无论土壤肥力如何,早期子叶去除对栓皮栎幼苗根系生长和贮藏的负面影响都大于对芽部的负面影响

IF 2.1 3区 农林科学 Q2 FORESTRY
Trees Pub Date : 2025-09-29 DOI:10.1007/s00468-025-02686-y
Kaifen Zhao, Guolei Li
{"title":"无论土壤肥力如何,早期子叶去除对栓皮栎幼苗根系生长和贮藏的负面影响都大于对芽部的负面影响","authors":"Kaifen Zhao,&nbsp;Guolei Li","doi":"10.1007/s00468-025-02686-y","DOIUrl":null,"url":null,"abstract":"<div><p>Oak cotyledons are hypogeal and non-photosynthetic. Animal predation on cotyledons during the seedling stage is a very common phenomenon and may hinder oak forest regeneration. However, no studies have compared the effects of cotyledon loss on shoot and root growth, as well as mineral or nonstructural carbohydrate (NSC) storage, under different soil fertility conditions, making it difficult to identify whether root or shoot traits are the most reliable indicators for assessing the effects of cotyledon predation on seedling recruitment. We subjected <i>Quercus variabilis</i> seedlings to fifteen cotyledon removal times and two fertilization levels to measure cotyledon resource decrease kinetics and seedling mass at early growth stages and subsequent seedling performance at the end of first year. Cotyledon resource remobilization completed at 32 days after emergence, with phosphorus and NSC remobilizing more efficiently than nitrogen and potassium. Soil nutrients had no impact on cotyledon resource remobilization and early seedling growth. Cotyledon removal imposed stronger negative effects on root growth and storage than on shoots at the end of first year, which can be alleviated by fertilization. Cotyledon removal after 14 days of emergence did not decrease seedling growth and storage. In conclusion, cotyledon resources are more important than soil nutrients for early seedling growth, and early cotyledon removal greatly hinders subsequent seedling growth and storage, with roots being more sensitive to cotyledon removal than shoots. To improve oak seedling regeneration, cotyledons should be protected from animal predation at least 14 days after emergence by setting up a fence around acorns.</p></div>","PeriodicalId":805,"journal":{"name":"Trees","volume":"39 5","pages":""},"PeriodicalIF":2.1000,"publicationDate":"2025-09-29","publicationTypes":"Journal Article","fieldsOfStudy":null,"isOpenAccess":false,"openAccessPdf":"","citationCount":"0","resultStr":"{\"title\":\"Early cotyledon removal has stronger negative effects on root growth and storage than on shoots in Quercus variabilis seedlings, regardless of soil fertility\",\"authors\":\"Kaifen Zhao,&nbsp;Guolei Li\",\"doi\":\"10.1007/s00468-025-02686-y\",\"DOIUrl\":null,\"url\":null,\"abstract\":\"<div><p>Oak cotyledons are hypogeal and non-photosynthetic. Animal predation on cotyledons during the seedling stage is a very common phenomenon and may hinder oak forest regeneration. However, no studies have compared the effects of cotyledon loss on shoot and root growth, as well as mineral or nonstructural carbohydrate (NSC) storage, under different soil fertility conditions, making it difficult to identify whether root or shoot traits are the most reliable indicators for assessing the effects of cotyledon predation on seedling recruitment. We subjected <i>Quercus variabilis</i> seedlings to fifteen cotyledon removal times and two fertilization levels to measure cotyledon resource decrease kinetics and seedling mass at early growth stages and subsequent seedling performance at the end of first year. Cotyledon resource remobilization completed at 32 days after emergence, with phosphorus and NSC remobilizing more efficiently than nitrogen and potassium. Soil nutrients had no impact on cotyledon resource remobilization and early seedling growth. Cotyledon removal imposed stronger negative effects on root growth and storage than on shoots at the end of first year, which can be alleviated by fertilization. Cotyledon removal after 14 days of emergence did not decrease seedling growth and storage. In conclusion, cotyledon resources are more important than soil nutrients for early seedling growth, and early cotyledon removal greatly hinders subsequent seedling growth and storage, with roots being more sensitive to cotyledon removal than shoots. To improve oak seedling regeneration, cotyledons should be protected from animal predation at least 14 days after emergence by setting up a fence around acorns.</p></div>\",\"PeriodicalId\":805,\"journal\":{\"name\":\"Trees\",\"volume\":\"39 5\",\"pages\":\"\"},\"PeriodicalIF\":2.1000,\"publicationDate\":\"2025-09-29\",\"publicationTypes\":\"Journal Article\",\"fieldsOfStudy\":null,\"isOpenAccess\":false,\"openAccessPdf\":\"\",\"citationCount\":\"0\",\"resultStr\":null,\"platform\":\"Semanticscholar\",\"paperid\":null,\"PeriodicalName\":\"Trees\",\"FirstCategoryId\":\"2\",\"ListUrlMain\":\"https://link.springer.com/article/10.1007/s00468-025-02686-y\",\"RegionNum\":3,\"RegionCategory\":\"农林科学\",\"ArticlePicture\":[],\"TitleCN\":null,\"AbstractTextCN\":null,\"PMCID\":null,\"EPubDate\":\"\",\"PubModel\":\"\",\"JCR\":\"Q2\",\"JCRName\":\"FORESTRY\",\"Score\":null,\"Total\":0}","platform":"Semanticscholar","paperid":null,"PeriodicalName":"Trees","FirstCategoryId":"2","ListUrlMain":"https://link.springer.com/article/10.1007/s00468-025-02686-y","RegionNum":3,"RegionCategory":"农林科学","ArticlePicture":[],"TitleCN":null,"AbstractTextCN":null,"PMCID":null,"EPubDate":"","PubModel":"","JCR":"Q2","JCRName":"FORESTRY","Score":null,"Total":0}
引用次数: 0

摘要

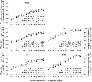
橡树的子叶是下生的,不进行光合作用。动物在苗期捕食子叶是一种非常普遍的现象,可能会阻碍栎林的更新。然而,目前还没有研究比较不同土壤肥力条件下子叶损失对茎和根生长以及矿物质或非结构碳水化合物(NSC)储存的影响,因此很难确定根性状还是茎性状是评估子叶捕食对幼苗补充影响的最可靠指标。以栓皮栎幼苗为研究对象,在15次除子叶和2种施肥水平下,测定其生长早期子叶资源减少动力学和幼苗质量,以及一年后的幼苗性能。子叶资源的再动员在羽化后32 d完成,其中磷和NSC的再动员效率高于氮和钾。土壤养分对子叶资源再动员和早苗生长没有影响。拔除子叶对根生长和贮藏的负面影响大于对一年生末茎部的负面影响,这种影响可以通过施肥来缓解。出芽14 d后去子叶不影响幼苗生长和贮藏。综上所述,对早苗生长而言,子叶资源比土壤养分更重要,早苗去除子叶极大地阻碍了后续幼苗的生长和贮藏,且根对去除子叶的敏感性高于茎。为了提高橡树幼苗的再生能力,子叶应在萌发后至少14天内不被动物捕食,并在橡子周围设置围栏。
本文章由计算机程序翻译,如有差异,请以英文原文为准。

Early cotyledon removal has stronger negative effects on root growth and storage than on shoots in Quercus variabilis seedlings, regardless of soil fertility

Early cotyledon removal has stronger negative effects on root growth and storage than on shoots in Quercus variabilis seedlings, regardless of soil fertility

Oak cotyledons are hypogeal and non-photosynthetic. Animal predation on cotyledons during the seedling stage is a very common phenomenon and may hinder oak forest regeneration. However, no studies have compared the effects of cotyledon loss on shoot and root growth, as well as mineral or nonstructural carbohydrate (NSC) storage, under different soil fertility conditions, making it difficult to identify whether root or shoot traits are the most reliable indicators for assessing the effects of cotyledon predation on seedling recruitment. We subjected Quercus variabilis seedlings to fifteen cotyledon removal times and two fertilization levels to measure cotyledon resource decrease kinetics and seedling mass at early growth stages and subsequent seedling performance at the end of first year. Cotyledon resource remobilization completed at 32 days after emergence, with phosphorus and NSC remobilizing more efficiently than nitrogen and potassium. Soil nutrients had no impact on cotyledon resource remobilization and early seedling growth. Cotyledon removal imposed stronger negative effects on root growth and storage than on shoots at the end of first year, which can be alleviated by fertilization. Cotyledon removal after 14 days of emergence did not decrease seedling growth and storage. In conclusion, cotyledon resources are more important than soil nutrients for early seedling growth, and early cotyledon removal greatly hinders subsequent seedling growth and storage, with roots being more sensitive to cotyledon removal than shoots. To improve oak seedling regeneration, cotyledons should be protected from animal predation at least 14 days after emergence by setting up a fence around acorns.

求助全文
通过发布文献求助,成功后即可免费获取论文全文。 去求助
来源期刊
Trees
Trees 农林科学-林学
CiteScore
4.50
自引率
4.30%
发文量
113
审稿时长
3.8 months
期刊介绍: Trees - Structure and Function publishes original articles on the physiology, biochemistry, functional anatomy, structure and ecology of trees and other woody plants. Also presented are articles concerned with pathology and technological problems, when they contribute to the basic understanding of structure and function of trees. In addition to original articles and short communications, the journal publishes reviews on selected topics concerning the structure and function of trees.
×
引用
GB/T 7714-2015
复制
MLA
复制
APA
复制
导出至
BibTeX EndNote RefMan NoteFirst NoteExpress
×
提示
您的信息不完整,为了账户安全,请先补充。
现在去补充
×
提示
您因"违规操作"
具体请查看互助需知
我知道了
×
提示
确定
请完成安全验证×
copy
已复制链接
快去分享给好友吧!
我知道了
右上角分享
点击右上角分享
0
联系我们:info@booksci.cn Book学术提供免费学术资源搜索服务,方便国内外学者检索中英文文献。致力于提供最便捷和优质的服务体验。 Copyright © 2023 布克学术 All rights reserved.
京ICP备2023020795号-1
ghs 京公网安备 11010802042870号
Book学术文献互助
Book学术文献互助群
群 号:604180095
Book学术官方微信