血液吸附在新生儿心脏手术中的作用。

IF 2.8 3区 医学 Q2 CARDIAC & CARDIOVASCULAR SYSTEMS
Frontiers in Cardiovascular Medicine Pub Date : 2025-09-17 eCollection Date: 2025-01-01 DOI:10.3389/fcvm.2025.1615697
Isabella Molinari, Enrico Aidala, Maria Teresa Cascarano, Maria Stella Di Carlo, Cristina Rivoldini, Enrico Bonaveglio, Carlo Pace Napoleone
{"title":"血液吸附在新生儿心脏手术中的作用。","authors":"Isabella Molinari, Enrico Aidala, Maria Teresa Cascarano, Maria Stella Di Carlo, Cristina Rivoldini, Enrico Bonaveglio, Carlo Pace Napoleone","doi":"10.3389/fcvm.2025.1615697","DOIUrl":null,"url":null,"abstract":"<p><strong>Background: </strong>Cardiopulmonary bypass (CPB) in paediatric open-heart surgery is challenging, especially in neonates and aortic arch surgery. It induces a systemic inflammatory response that can lead to significant postoperative complications, including multiorgan dysfunction, prolonged mechanical ventilation, and intensive care unit (ICU) stay. Blood purification with hemoadsorbers integrated into CPB has been proposed as a strategy to reduce these side effects. These devices adsorb cytokines from the bloodstream, trying to modulate their negative systemic effect.</p><p><strong>Methods: </strong>This retrospective study evaluates 33 neonates who underwent complex cardiac surgeries between January 2022 and January 2025 at Regina Margherita Children's Hospital. 17 of them had been treated with Jafron HA60 hemoadsorber during CPB. Biomarkers of organ damage (creatinine, lipase, aspartate transaminase, and alanine transaminase), C-reactive protein, lactates, inotropic drugs doses and a wide range of pro- and anti-inflammatory cytokines were analysed during surgery and in the intensive care unit.</p><p><strong>Results: </strong>The results showed a decrease in biomarkers of organ damage and inflammation, accompanied by a tendency toward reduction in the required dose of inotropes, ICU stays, days of mechanical ventilation, and duration of required open chest time in the treated group. A similar downward pattern was observed in cytokine levels.</p><p><strong>Conclusions: </strong>Hemoadsorption may be associated with improved clinical parameters in neonates undergoing high-risk cardiac surgery. Further large-scale studies are needed to explore these observations.</p>","PeriodicalId":12414,"journal":{"name":"Frontiers in Cardiovascular Medicine","volume":"12 ","pages":"1615697"},"PeriodicalIF":2.8000,"publicationDate":"2025-09-17","publicationTypes":"Journal Article","fieldsOfStudy":null,"isOpenAccess":false,"openAccessPdf":"https://www.ncbi.nlm.nih.gov/pmc/articles/PMC12484163/pdf/","citationCount":"0","resultStr":"{\"title\":\"Hemoadsorption contribution in neonatal cardiac surgery.\",\"authors\":\"Isabella Molinari, Enrico Aidala, Maria Teresa Cascarano, Maria Stella Di Carlo, Cristina Rivoldini, Enrico Bonaveglio, Carlo Pace Napoleone\",\"doi\":\"10.3389/fcvm.2025.1615697\",\"DOIUrl\":null,\"url\":null,\"abstract\":\"<p><strong>Background: </strong>Cardiopulmonary bypass (CPB) in paediatric open-heart surgery is challenging, especially in neonates and aortic arch surgery. It induces a systemic inflammatory response that can lead to significant postoperative complications, including multiorgan dysfunction, prolonged mechanical ventilation, and intensive care unit (ICU) stay. Blood purification with hemoadsorbers integrated into CPB has been proposed as a strategy to reduce these side effects. These devices adsorb cytokines from the bloodstream, trying to modulate their negative systemic effect.</p><p><strong>Methods: </strong>This retrospective study evaluates 33 neonates who underwent complex cardiac surgeries between January 2022 and January 2025 at Regina Margherita Children's Hospital. 17 of them had been treated with Jafron HA60 hemoadsorber during CPB. Biomarkers of organ damage (creatinine, lipase, aspartate transaminase, and alanine transaminase), C-reactive protein, lactates, inotropic drugs doses and a wide range of pro- and anti-inflammatory cytokines were analysed during surgery and in the intensive care unit.</p><p><strong>Results: </strong>The results showed a decrease in biomarkers of organ damage and inflammation, accompanied by a tendency toward reduction in the required dose of inotropes, ICU stays, days of mechanical ventilation, and duration of required open chest time in the treated group. A similar downward pattern was observed in cytokine levels.</p><p><strong>Conclusions: </strong>Hemoadsorption may be associated with improved clinical parameters in neonates undergoing high-risk cardiac surgery. Further large-scale studies are needed to explore these observations.</p>\",\"PeriodicalId\":12414,\"journal\":{\"name\":\"Frontiers in Cardiovascular Medicine\",\"volume\":\"12 \",\"pages\":\"1615697\"},\"PeriodicalIF\":2.8000,\"publicationDate\":\"2025-09-17\",\"publicationTypes\":\"Journal Article\",\"fieldsOfStudy\":null,\"isOpenAccess\":false,\"openAccessPdf\":\"https://www.ncbi.nlm.nih.gov/pmc/articles/PMC12484163/pdf/\",\"citationCount\":\"0\",\"resultStr\":null,\"platform\":\"Semanticscholar\",\"paperid\":null,\"PeriodicalName\":\"Frontiers in Cardiovascular Medicine\",\"FirstCategoryId\":\"3\",\"ListUrlMain\":\"https://doi.org/10.3389/fcvm.2025.1615697\",\"RegionNum\":3,\"RegionCategory\":\"医学\",\"ArticlePicture\":[],\"TitleCN\":null,\"AbstractTextCN\":null,\"PMCID\":null,\"EPubDate\":\"2025/1/1 0:00:00\",\"PubModel\":\"eCollection\",\"JCR\":\"Q2\",\"JCRName\":\"CARDIAC & CARDIOVASCULAR SYSTEMS\",\"Score\":null,\"Total\":0}","platform":"Semanticscholar","paperid":null,"PeriodicalName":"Frontiers in Cardiovascular Medicine","FirstCategoryId":"3","ListUrlMain":"https://doi.org/10.3389/fcvm.2025.1615697","RegionNum":3,"RegionCategory":"医学","ArticlePicture":[],"TitleCN":null,"AbstractTextCN":null,"PMCID":null,"EPubDate":"2025/1/1 0:00:00","PubModel":"eCollection","JCR":"Q2","JCRName":"CARDIAC & CARDIOVASCULAR SYSTEMS","Score":null,"Total":0}
引用次数: 0

摘要

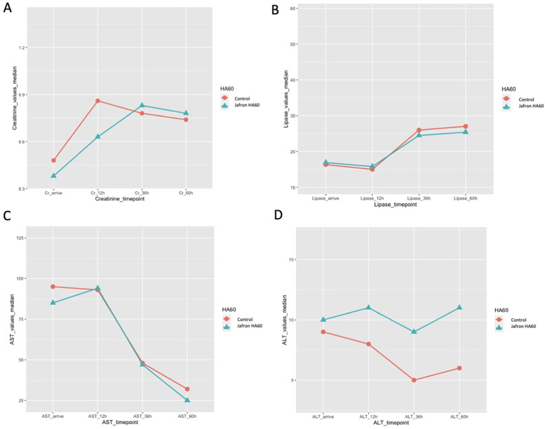
背景:体外循环(CPB)在儿科心内直视手术中具有挑战性,特别是在新生儿和主动脉弓手术中。它诱导全身炎症反应,可导致严重的术后并发症,包括多器官功能障碍、机械通气延长和重症监护病房(ICU)住院。血液净化与血液吸附剂集成到CPB已被提出作为一种策略,以减少这些副作用。这些装置从血液中吸收细胞因子,试图调节它们对全身的负面影响。方法:对2022年1月至2025年1月在Regina Margherita儿童医院接受复杂心脏手术的33例新生儿进行回顾性研究,其中17例在CPB期间使用Jafron HA60吸血器。在手术期间和重症监护病房分析器官损伤的生物标志物(肌酐、脂肪酶、天冬氨酸转氨酶和丙氨酸转氨酶)、c反应蛋白、乳酸、肌力药物剂量和广泛的促炎性和抗炎性细胞因子。结果:结果显示,在治疗组中,器官损伤和炎症的生物标志物减少,并伴有肌力药物所需剂量、ICU住院时间、机械通气天数和所需开胸时间的减少趋势。细胞因子水平也出现了类似的下降模式。结论:血液吸附可能与高危心脏手术新生儿临床参数的改善有关。需要进一步的大规模研究来探索这些观察结果。
本文章由计算机程序翻译,如有差异,请以英文原文为准。

Hemoadsorption contribution in neonatal cardiac surgery.

Hemoadsorption contribution in neonatal cardiac surgery.

Hemoadsorption contribution in neonatal cardiac surgery.

Hemoadsorption contribution in neonatal cardiac surgery.

Background: Cardiopulmonary bypass (CPB) in paediatric open-heart surgery is challenging, especially in neonates and aortic arch surgery. It induces a systemic inflammatory response that can lead to significant postoperative complications, including multiorgan dysfunction, prolonged mechanical ventilation, and intensive care unit (ICU) stay. Blood purification with hemoadsorbers integrated into CPB has been proposed as a strategy to reduce these side effects. These devices adsorb cytokines from the bloodstream, trying to modulate their negative systemic effect.

Methods: This retrospective study evaluates 33 neonates who underwent complex cardiac surgeries between January 2022 and January 2025 at Regina Margherita Children's Hospital. 17 of them had been treated with Jafron HA60 hemoadsorber during CPB. Biomarkers of organ damage (creatinine, lipase, aspartate transaminase, and alanine transaminase), C-reactive protein, lactates, inotropic drugs doses and a wide range of pro- and anti-inflammatory cytokines were analysed during surgery and in the intensive care unit.

Results: The results showed a decrease in biomarkers of organ damage and inflammation, accompanied by a tendency toward reduction in the required dose of inotropes, ICU stays, days of mechanical ventilation, and duration of required open chest time in the treated group. A similar downward pattern was observed in cytokine levels.

Conclusions: Hemoadsorption may be associated with improved clinical parameters in neonates undergoing high-risk cardiac surgery. Further large-scale studies are needed to explore these observations.

求助全文
通过发布文献求助,成功后即可免费获取论文全文。 去求助
来源期刊
Frontiers in Cardiovascular Medicine
Frontiers in Cardiovascular Medicine Medicine-Cardiology and Cardiovascular Medicine
CiteScore
3.80
自引率
11.10%
发文量
3529
审稿时长
14 weeks
期刊介绍: Frontiers? Which frontiers? Where exactly are the frontiers of cardiovascular medicine? And who should be defining these frontiers? At Frontiers in Cardiovascular Medicine we believe it is worth being curious to foresee and explore beyond the current frontiers. In other words, we would like, through the articles published by our community journal Frontiers in Cardiovascular Medicine, to anticipate the future of cardiovascular medicine, and thus better prevent cardiovascular disorders and improve therapeutic options and outcomes of our patients.
×
引用
GB/T 7714-2015
复制
MLA
复制
APA
复制
导出至
BibTeX EndNote RefMan NoteFirst NoteExpress
×
提示
您的信息不完整,为了账户安全,请先补充。
现在去补充
×
提示
您因"违规操作"
具体请查看互助需知
我知道了
×
提示
确定
请完成安全验证×
copy
已复制链接
快去分享给好友吧!
我知道了
右上角分享
点击右上角分享
0
联系我们:info@booksci.cn Book学术提供免费学术资源搜索服务,方便国内外学者检索中英文文献。致力于提供最便捷和优质的服务体验。 Copyright © 2023 布克学术 All rights reserved.
京ICP备2023020795号-1
ghs 京公网安备 11010802042870号
Book学术文献互助
Book学术文献互助群
群 号:604180095
Book学术官方微信