儿童口腔健康结果量表:Cronbach's Alpha的信度概化meta分析。

Q3 Dentistry
Kalyana C Pentapati, Deepika Chenna, K S Vijay, Nanditha Kumar, Saurabh Kumar
{"title":"儿童口腔健康结果量表:Cronbach's Alpha的信度概化meta分析。","authors":"Kalyana C Pentapati, Deepika Chenna, K S Vijay, Nanditha Kumar, Saurabh Kumar","doi":"10.5005/jp-journals-10005-3156","DOIUrl":null,"url":null,"abstract":"<p><strong>Objective: </strong>This review aimed to meta-analyze the Cronbach's α of the Scale of Oral Health Outcomes-5 (SOHO-5) questionnaire.</p><p><strong>Materials and methods: </strong>A systematic search of literature was conducted in PubMed, Scopus, EMBASE, Web of Science, Dentistry and Oral Sciences Source (EBSCO), and CINAHL using the keywords \"Scale of Oral Health Outcomes\" OR \"SOHO\" AND \"Child OR Children.\" Studies reported in English with Cronbach's α for the SOHO questionnaire were included. Screening was done by two trained experts independently. Information on descriptive metadata of the studies, country, sample size, age, sex distribution, target population, language of administration, conditions studied, study setting, study design, patient selection, and Cronbach's α of child and parent versions was collected. The \"COSMIN\" checklist for internal consistency reliability was used for quality assessment. Heterogeneity was assessed using <i>I</i> <sup>2</sup> and <i>Q</i> statistics. The random effects model was used to pool the estimates of untransformed Cronbach's α.</p><p><strong>Results: </strong>A total of 350 studies were available for the title and abstract screening, and only 34 studies were eligible for full-text screening, of which 12 studies were included for analysis. The overall estimates were 0.83 (95% CI = 0.79-0.86) and 0.85 (95% CI: 0.81-0.90; <i>n</i> = 9; <i>I</i> <sup>2</sup> = 96.83%; <i>Q</i> = 95.33) for child- and parent-reported SOHO questionnaires. Meta-regression showed no significant effect of sex on the overall estimates for both child- and parent-reported questionnaires.</p><p><strong>Conclusion: </strong>The SOHO questionnaire has good internal consistency and reliability and can be used in research and practice.</p><p><strong>How to cite this article: </strong>Pentapati KC, Chenna D, Vijay KS, <i>et al.</i> Scale of Oral Health Outcomes for Children: A Reliability Generalization Meta-analysis of Cronbach's Alpha. Int J Clin Pediatr Dent 2025;18(6):753-758.</p>","PeriodicalId":36045,"journal":{"name":"International Journal of Clinical Pediatric Dentistry","volume":"18 6","pages":"753-758"},"PeriodicalIF":0.0000,"publicationDate":"2025-06-01","publicationTypes":"Journal Article","fieldsOfStudy":null,"isOpenAccess":false,"openAccessPdf":"https://www.ncbi.nlm.nih.gov/pmc/articles/PMC12486633/pdf/","citationCount":"0","resultStr":"{\"title\":\"Scale of Oral Health Outcomes for Children: A Reliability Generalization Meta-analysis of Cronbach's Alpha.\",\"authors\":\"Kalyana C Pentapati, Deepika Chenna, K S Vijay, Nanditha Kumar, Saurabh Kumar\",\"doi\":\"10.5005/jp-journals-10005-3156\",\"DOIUrl\":null,\"url\":null,\"abstract\":\"<p><strong>Objective: </strong>This review aimed to meta-analyze the Cronbach's α of the Scale of Oral Health Outcomes-5 (SOHO-5) questionnaire.</p><p><strong>Materials and methods: </strong>A systematic search of literature was conducted in PubMed, Scopus, EMBASE, Web of Science, Dentistry and Oral Sciences Source (EBSCO), and CINAHL using the keywords \\\"Scale of Oral Health Outcomes\\\" OR \\\"SOHO\\\" AND \\\"Child OR Children.\\\" Studies reported in English with Cronbach's α for the SOHO questionnaire were included. Screening was done by two trained experts independently. Information on descriptive metadata of the studies, country, sample size, age, sex distribution, target population, language of administration, conditions studied, study setting, study design, patient selection, and Cronbach's α of child and parent versions was collected. The \\\"COSMIN\\\" checklist for internal consistency reliability was used for quality assessment. Heterogeneity was assessed using <i>I</i> <sup>2</sup> and <i>Q</i> statistics. The random effects model was used to pool the estimates of untransformed Cronbach's α.</p><p><strong>Results: </strong>A total of 350 studies were available for the title and abstract screening, and only 34 studies were eligible for full-text screening, of which 12 studies were included for analysis. The overall estimates were 0.83 (95% CI = 0.79-0.86) and 0.85 (95% CI: 0.81-0.90; <i>n</i> = 9; <i>I</i> <sup>2</sup> = 96.83%; <i>Q</i> = 95.33) for child- and parent-reported SOHO questionnaires. Meta-regression showed no significant effect of sex on the overall estimates for both child- and parent-reported questionnaires.</p><p><strong>Conclusion: </strong>The SOHO questionnaire has good internal consistency and reliability and can be used in research and practice.</p><p><strong>How to cite this article: </strong>Pentapati KC, Chenna D, Vijay KS, <i>et al.</i> Scale of Oral Health Outcomes for Children: A Reliability Generalization Meta-analysis of Cronbach's Alpha. Int J Clin Pediatr Dent 2025;18(6):753-758.</p>\",\"PeriodicalId\":36045,\"journal\":{\"name\":\"International Journal of Clinical Pediatric Dentistry\",\"volume\":\"18 6\",\"pages\":\"753-758\"},\"PeriodicalIF\":0.0000,\"publicationDate\":\"2025-06-01\",\"publicationTypes\":\"Journal Article\",\"fieldsOfStudy\":null,\"isOpenAccess\":false,\"openAccessPdf\":\"https://www.ncbi.nlm.nih.gov/pmc/articles/PMC12486633/pdf/\",\"citationCount\":\"0\",\"resultStr\":null,\"platform\":\"Semanticscholar\",\"paperid\":null,\"PeriodicalName\":\"International Journal of Clinical Pediatric Dentistry\",\"FirstCategoryId\":\"1085\",\"ListUrlMain\":\"https://doi.org/10.5005/jp-journals-10005-3156\",\"RegionNum\":0,\"RegionCategory\":null,\"ArticlePicture\":[],\"TitleCN\":null,\"AbstractTextCN\":null,\"PMCID\":null,\"EPubDate\":\"2025/8/6 0:00:00\",\"PubModel\":\"Epub\",\"JCR\":\"Q3\",\"JCRName\":\"Dentistry\",\"Score\":null,\"Total\":0}","platform":"Semanticscholar","paperid":null,"PeriodicalName":"International Journal of Clinical Pediatric Dentistry","FirstCategoryId":"1085","ListUrlMain":"https://doi.org/10.5005/jp-journals-10005-3156","RegionNum":0,"RegionCategory":null,"ArticlePicture":[],"TitleCN":null,"AbstractTextCN":null,"PMCID":null,"EPubDate":"2025/8/6 0:00:00","PubModel":"Epub","JCR":"Q3","JCRName":"Dentistry","Score":null,"Total":0}
引用次数: 0

摘要

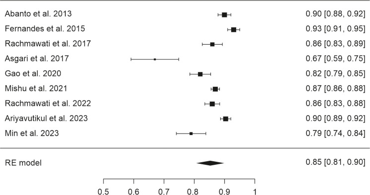
目的:对口腔健康结局量表-5 (SOHO-5)问卷的Cronbach's α进行meta分析。材料和方法:系统检索PubMed、Scopus、EMBASE、Web of Science、Dentistry and Oral Sciences Source (EBSCO)和CINAHL的文献,检索关键词为“Scale of Oral Health Outcomes”或“SOHO”和“Child OR Children”。以Cronbach's α作为SOHO问卷的英文报告纳入研究。筛查由两名训练有素的专家独立完成。收集研究的描述性元数据、国家、样本量、年龄、性别分布、目标人群、给药语言、研究条件、研究环境、研究设计、患者选择和儿童和父母版本的Cronbach’s α等信息。采用“COSMIN”内部一致性信度检查表进行质量评价。异质性评估采用I 2和Q统计。随机效应模型用于汇总未变换的Cronbach’s α的估计。结果:共有350项研究可用于标题和摘要筛选,只有34项研究可用于全文筛选,其中12项研究被纳入分析。儿童和家长报告的SOHO问卷的总体估计值分别为0.83 (95% CI = 0.79-0.86)和0.85 (95% CI: 0.81-0.90; n = 9; I 2 = 96.83%; Q = 95.33)。元回归显示性别对儿童和父母报告问卷的总体估计没有显著影响。结论:SOHO问卷具有良好的内部一致性和信度,可用于研究和实践。如何引用本文:Pentapati KC, Chenna D, Vijay KS等。儿童口腔健康结果量表:Cronbach's Alpha的信度概化meta分析。中华临床儿科杂志,2015;18(6):753-758。
本文章由计算机程序翻译,如有差异,请以英文原文为准。

Scale of Oral Health Outcomes for Children: A Reliability Generalization Meta-analysis of Cronbach's Alpha.

Scale of Oral Health Outcomes for Children: A Reliability Generalization Meta-analysis of Cronbach's Alpha.

Scale of Oral Health Outcomes for Children: A Reliability Generalization Meta-analysis of Cronbach's Alpha.

Scale of Oral Health Outcomes for Children: A Reliability Generalization Meta-analysis of Cronbach's Alpha.

Objective: This review aimed to meta-analyze the Cronbach's α of the Scale of Oral Health Outcomes-5 (SOHO-5) questionnaire.

Materials and methods: A systematic search of literature was conducted in PubMed, Scopus, EMBASE, Web of Science, Dentistry and Oral Sciences Source (EBSCO), and CINAHL using the keywords "Scale of Oral Health Outcomes" OR "SOHO" AND "Child OR Children." Studies reported in English with Cronbach's α for the SOHO questionnaire were included. Screening was done by two trained experts independently. Information on descriptive metadata of the studies, country, sample size, age, sex distribution, target population, language of administration, conditions studied, study setting, study design, patient selection, and Cronbach's α of child and parent versions was collected. The "COSMIN" checklist for internal consistency reliability was used for quality assessment. Heterogeneity was assessed using I 2 and Q statistics. The random effects model was used to pool the estimates of untransformed Cronbach's α.

Results: A total of 350 studies were available for the title and abstract screening, and only 34 studies were eligible for full-text screening, of which 12 studies were included for analysis. The overall estimates were 0.83 (95% CI = 0.79-0.86) and 0.85 (95% CI: 0.81-0.90; n = 9; I 2 = 96.83%; Q = 95.33) for child- and parent-reported SOHO questionnaires. Meta-regression showed no significant effect of sex on the overall estimates for both child- and parent-reported questionnaires.

Conclusion: The SOHO questionnaire has good internal consistency and reliability and can be used in research and practice.

How to cite this article: Pentapati KC, Chenna D, Vijay KS, et al. Scale of Oral Health Outcomes for Children: A Reliability Generalization Meta-analysis of Cronbach's Alpha. Int J Clin Pediatr Dent 2025;18(6):753-758.

求助全文
通过发布文献求助,成功后即可免费获取论文全文。 去求助
来源期刊
CiteScore
1.20
自引率
0.00%
发文量
135
×
引用
GB/T 7714-2015
复制
MLA
复制
APA
复制
导出至
BibTeX EndNote RefMan NoteFirst NoteExpress
×
提示
您的信息不完整,为了账户安全,请先补充。
现在去补充
×
提示
您因"违规操作"
具体请查看互助需知
我知道了
×
提示
确定
请完成安全验证×
copy
已复制链接
快去分享给好友吧!
我知道了
右上角分享
点击右上角分享
0
联系我们:info@booksci.cn Book学术提供免费学术资源搜索服务,方便国内外学者检索中英文文献。致力于提供最便捷和优质的服务体验。 Copyright © 2023 布克学术 All rights reserved.
京ICP备2023020795号-1
ghs 京公网安备 11010802042870号
Book学术文献互助
Book学术文献互助群
群 号:604180095
Book学术官方微信