嗜麦芽窄养单胞菌血液感染的死亡率预测图。

IF 2.9 3区 医学 Q2 INFECTIOUS DISEASES
Infection and Drug Resistance Pub Date : 2025-09-26 eCollection Date: 2025-01-01 DOI:10.2147/IDR.S536417
Siting Yi, Mengmin Ye, Pingjuan Liu, Kainan Chen, Ying Yuan, Liubing Li
{"title":"嗜麦芽窄养单胞菌血液感染的死亡率预测图。","authors":"Siting Yi, Mengmin Ye, Pingjuan Liu, Kainan Chen, Ying Yuan, Liubing Li","doi":"10.2147/IDR.S536417","DOIUrl":null,"url":null,"abstract":"<p><strong>Background: </strong>The World Health Organization classifies <i>Stenotrophomonas maltophilia</i> (<i>S. maltophilia</i>) as one of the most overlooked and difficult-to-treat multidrug-resistant pathogens. It mainly causes pneumonia and bloodstream infections (BSIs). Therefore, the aim of this study was to investigate the risk factors for mortality in patients with <i>S. maltophilia</i> BSIs and to construct a predictive nomogram model.</p><p><strong>Methods: </strong>Clinical data were collected from patients with <i>S. maltophilia</i> BSIs who were admitted to the First Affiliated Hospital of Sun Yat-sen University from January 2013 to December 2023. Prognostic risk factors were identified using Cox regression and LASSO analysis. A nomogram was developed based on a multivariate analysis and validated using bootstrap resampling, receiver operating characteristic curve analysis, and calibration plots.</p><p><strong>Results: </strong>The mortality rate was 20.0% among 85 patients with <i>S. maltophilia</i> BSIs. Multivariable analysis identified septic shock (hazard ratio [HR] = 7.859, 95% confidence interval (CI): 1.569-79.607; <i>P</i> = 0.009) and respiratory diseases (HR = 7.602, 95% CI: 2.269-39.202; <i>P</i> < 0.001) as independent risk factors for mortality. A predictive nomogram model incorporating these factors demonstrated excellent discrimination, with a C-index of 0.872 and high area under the curve values for 14-day (0.922) and 28-day (0.882) mortality. Calibration analysis showed precise agreement between predicted and observed outcomes.</p><p><strong>Conclusion: </strong>Septic shock and respiratory diseases were independent risk factors for mortality in patients with <i>S. maltophilia</i> BSIs. The nomogram model developed in this study showed good predictive value for the survival rates of patients with <i>S. maltophilia</i> BSIs, thus facilitating clinical prevention and treatment.</p>","PeriodicalId":13577,"journal":{"name":"Infection and Drug Resistance","volume":"18 ","pages":"5129-5137"},"PeriodicalIF":2.9000,"publicationDate":"2025-09-26","publicationTypes":"Journal Article","fieldsOfStudy":null,"isOpenAccess":false,"openAccessPdf":"https://www.ncbi.nlm.nih.gov/pmc/articles/PMC12484109/pdf/","citationCount":"0","resultStr":"{\"title\":\"A Mortality Prediction Nomogram for <i>Stenotrophomonas maltophilia</i> Bloodstream Infection.\",\"authors\":\"Siting Yi, Mengmin Ye, Pingjuan Liu, Kainan Chen, Ying Yuan, Liubing Li\",\"doi\":\"10.2147/IDR.S536417\",\"DOIUrl\":null,\"url\":null,\"abstract\":\"<p><strong>Background: </strong>The World Health Organization classifies <i>Stenotrophomonas maltophilia</i> (<i>S. maltophilia</i>) as one of the most overlooked and difficult-to-treat multidrug-resistant pathogens. It mainly causes pneumonia and bloodstream infections (BSIs). Therefore, the aim of this study was to investigate the risk factors for mortality in patients with <i>S. maltophilia</i> BSIs and to construct a predictive nomogram model.</p><p><strong>Methods: </strong>Clinical data were collected from patients with <i>S. maltophilia</i> BSIs who were admitted to the First Affiliated Hospital of Sun Yat-sen University from January 2013 to December 2023. Prognostic risk factors were identified using Cox regression and LASSO analysis. A nomogram was developed based on a multivariate analysis and validated using bootstrap resampling, receiver operating characteristic curve analysis, and calibration plots.</p><p><strong>Results: </strong>The mortality rate was 20.0% among 85 patients with <i>S. maltophilia</i> BSIs. Multivariable analysis identified septic shock (hazard ratio [HR] = 7.859, 95% confidence interval (CI): 1.569-79.607; <i>P</i> = 0.009) and respiratory diseases (HR = 7.602, 95% CI: 2.269-39.202; <i>P</i> < 0.001) as independent risk factors for mortality. A predictive nomogram model incorporating these factors demonstrated excellent discrimination, with a C-index of 0.872 and high area under the curve values for 14-day (0.922) and 28-day (0.882) mortality. Calibration analysis showed precise agreement between predicted and observed outcomes.</p><p><strong>Conclusion: </strong>Septic shock and respiratory diseases were independent risk factors for mortality in patients with <i>S. maltophilia</i> BSIs. The nomogram model developed in this study showed good predictive value for the survival rates of patients with <i>S. maltophilia</i> BSIs, thus facilitating clinical prevention and treatment.</p>\",\"PeriodicalId\":13577,\"journal\":{\"name\":\"Infection and Drug Resistance\",\"volume\":\"18 \",\"pages\":\"5129-5137\"},\"PeriodicalIF\":2.9000,\"publicationDate\":\"2025-09-26\",\"publicationTypes\":\"Journal Article\",\"fieldsOfStudy\":null,\"isOpenAccess\":false,\"openAccessPdf\":\"https://www.ncbi.nlm.nih.gov/pmc/articles/PMC12484109/pdf/\",\"citationCount\":\"0\",\"resultStr\":null,\"platform\":\"Semanticscholar\",\"paperid\":null,\"PeriodicalName\":\"Infection and Drug Resistance\",\"FirstCategoryId\":\"3\",\"ListUrlMain\":\"https://doi.org/10.2147/IDR.S536417\",\"RegionNum\":3,\"RegionCategory\":\"医学\",\"ArticlePicture\":[],\"TitleCN\":null,\"AbstractTextCN\":null,\"PMCID\":null,\"EPubDate\":\"2025/1/1 0:00:00\",\"PubModel\":\"eCollection\",\"JCR\":\"Q2\",\"JCRName\":\"INFECTIOUS DISEASES\",\"Score\":null,\"Total\":0}","platform":"Semanticscholar","paperid":null,"PeriodicalName":"Infection and Drug Resistance","FirstCategoryId":"3","ListUrlMain":"https://doi.org/10.2147/IDR.S536417","RegionNum":3,"RegionCategory":"医学","ArticlePicture":[],"TitleCN":null,"AbstractTextCN":null,"PMCID":null,"EPubDate":"2025/1/1 0:00:00","PubModel":"eCollection","JCR":"Q2","JCRName":"INFECTIOUS DISEASES","Score":null,"Total":0}
引用次数: 0

摘要

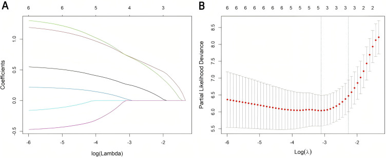
背景:世界卫生组织将嗜麦芽寡养单胞菌(S. maltopophilia)列为最容易被忽视和最难治疗的多重耐药病原体之一。它主要引起肺炎和血液感染(bsi)。因此,本研究的目的是探讨嗜麦芽链球菌性脑损伤患者死亡的危险因素,并构建预测nomogram模型。方法:收集2013年1月至2023年12月中山大学第一附属医院收治的嗜麦芽链球菌性脑损伤患者的临床资料。采用Cox回归和LASSO分析确定预后危险因素。在多变量分析的基础上建立了nomogram,并通过bootstrap重采样、接收者工作特征曲线分析和校准图进行了验证。结果:85例嗜麦芽葡萄球菌bsi患者死亡率为20.0%。多变量分析确定感染性休克(危险比[HR] = 7.859, 95%可信区间(CI): 1.569-79.607;P = 0.009)和呼吸系统疾病(HR = 7.602, 95% CI: 2.269-39.202; P < 0.001)是死亡的独立危险因素。结合这些因素建立的预测模态图模型具有很好的判别性,其c指数为0.872,14天死亡率(0.922)和28天死亡率(0.882)曲线下面积值较高。校准分析显示预测结果和观察结果之间的精确一致。结论:感染性休克和呼吸系统疾病是嗜麦芽链球菌性脑损伤患者死亡的独立危险因素。本研究建立的nomogram模型对嗜麦芽链球菌性脑损伤患者的生存率具有较好的预测价值,为临床预防和治疗提供了依据。
本文章由计算机程序翻译,如有差异,请以英文原文为准。

A Mortality Prediction Nomogram for <i>Stenotrophomonas maltophilia</i> Bloodstream Infection.

A Mortality Prediction Nomogram for <i>Stenotrophomonas maltophilia</i> Bloodstream Infection.

A Mortality Prediction Nomogram for <i>Stenotrophomonas maltophilia</i> Bloodstream Infection.

A Mortality Prediction Nomogram for Stenotrophomonas maltophilia Bloodstream Infection.

Background: The World Health Organization classifies Stenotrophomonas maltophilia (S. maltophilia) as one of the most overlooked and difficult-to-treat multidrug-resistant pathogens. It mainly causes pneumonia and bloodstream infections (BSIs). Therefore, the aim of this study was to investigate the risk factors for mortality in patients with S. maltophilia BSIs and to construct a predictive nomogram model.

Methods: Clinical data were collected from patients with S. maltophilia BSIs who were admitted to the First Affiliated Hospital of Sun Yat-sen University from January 2013 to December 2023. Prognostic risk factors were identified using Cox regression and LASSO analysis. A nomogram was developed based on a multivariate analysis and validated using bootstrap resampling, receiver operating characteristic curve analysis, and calibration plots.

Results: The mortality rate was 20.0% among 85 patients with S. maltophilia BSIs. Multivariable analysis identified septic shock (hazard ratio [HR] = 7.859, 95% confidence interval (CI): 1.569-79.607; P = 0.009) and respiratory diseases (HR = 7.602, 95% CI: 2.269-39.202; P < 0.001) as independent risk factors for mortality. A predictive nomogram model incorporating these factors demonstrated excellent discrimination, with a C-index of 0.872 and high area under the curve values for 14-day (0.922) and 28-day (0.882) mortality. Calibration analysis showed precise agreement between predicted and observed outcomes.

Conclusion: Septic shock and respiratory diseases were independent risk factors for mortality in patients with S. maltophilia BSIs. The nomogram model developed in this study showed good predictive value for the survival rates of patients with S. maltophilia BSIs, thus facilitating clinical prevention and treatment.

求助全文
通过发布文献求助,成功后即可免费获取论文全文。 去求助
来源期刊
Infection and Drug Resistance
Infection and Drug Resistance Medicine-Pharmacology (medical)
CiteScore
5.60
自引率
7.70%
发文量
826
审稿时长
16 weeks
期刊介绍: About Journal Editors Peer Reviewers Articles Article Publishing Charges Aims and Scope Call For Papers ISSN: 1178-6973 Editor-in-Chief: Professor Suresh Antony An international, peer-reviewed, open access journal that focuses on the optimal treatment of infection (bacterial, fungal and viral) and the development and institution of preventative strategies to minimize the development and spread of resistance.
×
引用
GB/T 7714-2015
复制
MLA
复制
APA
复制
导出至
BibTeX EndNote RefMan NoteFirst NoteExpress
×
提示
您的信息不完整,为了账户安全,请先补充。
现在去补充
×
提示
您因"违规操作"
具体请查看互助需知
我知道了
×
提示
确定
请完成安全验证×
copy
已复制链接
快去分享给好友吧!
我知道了
右上角分享
点击右上角分享
0
联系我们:info@booksci.cn Book学术提供免费学术资源搜索服务,方便国内外学者检索中英文文献。致力于提供最便捷和优质的服务体验。 Copyright © 2023 布克学术 All rights reserved.
京ICP备2023020795号-1
ghs 京公网安备 11010802042870号
Book学术文献互助
Book学术文献互助群
群 号:604180095
Book学术官方微信