛素抵抗的复合生物标志物,但它是否与早期CKM综合征患者的死亡率相关尚不清楚。方法:对1999 ~ 2010年全国健康与营养调查资料进行分析。我们使用多变量Cox比例风险模型来评估CTI评分与全因死亡率和心血管疾病(CVD)死亡率风险之间的关系,并通过链接到2019年12月31日的国家死亡指数来确定至关重要的状态。结果:在10,718名参与者中,在平均14.0年的随访期间,共有1783人死亡(491人死于心血管疾病)。在完全调整后的模型中,较高的CTI评分与更高的全因死亡率(每单位HR增加,1.56;95% CI, 1.36至1.78)和心血管疾病死亡率(每单位HR增加,2.03;95% CI, 1.49至2.77)相关。与60岁以上的参与者相比,60岁以下的参与者与全因死亡率的相关性更强(P结论:我们的研究发现,在早期CKM综合征患者中,较高的CTI与全因死亡率和CVD死亡率的风险增加独立相关。这种关联在年轻的参与者中更为显著。
本文章由计算机程序翻译,如有差异,请以英文原文为准。

C-reactive protein-triglyceride glucose index predicts mortality in cardiovascular-kidney-metabolic syndrome stage 0-3: a prospective cohort study.

C-reactive protein-triglyceride glucose index predicts mortality in cardiovascular-kidney-metabolic syndrome stage 0-3: a prospective cohort study.

C-reactive protein-triglyceride glucose index predicts mortality in cardiovascular-kidney-metabolic syndrome stage 0-3: a prospective cohort study.

C-reactive protein-triglyceride glucose index predicts mortality in cardiovascular-kidney-metabolic syndrome stage 0-3: a prospective cohort study.

Background: Cardiovascular-kidney-metabolic (CKM) syndrome is defined by the interplay of metabolic risk factors, chronic kidney disease, and cardiovascular disease. The C-reactive protein-triglyceride glucose index (CTI) is a composite biomarker that reflects both inflammation and insulin resistance, but whether it is associated with mortality in persons with early-stage CKM syndrome is unknown.

Methods: We analyzed data from the National Health and Nutrition Examination Survey from 1999 to 2010. We used multivariable Cox proportional-hazards models to assess the association between the CTI score and the risk of all-cause mortality and cardiovascular disease (CVD) mortality, with vital status ascertained through Linkage to the National Death Index through December 31, 2019.

Results: Among 10,718 participants, a total of 1783 deaths (491 from CVD) occurred during a mean follow-up of 14.0 years. In fully adjusted models, a higher CTI score was associated with a greater risk of all-cause mortality (HR per unit increase, 1.56; 95% CI, 1.36 to 1.78) and of CVD mortality (HR per unit increase, 2.03; 95% CI, 1.49 to 2.77). The association with all-cause mortality was stronger among participants under the age of 60 than among those over 60 years old (P < 0.001 for interaction).

Conclusion: Our study found that in patients with early-stage CKM syndrome, a higher CTI was independently associated with an increased risk of all-cause mortality and CVD mortality. This association was more significant in younger participants.

求助全文
通过发布文献求助,成功后即可免费获取论文全文。 去求助
来源期刊
Diabetology & Metabolic Syndrome
Diabetology & Metabolic Syndrome ENDOCRINOLOGY & METABOLISM-
CiteScore
6.20
自引率
0.00%
发文量
170
审稿时长
7.5 months
期刊介绍: Diabetology & Metabolic Syndrome publishes articles on all aspects of the pathophysiology of diabetes and metabolic syndrome. By publishing original material exploring any area of laboratory, animal or clinical research into diabetes and metabolic syndrome, the journal offers a high-visibility forum for new insights and discussions into the issues of importance to the relevant community.
×
引用
GB/T 7714-2015
复制
MLA
复制
APA
复制
导出至
BibTeX EndNote RefMan NoteFirst NoteExpress
×
提示
您的信息不完整,为了账户安全,请先补充。
现在去补充
×
提示
您因"违规操作"
具体请查看互助需知
我知道了
×
提示
确定
请完成安全验证×
copy
已复制链接
快去分享给好友吧!
我知道了
右上角分享
点击右上角分享
0
联系我们:info@booksci.cn Book学术提供免费学术资源搜索服务,方便国内外学者检索中英文文献。致力于提供最便捷和优质的服务体验。 Copyright © 2023 布克学术 All rights reserved.
京ICP备2023020795号-1
ghs 京公网安备 11010802042870号
Book学术文献互助
Book学术文献互助群
群 号:604180095
Book学术官方微信