LAN微钩辅助角膜切开术联合超声乳化术治疗中晚期原发性闭角型青光眼合并白内障的临床疗效。

IF 1.7 4区 医学 Q3 OPHTHALMOLOGY
Mei Li, Yuanhui Jin, Jian Wu, Jiangjian Hu
{"title":"LAN微钩辅助角膜切开术联合超声乳化术治疗中晚期原发性闭角型青光眼合并白内障的临床疗效。","authors":"Mei Li, Yuanhui Jin, Jian Wu, Jiangjian Hu","doi":"10.1186/s12886-025-04391-3","DOIUrl":null,"url":null,"abstract":"<p><strong>Purpose: </strong>To explore the clinical efficacy of goniotomy assisted by the LAN microhook goniotomy knife (LAN microhook), combined with phacoemulsification, in managing mid-to-late-stage primary angle-closure glaucoma (PACG) with cataract in a prospective observational context.</p><p><strong>Methods: </strong>A total of 33 patients (53 eyes) diagnosed with mid-to-late-stage PACG and cataract were recruited between February 2024 and November 2024. Preoperative and six-month postoperative data were collected, including intraocular pressure (IOP), antiglaucoma medication use, anterior chamber depth (ACD), peripapillary retinal nerve fiber layer (RNFL) thickness, best-corrected visual acuity (BCVA, logMAR), and surgical complications.</p><p><strong>Results: </strong>At baseline, IOP was 18.26 ± 4.52 mmHg and declined to 14.11 ± 2.87 mmHg at Month 6. The mean number of antiglaucoma medications were 1.91 ± 0.81 preoperatively, and all patients discontinued medications by Month 6. ACD increased from 2.36 ± 0.39 mm preoperatively to 3.68 ± 0.75 mm at Month 6.</p><p><strong>Conclusions: </strong>Goniotomy using the LAN microhook combined with phacoemulsification appears to effectively deepen the anterior chamber, lower IOP, improve visual acuity, and eliminate the need for antiglaucoma medication in patients with mid-to-late-stage PACG and cataract.</p>","PeriodicalId":9058,"journal":{"name":"BMC Ophthalmology","volume":"25 1","pages":"541"},"PeriodicalIF":1.7000,"publicationDate":"2025-10-03","publicationTypes":"Journal Article","fieldsOfStudy":null,"isOpenAccess":false,"openAccessPdf":"https://www.ncbi.nlm.nih.gov/pmc/articles/PMC12495804/pdf/","citationCount":"0","resultStr":"{\"title\":\"Clinical outcomes of LAN microhook-assisted goniotomy combined with phacoemulsification in mid-to-late primary angle-closure glaucoma with cataract.\",\"authors\":\"Mei Li, Yuanhui Jin, Jian Wu, Jiangjian Hu\",\"doi\":\"10.1186/s12886-025-04391-3\",\"DOIUrl\":null,\"url\":null,\"abstract\":\"<p><strong>Purpose: </strong>To explore the clinical efficacy of goniotomy assisted by the LAN microhook goniotomy knife (LAN microhook), combined with phacoemulsification, in managing mid-to-late-stage primary angle-closure glaucoma (PACG) with cataract in a prospective observational context.</p><p><strong>Methods: </strong>A total of 33 patients (53 eyes) diagnosed with mid-to-late-stage PACG and cataract were recruited between February 2024 and November 2024. Preoperative and six-month postoperative data were collected, including intraocular pressure (IOP), antiglaucoma medication use, anterior chamber depth (ACD), peripapillary retinal nerve fiber layer (RNFL) thickness, best-corrected visual acuity (BCVA, logMAR), and surgical complications.</p><p><strong>Results: </strong>At baseline, IOP was 18.26 ± 4.52 mmHg and declined to 14.11 ± 2.87 mmHg at Month 6. The mean number of antiglaucoma medications were 1.91 ± 0.81 preoperatively, and all patients discontinued medications by Month 6. ACD increased from 2.36 ± 0.39 mm preoperatively to 3.68 ± 0.75 mm at Month 6.</p><p><strong>Conclusions: </strong>Goniotomy using the LAN microhook combined with phacoemulsification appears to effectively deepen the anterior chamber, lower IOP, improve visual acuity, and eliminate the need for antiglaucoma medication in patients with mid-to-late-stage PACG and cataract.</p>\",\"PeriodicalId\":9058,\"journal\":{\"name\":\"BMC Ophthalmology\",\"volume\":\"25 1\",\"pages\":\"541\"},\"PeriodicalIF\":1.7000,\"publicationDate\":\"2025-10-03\",\"publicationTypes\":\"Journal Article\",\"fieldsOfStudy\":null,\"isOpenAccess\":false,\"openAccessPdf\":\"https://www.ncbi.nlm.nih.gov/pmc/articles/PMC12495804/pdf/\",\"citationCount\":\"0\",\"resultStr\":null,\"platform\":\"Semanticscholar\",\"paperid\":null,\"PeriodicalName\":\"BMC Ophthalmology\",\"FirstCategoryId\":\"3\",\"ListUrlMain\":\"https://doi.org/10.1186/s12886-025-04391-3\",\"RegionNum\":4,\"RegionCategory\":\"医学\",\"ArticlePicture\":[],\"TitleCN\":null,\"AbstractTextCN\":null,\"PMCID\":null,\"EPubDate\":\"\",\"PubModel\":\"\",\"JCR\":\"Q3\",\"JCRName\":\"OPHTHALMOLOGY\",\"Score\":null,\"Total\":0}","platform":"Semanticscholar","paperid":null,"PeriodicalName":"BMC Ophthalmology","FirstCategoryId":"3","ListUrlMain":"https://doi.org/10.1186/s12886-025-04391-3","RegionNum":4,"RegionCategory":"医学","ArticlePicture":[],"TitleCN":null,"AbstractTextCN":null,"PMCID":null,"EPubDate":"","PubModel":"","JCR":"Q3","JCRName":"OPHTHALMOLOGY","Score":null,"Total":0}
引用次数: 0

摘要

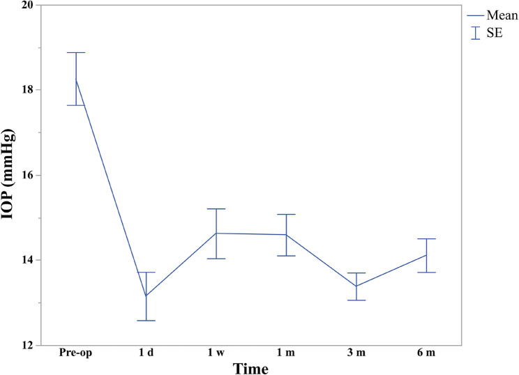
目的:通过前瞻性观察,探讨LAN微钩角膜炎刀(LAN microhook)辅助下的角膜炎切开术联合超声乳化术治疗中晚期原发性闭角型青光眼(PACG)合并白内障的临床疗效。方法:于2024年2月至11月招募中晚期PACG合并白内障患者33例(53眼)。收集术前和术后6个月的数据,包括眼压(IOP)、抗青光眼药物使用情况、前房深度(ACD)、乳突周围视网膜神经纤维层(RNFL)厚度、最佳矫正视力(BCVA, logMAR)和手术并发症。结果:在基线时,IOP为18.26±4.52 mmHg,在第6个月时下降到14.11±2.87 mmHg。术前平均使用抗青光眼药物1.91±0.81种,6个月前停用。ACD由术前的2.36±0.39 mm增加到第6个月时的3.68±0.75 mm。结论:对于中晚期PACG合并白内障患者,采用LAN微钩联合超声乳化术可有效加深前房,降低IOP,提高视力,无需抗青光眼药物治疗。
本文章由计算机程序翻译,如有差异,请以英文原文为准。

Clinical outcomes of LAN microhook-assisted goniotomy combined with phacoemulsification in mid-to-late primary angle-closure glaucoma with cataract.

Clinical outcomes of LAN microhook-assisted goniotomy combined with phacoemulsification in mid-to-late primary angle-closure glaucoma with cataract.

Clinical outcomes of LAN microhook-assisted goniotomy combined with phacoemulsification in mid-to-late primary angle-closure glaucoma with cataract.

Purpose: To explore the clinical efficacy of goniotomy assisted by the LAN microhook goniotomy knife (LAN microhook), combined with phacoemulsification, in managing mid-to-late-stage primary angle-closure glaucoma (PACG) with cataract in a prospective observational context.

Methods: A total of 33 patients (53 eyes) diagnosed with mid-to-late-stage PACG and cataract were recruited between February 2024 and November 2024. Preoperative and six-month postoperative data were collected, including intraocular pressure (IOP), antiglaucoma medication use, anterior chamber depth (ACD), peripapillary retinal nerve fiber layer (RNFL) thickness, best-corrected visual acuity (BCVA, logMAR), and surgical complications.

Results: At baseline, IOP was 18.26 ± 4.52 mmHg and declined to 14.11 ± 2.87 mmHg at Month 6. The mean number of antiglaucoma medications were 1.91 ± 0.81 preoperatively, and all patients discontinued medications by Month 6. ACD increased from 2.36 ± 0.39 mm preoperatively to 3.68 ± 0.75 mm at Month 6.

Conclusions: Goniotomy using the LAN microhook combined with phacoemulsification appears to effectively deepen the anterior chamber, lower IOP, improve visual acuity, and eliminate the need for antiglaucoma medication in patients with mid-to-late-stage PACG and cataract.

求助全文
通过发布文献求助,成功后即可免费获取论文全文。 去求助
来源期刊
BMC Ophthalmology
BMC Ophthalmology OPHTHALMOLOGY-
CiteScore
3.40
自引率
5.00%
发文量
441
审稿时长
6-12 weeks
期刊介绍: BMC Ophthalmology is an open access, peer-reviewed journal that considers articles on all aspects of the prevention, diagnosis and management of eye disorders, as well as related molecular genetics, pathophysiology, and epidemiology.
×
引用
GB/T 7714-2015
复制
MLA
复制
APA
复制
导出至
BibTeX EndNote RefMan NoteFirst NoteExpress
×
提示
您的信息不完整,为了账户安全,请先补充。
现在去补充
×
提示
您因"违规操作"
具体请查看互助需知
我知道了
×
提示
确定
请完成安全验证×
copy
已复制链接
快去分享给好友吧!
我知道了
右上角分享
点击右上角分享
0
联系我们:info@booksci.cn Book学术提供免费学术资源搜索服务,方便国内外学者检索中英文文献。致力于提供最便捷和优质的服务体验。 Copyright © 2023 布克学术 All rights reserved.
京ICP备2023020795号-1
ghs 京公网安备 11010802042870号
Book学术文献互助
Book学术文献互助群
群 号:604180095
Book学术官方微信