急诊住院糖尿病或高血糖患者短期死亡率的机器学习预测模型的开发和评估

IF 10.6 1区 医学 Q1 CARDIAC & CARDIOVASCULAR SYSTEMS
Per Wändell, Marcelina Wierzbicka, Karolina Sigurdsson, Anna Olofsson, Caroline Wachtler, Torgny Wessman, Olle Melander, Ulf Ekelund, Anders Björkelund, Axel C Carlsson, Toralph Ruge
{"title":"急诊住院糖尿病或高血糖患者短期死亡率的机器学习预测模型的开发和评估","authors":"Per Wändell, Marcelina Wierzbicka, Karolina Sigurdsson, Anna Olofsson, Caroline Wachtler, Torgny Wessman, Olle Melander, Ulf Ekelund, Anders Björkelund, Axel C Carlsson, Toralph Ruge","doi":"10.1186/s12933-025-02954-8","DOIUrl":null,"url":null,"abstract":"<p><strong>Background: </strong>Patients with diabetes admitted to emergency care face a higher risk of complications, including prolonged hospital stays, admissions to the intensive care unit and mortality.</p><p><strong>Aim: </strong>To develop a machine learning (ML) model to predict 30-day mortality in patients with diabetes admitted to the emergency department (ED).</p><p><strong>Design and setting: </strong>A cohort study utilizing data from all nine ED's in Region Skåne 2017 to 2018. Totally 74,611 patient visits, representing 34,280 unique patients aged > 18 years with diabetes or hyperglycemia (glucose were > 11 mmol/L). The analysis focused on four groups, men and women aged 40-69 and ≥ 70 years.</p><p><strong>Methods: </strong>Stochastic gradient boosting was employed to develop a model predicting 30-day mortality. Variable importance was assessed using normalized relative influence (NRI) scores. Variables in certain hospitals were used to train the models, and the models were tested in other hospitals.</p><p><strong>Results: </strong>Key predictors included laboratory values (pH, base excess, pCO<sub>2</sub>, standard bicarbonate, oxygen saturation, lactate, CRP, and leukocytes), as well as age, triage category, and time to doctor consultation. The sensitivity of the models ranged from 86-97%, the specificity from 86-94%, and accuracy between 86% and 94%. The area under the curve (AUC) ranged from 0.84 to 0.93 and Cohen's kappa ranged from 0.34 to 0.45. Positive predictive values accurately identified mortality in 23% to 37% of cases across the four groups.</p><p><strong>Conclusions: </strong>A machine learning model based on routinely collected data in the ED accurately predicted 30-day mortality with high specificity and sensitivity. This approach shows promise in identifying high-risk patients requiring close monitoring and timely interventions.</p>","PeriodicalId":9374,"journal":{"name":"Cardiovascular Diabetology","volume":"24 1","pages":"383"},"PeriodicalIF":10.6000,"publicationDate":"2025-10-03","publicationTypes":"Journal Article","fieldsOfStudy":null,"isOpenAccess":false,"openAccessPdf":"https://www.ncbi.nlm.nih.gov/pmc/articles/PMC12492943/pdf/","citationCount":"0","resultStr":"{\"title\":\"Development and evaluation of a machine learning prediction model for short-term mortality in patients with diabetes or hyperglycemia at emergency department admission.\",\"authors\":\"Per Wändell, Marcelina Wierzbicka, Karolina Sigurdsson, Anna Olofsson, Caroline Wachtler, Torgny Wessman, Olle Melander, Ulf Ekelund, Anders Björkelund, Axel C Carlsson, Toralph Ruge\",\"doi\":\"10.1186/s12933-025-02954-8\",\"DOIUrl\":null,\"url\":null,\"abstract\":\"<p><strong>Background: </strong>Patients with diabetes admitted to emergency care face a higher risk of complications, including prolonged hospital stays, admissions to the intensive care unit and mortality.</p><p><strong>Aim: </strong>To develop a machine learning (ML) model to predict 30-day mortality in patients with diabetes admitted to the emergency department (ED).</p><p><strong>Design and setting: </strong>A cohort study utilizing data from all nine ED's in Region Skåne 2017 to 2018. Totally 74,611 patient visits, representing 34,280 unique patients aged > 18 years with diabetes or hyperglycemia (glucose were > 11 mmol/L). The analysis focused on four groups, men and women aged 40-69 and ≥ 70 years.</p><p><strong>Methods: </strong>Stochastic gradient boosting was employed to develop a model predicting 30-day mortality. Variable importance was assessed using normalized relative influence (NRI) scores. Variables in certain hospitals were used to train the models, and the models were tested in other hospitals.</p><p><strong>Results: </strong>Key predictors included laboratory values (pH, base excess, pCO<sub>2</sub>, standard bicarbonate, oxygen saturation, lactate, CRP, and leukocytes), as well as age, triage category, and time to doctor consultation. The sensitivity of the models ranged from 86-97%, the specificity from 86-94%, and accuracy between 86% and 94%. The area under the curve (AUC) ranged from 0.84 to 0.93 and Cohen's kappa ranged from 0.34 to 0.45. Positive predictive values accurately identified mortality in 23% to 37% of cases across the four groups.</p><p><strong>Conclusions: </strong>A machine learning model based on routinely collected data in the ED accurately predicted 30-day mortality with high specificity and sensitivity. This approach shows promise in identifying high-risk patients requiring close monitoring and timely interventions.</p>\",\"PeriodicalId\":9374,\"journal\":{\"name\":\"Cardiovascular Diabetology\",\"volume\":\"24 1\",\"pages\":\"383\"},\"PeriodicalIF\":10.6000,\"publicationDate\":\"2025-10-03\",\"publicationTypes\":\"Journal Article\",\"fieldsOfStudy\":null,\"isOpenAccess\":false,\"openAccessPdf\":\"https://www.ncbi.nlm.nih.gov/pmc/articles/PMC12492943/pdf/\",\"citationCount\":\"0\",\"resultStr\":null,\"platform\":\"Semanticscholar\",\"paperid\":null,\"PeriodicalName\":\"Cardiovascular Diabetology\",\"FirstCategoryId\":\"3\",\"ListUrlMain\":\"https://doi.org/10.1186/s12933-025-02954-8\",\"RegionNum\":1,\"RegionCategory\":\"医学\",\"ArticlePicture\":[],\"TitleCN\":null,\"AbstractTextCN\":null,\"PMCID\":null,\"EPubDate\":\"\",\"PubModel\":\"\",\"JCR\":\"Q1\",\"JCRName\":\"CARDIAC & CARDIOVASCULAR SYSTEMS\",\"Score\":null,\"Total\":0}","platform":"Semanticscholar","paperid":null,"PeriodicalName":"Cardiovascular Diabetology","FirstCategoryId":"3","ListUrlMain":"https://doi.org/10.1186/s12933-025-02954-8","RegionNum":1,"RegionCategory":"医学","ArticlePicture":[],"TitleCN":null,"AbstractTextCN":null,"PMCID":null,"EPubDate":"","PubModel":"","JCR":"Q1","JCRName":"CARDIAC & CARDIOVASCULAR SYSTEMS","Score":null,"Total":0}
引用次数: 0

摘要

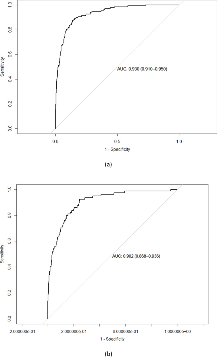
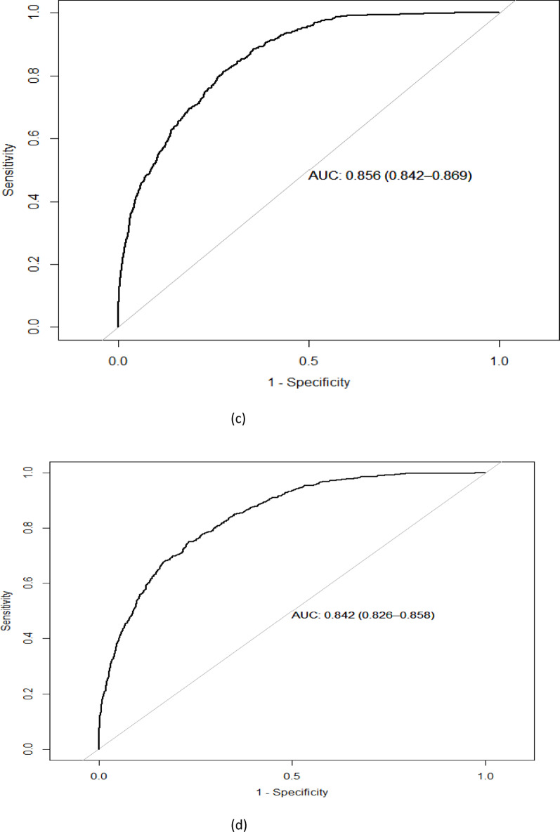
背景:接受急诊治疗的糖尿病患者面临更高的并发症风险,包括延长住院时间、入住重症监护病房和死亡。目的:建立一个机器学习(ML)模型来预测急诊科(ED)住院的糖尿病患者30天死亡率。设计和设置:一项队列研究,利用2017年至2018年sk地区所有9个ED的数据。共有74,611例患者就诊,代表34,280例年龄为>至18岁的糖尿病或高血糖患者(血糖为> 11 mmol/L)。分析集中在四组,40-69岁和≥70岁的男性和女性。方法:采用随机梯度增强法建立30天死亡率预测模型。使用标准化相对影响(NRI)评分评估变量重要性。使用某些医院的变量来训练模型,并在其他医院对模型进行测试。结果:主要预测因素包括实验室值(pH值、碱过量、二氧化碳分压、标准碳酸氢盐、氧饱和度、乳酸、CRP和白细胞)、年龄、分诊类别和就诊时间。模型的敏感性为86-97%,特异性为86-94%,准确率为86% -94%。曲线下面积(AUC)为0.84 ~ 0.93,Cohen’s kappa为0.34 ~ 0.45。阳性预测值准确地确定了四组中23%至37%的病例的死亡率。结论:基于急诊科常规收集数据的机器学习模型准确预测30天死亡率,具有高特异性和敏感性。这种方法有望识别需要密切监测和及时干预的高危患者。
本文章由计算机程序翻译,如有差异,请以英文原文为准。

Development and evaluation of a machine learning prediction model for short-term mortality in patients with diabetes or hyperglycemia at emergency department admission.

Development and evaluation of a machine learning prediction model for short-term mortality in patients with diabetes or hyperglycemia at emergency department admission.

Development and evaluation of a machine learning prediction model for short-term mortality in patients with diabetes or hyperglycemia at emergency department admission.

Development and evaluation of a machine learning prediction model for short-term mortality in patients with diabetes or hyperglycemia at emergency department admission.

Background: Patients with diabetes admitted to emergency care face a higher risk of complications, including prolonged hospital stays, admissions to the intensive care unit and mortality.

Aim: To develop a machine learning (ML) model to predict 30-day mortality in patients with diabetes admitted to the emergency department (ED).

Design and setting: A cohort study utilizing data from all nine ED's in Region Skåne 2017 to 2018. Totally 74,611 patient visits, representing 34,280 unique patients aged > 18 years with diabetes or hyperglycemia (glucose were > 11 mmol/L). The analysis focused on four groups, men and women aged 40-69 and ≥ 70 years.

Methods: Stochastic gradient boosting was employed to develop a model predicting 30-day mortality. Variable importance was assessed using normalized relative influence (NRI) scores. Variables in certain hospitals were used to train the models, and the models were tested in other hospitals.

Results: Key predictors included laboratory values (pH, base excess, pCO2, standard bicarbonate, oxygen saturation, lactate, CRP, and leukocytes), as well as age, triage category, and time to doctor consultation. The sensitivity of the models ranged from 86-97%, the specificity from 86-94%, and accuracy between 86% and 94%. The area under the curve (AUC) ranged from 0.84 to 0.93 and Cohen's kappa ranged from 0.34 to 0.45. Positive predictive values accurately identified mortality in 23% to 37% of cases across the four groups.

Conclusions: A machine learning model based on routinely collected data in the ED accurately predicted 30-day mortality with high specificity and sensitivity. This approach shows promise in identifying high-risk patients requiring close monitoring and timely interventions.

求助全文
通过发布文献求助,成功后即可免费获取论文全文。 去求助
来源期刊
Cardiovascular Diabetology
Cardiovascular Diabetology 医学-内分泌学与代谢
CiteScore
12.30
自引率
15.10%
发文量
240
审稿时长
1 months
期刊介绍: Cardiovascular Diabetology is a journal that welcomes manuscripts exploring various aspects of the relationship between diabetes, cardiovascular health, and the metabolic syndrome. We invite submissions related to clinical studies, genetic investigations, experimental research, pharmacological studies, epidemiological analyses, and molecular biology research in this field.
×
引用
GB/T 7714-2015
复制
MLA
复制
APA
复制
导出至
BibTeX EndNote RefMan NoteFirst NoteExpress
×
提示
您的信息不完整,为了账户安全,请先补充。
现在去补充
×
提示
您因"违规操作"
具体请查看互助需知
我知道了
×
提示
确定
请完成安全验证×
copy
已复制链接
快去分享给好友吧!
我知道了
右上角分享
点击右上角分享
0
联系我们:info@booksci.cn Book学术提供免费学术资源搜索服务,方便国内外学者检索中英文文献。致力于提供最便捷和优质的服务体验。 Copyright © 2023 布克学术 All rights reserved.
京ICP备2023020795号-1
ghs 京公网安备 11010802042870号
Book学术文献互助
Book学术文献互助群
群 号:604180095
Book学术官方微信