生活满意度的一般模型:以parkrun为例。

IF 2.5
PLOS global public health Pub Date : 2025-10-02 eCollection Date: 2025-01-01 DOI:10.1371/journal.pgph.0005065
Steve Haake, Andy Hext, Charlotte Benkowitz
{"title":"生活满意度的一般模型:以parkrun为例。","authors":"Steve Haake, Andy Hext, Charlotte Benkowitz","doi":"10.1371/journal.pgph.0005065","DOIUrl":null,"url":null,"abstract":"<p><p>Parkrun is a free, weekly, timed 5 km run or walk with the aim of creating 'a healthier, happier planet'. The aim of this study is to use a survey of parkrun to create a model of life satisfaction that can be used by other initiatives seeking (1) to evaluate them using the WELLBY approach, and (2) to create logic models for change in life satisfaction. A cross-sectional survey was sent in autumn 2024-967,478 UK parkrunners producing 78,662 responses. A model was hypothesised and tested using non-linear multiple stepwise regression analysis. Health status was found to have a very large non-linear effect on life satisfaction, primarily related to mental health. Life satisfaction was moderated by age, time registered with parkrun, gender, activity level and index of multiple deprivation. Change in activity level following parkrun participation was found to have a small effect, while the number of runs or walks completed per person had a very small effect. Estimated economic benefits of parkrun to the UK economy were estimated to be £668m. This included £75m for the number of runs or walks completed (£1.92 per run or walk per person), £132m for the increase in activity after participation, and £463m for an estimated improvement to health status of 3% (found in a previous study). The benefit-cost ratio was 53:1 if the estimated increase to health status was included and 16:1 if it was ignored. In terms of health promotion, the model suggested that life satisfaction could be increased most by focussing on sub-populations in the following order: those with very poor, poor and fair health status; those in early middle age; the least active; males; and those from deprived neighbourhoods. Finally, a protocol was described to allow initiatives to create their own simple logic models and their own evaluations.</p>","PeriodicalId":74466,"journal":{"name":"PLOS global public health","volume":"5 10","pages":"e0005065"},"PeriodicalIF":2.5000,"publicationDate":"2025-10-02","publicationTypes":"Journal Article","fieldsOfStudy":null,"isOpenAccess":false,"openAccessPdf":"https://www.ncbi.nlm.nih.gov/pmc/articles/PMC12490765/pdf/","citationCount":"0","resultStr":"{\"title\":\"A generic model of life satisfaction: The case study of parkrun.\",\"authors\":\"Steve Haake, Andy Hext, Charlotte Benkowitz\",\"doi\":\"10.1371/journal.pgph.0005065\",\"DOIUrl\":null,\"url\":null,\"abstract\":\"<p><p>Parkrun is a free, weekly, timed 5 km run or walk with the aim of creating 'a healthier, happier planet'. The aim of this study is to use a survey of parkrun to create a model of life satisfaction that can be used by other initiatives seeking (1) to evaluate them using the WELLBY approach, and (2) to create logic models for change in life satisfaction. A cross-sectional survey was sent in autumn 2024-967,478 UK parkrunners producing 78,662 responses. A model was hypothesised and tested using non-linear multiple stepwise regression analysis. Health status was found to have a very large non-linear effect on life satisfaction, primarily related to mental health. Life satisfaction was moderated by age, time registered with parkrun, gender, activity level and index of multiple deprivation. Change in activity level following parkrun participation was found to have a small effect, while the number of runs or walks completed per person had a very small effect. Estimated economic benefits of parkrun to the UK economy were estimated to be £668m. This included £75m for the number of runs or walks completed (£1.92 per run or walk per person), £132m for the increase in activity after participation, and £463m for an estimated improvement to health status of 3% (found in a previous study). The benefit-cost ratio was 53:1 if the estimated increase to health status was included and 16:1 if it was ignored. In terms of health promotion, the model suggested that life satisfaction could be increased most by focussing on sub-populations in the following order: those with very poor, poor and fair health status; those in early middle age; the least active; males; and those from deprived neighbourhoods. Finally, a protocol was described to allow initiatives to create their own simple logic models and their own evaluations.</p>\",\"PeriodicalId\":74466,\"journal\":{\"name\":\"PLOS global public health\",\"volume\":\"5 10\",\"pages\":\"e0005065\"},\"PeriodicalIF\":2.5000,\"publicationDate\":\"2025-10-02\",\"publicationTypes\":\"Journal Article\",\"fieldsOfStudy\":null,\"isOpenAccess\":false,\"openAccessPdf\":\"https://www.ncbi.nlm.nih.gov/pmc/articles/PMC12490765/pdf/\",\"citationCount\":\"0\",\"resultStr\":null,\"platform\":\"Semanticscholar\",\"paperid\":null,\"PeriodicalName\":\"PLOS global public health\",\"FirstCategoryId\":\"1085\",\"ListUrlMain\":\"https://doi.org/10.1371/journal.pgph.0005065\",\"RegionNum\":0,\"RegionCategory\":null,\"ArticlePicture\":[],\"TitleCN\":null,\"AbstractTextCN\":null,\"PMCID\":null,\"EPubDate\":\"2025/1/1 0:00:00\",\"PubModel\":\"eCollection\",\"JCR\":\"\",\"JCRName\":\"\",\"Score\":null,\"Total\":0}","platform":"Semanticscholar","paperid":null,"PeriodicalName":"PLOS global public health","FirstCategoryId":"1085","ListUrlMain":"https://doi.org/10.1371/journal.pgph.0005065","RegionNum":0,"RegionCategory":null,"ArticlePicture":[],"TitleCN":null,"AbstractTextCN":null,"PMCID":null,"EPubDate":"2025/1/1 0:00:00","PubModel":"eCollection","JCR":"","JCRName":"","Score":null,"Total":0}
引用次数: 0

摘要

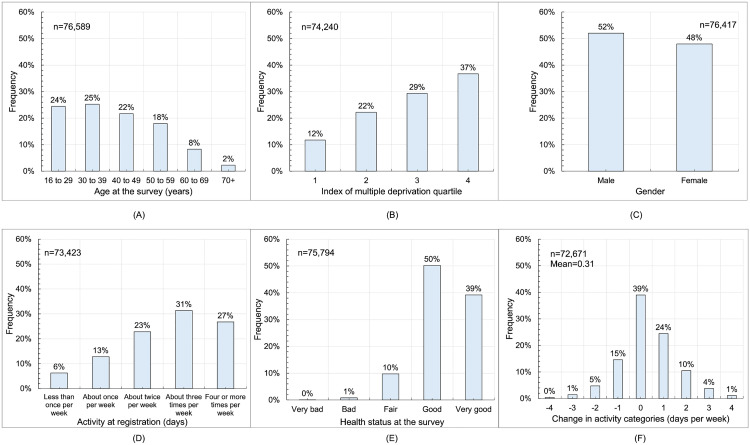
Parkrun是一项免费的、每周一次的定时5公里跑步或步行活动,旨在创造一个“更健康、更快乐的地球”。本研究的目的是通过对parkrun的调查来创建一个生活满意度模型,该模型可用于其他寻求(1)使用WELLBY方法评估它们,以及(2)创建生活满意度变化的逻辑模型。一项横断面调查于2024年秋季进行,共有967,478名英国公园跑步者收到了78,662份回复。采用非线性多元逐步回归分析对模型进行假设和检验。研究发现,健康状况对生活满意度有很大的非线性影响,主要与心理健康有关。生活满意度受年龄、parkrun登记时间、性别、活动水平和多重剥夺指数的影响。研究发现,参加公园跑步后活动水平的变化影响很小,而每人完成跑步或散步的次数影响很小。据估计,parkrun给英国经济带来的经济效益为6.68亿英镑。其中包括7500万英镑用于完成跑步或步行的次数(每人每次跑步或步行1.92英镑),1.32亿英镑用于参与后活动的增加,4.63亿英镑用于估计健康状况改善3%(之前的一项研究发现)。如果包括健康状况的估计增加,收益成本比为53:1,如果忽略它,收益成本比为16:1。在促进健康方面,该模型表明,按照以下顺序,关注亚人群可以最有效地提高生活满意度:健康状况非常差、较差和一般的人群;中年早期的;最不活跃的;男性;还有那些来自贫困社区的人。最后,描述了一个协议,允许计划创建它们自己的简单逻辑模型和它们自己的评估。
本文章由计算机程序翻译,如有差异,请以英文原文为准。

A generic model of life satisfaction: The case study of parkrun.

A generic model of life satisfaction: The case study of parkrun.

A generic model of life satisfaction: The case study of parkrun.

A generic model of life satisfaction: The case study of parkrun.

Parkrun is a free, weekly, timed 5 km run or walk with the aim of creating 'a healthier, happier planet'. The aim of this study is to use a survey of parkrun to create a model of life satisfaction that can be used by other initiatives seeking (1) to evaluate them using the WELLBY approach, and (2) to create logic models for change in life satisfaction. A cross-sectional survey was sent in autumn 2024-967,478 UK parkrunners producing 78,662 responses. A model was hypothesised and tested using non-linear multiple stepwise regression analysis. Health status was found to have a very large non-linear effect on life satisfaction, primarily related to mental health. Life satisfaction was moderated by age, time registered with parkrun, gender, activity level and index of multiple deprivation. Change in activity level following parkrun participation was found to have a small effect, while the number of runs or walks completed per person had a very small effect. Estimated economic benefits of parkrun to the UK economy were estimated to be £668m. This included £75m for the number of runs or walks completed (£1.92 per run or walk per person), £132m for the increase in activity after participation, and £463m for an estimated improvement to health status of 3% (found in a previous study). The benefit-cost ratio was 53:1 if the estimated increase to health status was included and 16:1 if it was ignored. In terms of health promotion, the model suggested that life satisfaction could be increased most by focussing on sub-populations in the following order: those with very poor, poor and fair health status; those in early middle age; the least active; males; and those from deprived neighbourhoods. Finally, a protocol was described to allow initiatives to create their own simple logic models and their own evaluations.

求助全文
通过发布文献求助,成功后即可免费获取论文全文。 去求助
来源期刊
自引率
0.00%
发文量
0
×
引用
GB/T 7714-2015
复制
MLA
复制
APA
复制
导出至
BibTeX EndNote RefMan NoteFirst NoteExpress
×
提示
您的信息不完整,为了账户安全,请先补充。
现在去补充
×
提示
您因"违规操作"
具体请查看互助需知
我知道了
×
提示
确定
请完成安全验证×
copy
已复制链接
快去分享给好友吧!
我知道了
右上角分享
点击右上角分享
0
联系我们:info@booksci.cn Book学术提供免费学术资源搜索服务,方便国内外学者检索中英文文献。致力于提供最便捷和优质的服务体验。 Copyright © 2023 布克学术 All rights reserved.
京ICP备2023020795号-1
ghs 京公网安备 11010802042870号
Book学术文献互助
Book学术文献互助群
群 号:604180095
Book学术官方微信