脉冲电磁场(PEMF)治疗犬骨关节炎的影响。

IF 2.6 2区 农林科学 Q1 VETERINARY SCIENCES
S Šutalo, L Klasen, A Tichy, O Harms
{"title":"脉冲电磁场(PEMF)治疗犬骨关节炎的影响。","authors":"S Šutalo, L Klasen, A Tichy, O Harms","doi":"10.1186/s12917-025-05036-9","DOIUrl":null,"url":null,"abstract":"<p><strong>Objective: </strong>This randomized, double-blind, placebo-controlled clinical trial investigated the therapeutic efficacy of pulsed electromagnetic field (PEMF) therapy in dogs diagnosed with chronic osteoarthritis (OA).</p><p><strong>Methods: </strong>Twenty-one dogs with radiographically confirmed OA in at least one limb were randomized into treatment (n = 10) and placebo (n = 11) groups. PEMF therapy was administered over six weeks. Gait symmetry indices for peak vertical force and vertical impulse were assessed using kinetic analysis at baseline (Day 0), mid-treatment (Day 21), and post-treatment (Day 42). Lameness and pain scores, additional treatments, and dropout rates were recorded. Owners completed the Liverpool Osteoarthritis in Dogs (LOAD) questionnaire at each time point. An Overall Treatment Effectiveness (OTE) score was computed based on objective and subjective outcomes.</p><p><strong>Results: </strong>PEMF-treated dogs exhibited significant improvements in gait symmetry by Day 42 (p = 0.030). LOAD scores declined steadily in the treatment group, although no statistically significant differences were observed between groups. This trend may suggest a potential reduction in pain and improvement in mobility. No significant between-group differences were found for the OTE score.</p><p><strong>Conclusion: </strong>PEMF therapy appears to be a safe, non-invasive, and potentially effective adjunctive or stand-alone modality for the management of pain and mobility impairment associated with osteoarthritis in dogs. Further research is warranted to confirm long-term efficacy and optimize treatment protocols.</p>","PeriodicalId":9041,"journal":{"name":"BMC Veterinary Research","volume":"21 1","pages":"573"},"PeriodicalIF":2.6000,"publicationDate":"2025-10-03","publicationTypes":"Journal Article","fieldsOfStudy":null,"isOpenAccess":false,"openAccessPdf":"https://www.ncbi.nlm.nih.gov/pmc/articles/PMC12492814/pdf/","citationCount":"0","resultStr":"{\"title\":\"Influence of pulsed electromagnetic field (PEMF) therapy on osteoarthritis in dogs.\",\"authors\":\"S Šutalo, L Klasen, A Tichy, O Harms\",\"doi\":\"10.1186/s12917-025-05036-9\",\"DOIUrl\":null,\"url\":null,\"abstract\":\"<p><strong>Objective: </strong>This randomized, double-blind, placebo-controlled clinical trial investigated the therapeutic efficacy of pulsed electromagnetic field (PEMF) therapy in dogs diagnosed with chronic osteoarthritis (OA).</p><p><strong>Methods: </strong>Twenty-one dogs with radiographically confirmed OA in at least one limb were randomized into treatment (n = 10) and placebo (n = 11) groups. PEMF therapy was administered over six weeks. Gait symmetry indices for peak vertical force and vertical impulse were assessed using kinetic analysis at baseline (Day 0), mid-treatment (Day 21), and post-treatment (Day 42). Lameness and pain scores, additional treatments, and dropout rates were recorded. Owners completed the Liverpool Osteoarthritis in Dogs (LOAD) questionnaire at each time point. An Overall Treatment Effectiveness (OTE) score was computed based on objective and subjective outcomes.</p><p><strong>Results: </strong>PEMF-treated dogs exhibited significant improvements in gait symmetry by Day 42 (p = 0.030). LOAD scores declined steadily in the treatment group, although no statistically significant differences were observed between groups. This trend may suggest a potential reduction in pain and improvement in mobility. No significant between-group differences were found for the OTE score.</p><p><strong>Conclusion: </strong>PEMF therapy appears to be a safe, non-invasive, and potentially effective adjunctive or stand-alone modality for the management of pain and mobility impairment associated with osteoarthritis in dogs. Further research is warranted to confirm long-term efficacy and optimize treatment protocols.</p>\",\"PeriodicalId\":9041,\"journal\":{\"name\":\"BMC Veterinary Research\",\"volume\":\"21 1\",\"pages\":\"573\"},\"PeriodicalIF\":2.6000,\"publicationDate\":\"2025-10-03\",\"publicationTypes\":\"Journal Article\",\"fieldsOfStudy\":null,\"isOpenAccess\":false,\"openAccessPdf\":\"https://www.ncbi.nlm.nih.gov/pmc/articles/PMC12492814/pdf/\",\"citationCount\":\"0\",\"resultStr\":null,\"platform\":\"Semanticscholar\",\"paperid\":null,\"PeriodicalName\":\"BMC Veterinary Research\",\"FirstCategoryId\":\"97\",\"ListUrlMain\":\"https://doi.org/10.1186/s12917-025-05036-9\",\"RegionNum\":2,\"RegionCategory\":\"农林科学\",\"ArticlePicture\":[],\"TitleCN\":null,\"AbstractTextCN\":null,\"PMCID\":null,\"EPubDate\":\"\",\"PubModel\":\"\",\"JCR\":\"Q1\",\"JCRName\":\"VETERINARY SCIENCES\",\"Score\":null,\"Total\":0}","platform":"Semanticscholar","paperid":null,"PeriodicalName":"BMC Veterinary Research","FirstCategoryId":"97","ListUrlMain":"https://doi.org/10.1186/s12917-025-05036-9","RegionNum":2,"RegionCategory":"农林科学","ArticlePicture":[],"TitleCN":null,"AbstractTextCN":null,"PMCID":null,"EPubDate":"","PubModel":"","JCR":"Q1","JCRName":"VETERINARY SCIENCES","Score":null,"Total":0}
引用次数: 0

摘要

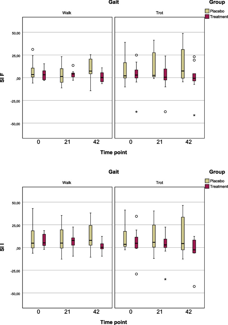
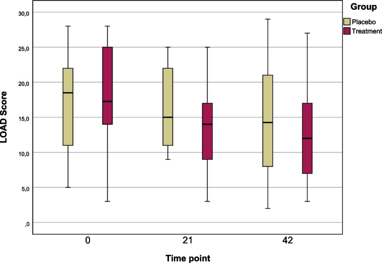
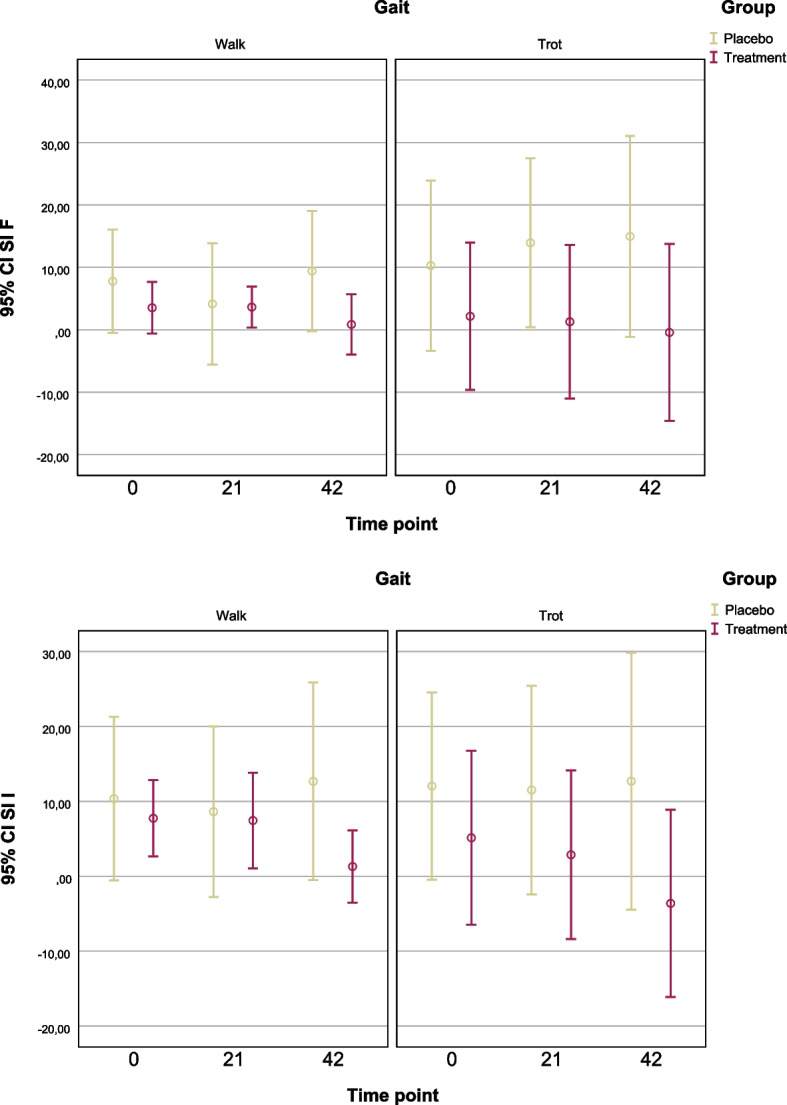
目的:本随机、双盲、安慰剂对照临床试验探讨脉冲电磁场(PEMF)治疗慢性骨关节炎(OA)犬的疗效。方法:21只经影像学证实至少有一侧肢体存在骨关节炎的犬随机分为治疗组(n = 10)和安慰剂组(n = 11)。PEMF治疗持续了6周。在基线(第0天)、治疗中期(第21天)和治疗后(第42天)通过动力学分析评估峰值垂直力和垂直冲量的步态对称性指数。记录跛行和疼痛评分、额外治疗和辍学率。饲主在每个时间点完成利物浦犬骨关节炎(LOAD)问卷调查。根据客观和主观结果计算总体治疗效果(OTE)评分。结果:第42天,pemf治疗犬的步态对称性有显著改善(p = 0.030)。治疗组的LOAD评分稳步下降,但组间无统计学差异。这一趋势可能表明疼痛的潜在减轻和活动能力的改善。OTE评分组间无显著差异。结论:PEMF治疗似乎是一种安全、无创、潜在有效的辅助或独立治疗犬骨关节炎相关疼痛和活动障碍的方法。有必要进一步研究以确认长期疗效并优化治疗方案。
本文章由计算机程序翻译,如有差异,请以英文原文为准。

Influence of pulsed electromagnetic field (PEMF) therapy on osteoarthritis in dogs.

Influence of pulsed electromagnetic field (PEMF) therapy on osteoarthritis in dogs.

Influence of pulsed electromagnetic field (PEMF) therapy on osteoarthritis in dogs.

Influence of pulsed electromagnetic field (PEMF) therapy on osteoarthritis in dogs.

Objective: This randomized, double-blind, placebo-controlled clinical trial investigated the therapeutic efficacy of pulsed electromagnetic field (PEMF) therapy in dogs diagnosed with chronic osteoarthritis (OA).

Methods: Twenty-one dogs with radiographically confirmed OA in at least one limb were randomized into treatment (n = 10) and placebo (n = 11) groups. PEMF therapy was administered over six weeks. Gait symmetry indices for peak vertical force and vertical impulse were assessed using kinetic analysis at baseline (Day 0), mid-treatment (Day 21), and post-treatment (Day 42). Lameness and pain scores, additional treatments, and dropout rates were recorded. Owners completed the Liverpool Osteoarthritis in Dogs (LOAD) questionnaire at each time point. An Overall Treatment Effectiveness (OTE) score was computed based on objective and subjective outcomes.

Results: PEMF-treated dogs exhibited significant improvements in gait symmetry by Day 42 (p = 0.030). LOAD scores declined steadily in the treatment group, although no statistically significant differences were observed between groups. This trend may suggest a potential reduction in pain and improvement in mobility. No significant between-group differences were found for the OTE score.

Conclusion: PEMF therapy appears to be a safe, non-invasive, and potentially effective adjunctive or stand-alone modality for the management of pain and mobility impairment associated with osteoarthritis in dogs. Further research is warranted to confirm long-term efficacy and optimize treatment protocols.

求助全文
通过发布文献求助,成功后即可免费获取论文全文。 去求助
来源期刊
BMC Veterinary Research
BMC Veterinary Research VETERINARY SCIENCES-
CiteScore
4.80
自引率
3.80%
发文量
420
审稿时长
3-6 weeks
期刊介绍: BMC Veterinary Research is an open access, peer-reviewed journal that considers articles on all aspects of veterinary science and medicine, including the epidemiology, diagnosis, prevention and treatment of medical conditions of domestic, companion, farm and wild animals, as well as the biomedical processes that underlie their health.
×
引用
GB/T 7714-2015
复制
MLA
复制
APA
复制
导出至
BibTeX EndNote RefMan NoteFirst NoteExpress
×
提示
您的信息不完整,为了账户安全,请先补充。
现在去补充
×
提示
您因"违规操作"
具体请查看互助需知
我知道了
×
提示
确定
请完成安全验证×
copy
已复制链接
快去分享给好友吧!
我知道了
右上角分享
点击右上角分享
0
联系我们:info@booksci.cn Book学术提供免费学术资源搜索服务,方便国内外学者检索中英文文献。致力于提供最便捷和优质的服务体验。 Copyright © 2023 布克学术 All rights reserved.
京ICP备2023020795号-1
ghs 京公网安备 11010802042870号
Book学术文献互助
Book学术文献互助群
群 号:604180095
Book学术官方微信