化疗方案包括环磷酰胺、阿霉素、长春新碱、强的松或CHOP联合利妥昔单抗治疗的非霍奇金淋巴瘤患者生殖不良事件:一项系统回顾和荟萃分析。

Pediatric discovery Pub Date : 2024-05-24 eCollection Date: 2025-09-01 DOI:10.1002/pdi3.72
Rong Han, Jie Zhao, Chengjun Yu, Ling Wang, Long Chen, Yang Hu, Shengde Wu
{"title":"化疗方案包括环磷酰胺、阿霉素、长春新碱、强的松或CHOP联合利妥昔单抗治疗的非霍奇金淋巴瘤患者生殖不良事件:一项系统回顾和荟萃分析。","authors":"Rong Han, Jie Zhao, Chengjun Yu, Ling Wang, Long Chen, Yang Hu, Shengde Wu","doi":"10.1002/pdi3.72","DOIUrl":null,"url":null,"abstract":"<p><p>The regimen of cyclophosphamide, doxorubicin, vincristine, and prednisone (CHOP) or CHOP with rituximab (R-CHOP) is the first-line treatment for non-Hodgkin lymphoma (NHL). NHL patients treated with CHOP/R-CHOP have a high risk of reproductive adverse events. The aim of this article was to evaluate the reproductive toxicity of regimens and make further suggestions on reproductive protection. We systematically searched with appropriate terms from January 1980 to June 2021 for observational studies in patients treated with CHOP/R-CHOP, without any language restriction. We conducted meta-analyses of one-sample proportions of patients suffering reproductive adverse events after using CHOP/R-CHOP. In addition, subgroup analyses were performed to determine the effect of sex. Nine articles involving 331 patients were included in the meta-analysis, and the pooled proportion of reproductive adverse events was computed to be 22.3% (95% confidence interval [CI] 11.4%-33.2%; heterogeneity test <i>Q</i> = 65.3; <i>τ</i> <sup>2</sup> = 0.0231; <i>I</i> <sup>2</sup> = 87.70%; <i>p</i> < 0.001) using the random-effects model. And, the pooled proportion of male gonadal toxicity was 29.2% (95% CI 11.0%-47.4%; heterogeneity test <i>Q</i> = 46.65; <i>τ</i> <sup>2</sup> = 3.055; <i>I</i> <sup>2</sup> = 89.3%; <i>p</i> < 0.0001). The pooled proportion of female gonadal toxicity was 16.5% (95% CI 8.5%-24.5%; heterogeneity test <i>Q</i> = 18.6; <i>τ</i> <sup>2</sup> = 0.0112; <i>I</i> <sup>2</sup> = 67.8%; <i>p</i> = 0.005). The findings suggest that NHL patients have a relatively high risk of reproductive adverse events after treatment with CHOP/R-CHOP. Men are more likely to have gonadal damage than women. Evaluation of reproductive function is particularly necessary both before and after treatment. Some reproductive protection strategies implemented for patients who want to preserve their fertility.</p>","PeriodicalId":520221,"journal":{"name":"Pediatric discovery","volume":"3 3","pages":"e72"},"PeriodicalIF":0.0000,"publicationDate":"2024-05-24","publicationTypes":"Journal Article","fieldsOfStudy":null,"isOpenAccess":false,"openAccessPdf":"https://www.ncbi.nlm.nih.gov/pmc/articles/PMC12483300/pdf/","citationCount":"0","resultStr":"{\"title\":\"Reproductive adverse events in patients with non-Hodgkin lymphoma treated with chemotherapeutic regimens including cyclophosphamide, doxorubicin, vincristine, prednisone or CHOP with rituximab: A systematic review and meta-analysis.\",\"authors\":\"Rong Han, Jie Zhao, Chengjun Yu, Ling Wang, Long Chen, Yang Hu, Shengde Wu\",\"doi\":\"10.1002/pdi3.72\",\"DOIUrl\":null,\"url\":null,\"abstract\":\"<p><p>The regimen of cyclophosphamide, doxorubicin, vincristine, and prednisone (CHOP) or CHOP with rituximab (R-CHOP) is the first-line treatment for non-Hodgkin lymphoma (NHL). NHL patients treated with CHOP/R-CHOP have a high risk of reproductive adverse events. The aim of this article was to evaluate the reproductive toxicity of regimens and make further suggestions on reproductive protection. We systematically searched with appropriate terms from January 1980 to June 2021 for observational studies in patients treated with CHOP/R-CHOP, without any language restriction. We conducted meta-analyses of one-sample proportions of patients suffering reproductive adverse events after using CHOP/R-CHOP. In addition, subgroup analyses were performed to determine the effect of sex. Nine articles involving 331 patients were included in the meta-analysis, and the pooled proportion of reproductive adverse events was computed to be 22.3% (95% confidence interval [CI] 11.4%-33.2%; heterogeneity test <i>Q</i> = 65.3; <i>τ</i> <sup>2</sup> = 0.0231; <i>I</i> <sup>2</sup> = 87.70%; <i>p</i> < 0.001) using the random-effects model. And, the pooled proportion of male gonadal toxicity was 29.2% (95% CI 11.0%-47.4%; heterogeneity test <i>Q</i> = 46.65; <i>τ</i> <sup>2</sup> = 3.055; <i>I</i> <sup>2</sup> = 89.3%; <i>p</i> < 0.0001). The pooled proportion of female gonadal toxicity was 16.5% (95% CI 8.5%-24.5%; heterogeneity test <i>Q</i> = 18.6; <i>τ</i> <sup>2</sup> = 0.0112; <i>I</i> <sup>2</sup> = 67.8%; <i>p</i> = 0.005). The findings suggest that NHL patients have a relatively high risk of reproductive adverse events after treatment with CHOP/R-CHOP. Men are more likely to have gonadal damage than women. Evaluation of reproductive function is particularly necessary both before and after treatment. Some reproductive protection strategies implemented for patients who want to preserve their fertility.</p>\",\"PeriodicalId\":520221,\"journal\":{\"name\":\"Pediatric discovery\",\"volume\":\"3 3\",\"pages\":\"e72\"},\"PeriodicalIF\":0.0000,\"publicationDate\":\"2024-05-24\",\"publicationTypes\":\"Journal Article\",\"fieldsOfStudy\":null,\"isOpenAccess\":false,\"openAccessPdf\":\"https://www.ncbi.nlm.nih.gov/pmc/articles/PMC12483300/pdf/\",\"citationCount\":\"0\",\"resultStr\":null,\"platform\":\"Semanticscholar\",\"paperid\":null,\"PeriodicalName\":\"Pediatric discovery\",\"FirstCategoryId\":\"1085\",\"ListUrlMain\":\"https://doi.org/10.1002/pdi3.72\",\"RegionNum\":0,\"RegionCategory\":null,\"ArticlePicture\":[],\"TitleCN\":null,\"AbstractTextCN\":null,\"PMCID\":null,\"EPubDate\":\"2025/9/1 0:00:00\",\"PubModel\":\"eCollection\",\"JCR\":\"\",\"JCRName\":\"\",\"Score\":null,\"Total\":0}","platform":"Semanticscholar","paperid":null,"PeriodicalName":"Pediatric discovery","FirstCategoryId":"1085","ListUrlMain":"https://doi.org/10.1002/pdi3.72","RegionNum":0,"RegionCategory":null,"ArticlePicture":[],"TitleCN":null,"AbstractTextCN":null,"PMCID":null,"EPubDate":"2025/9/1 0:00:00","PubModel":"eCollection","JCR":"","JCRName":"","Score":null,"Total":0}
引用次数: 0

摘要

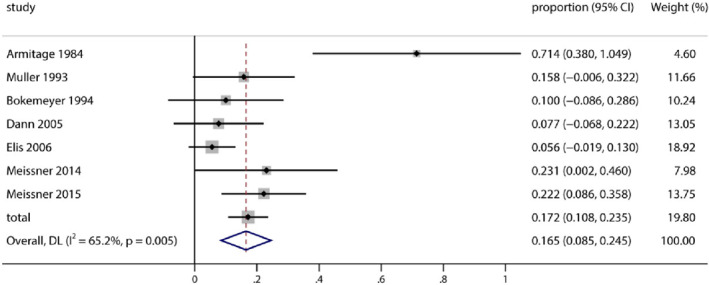
环磷酰胺、阿霉素、长春新碱和强的松(CHOP)方案或CHOP联合利妥昔单抗(R-CHOP)方案是非霍奇金淋巴瘤(NHL)的一线治疗方案。接受CHOP/R-CHOP治疗的NHL患者生殖不良事件的风险很高。本文的目的是评价方案的生殖毒性,并提出进一步的生殖保护建议。我们系统地检索了1980年1月至2021年6月期间接受CHOP/R-CHOP治疗的患者的观察性研究,没有任何语言限制。我们对使用CHOP/R-CHOP后出现生殖不良事件的患者的单样本比例进行了荟萃分析。此外,还进行了亚组分析,以确定性别的影响。meta分析纳入9篇文献,共331例患者,计算生殖不良事件的合并比例为22.3%(95%可信区间[CI] 11.4%-33.2%;异质性检验Q = 65.3; τ 2 = 0.0231; I 2 = 87.70%; p Q = 46.65; τ 2 = 3.055; I 2 = 89.3%; p Q = 18.6; τ 2 = 0.0112; I 2 = 67.8%; p = 0.005)。研究结果表明,NHL患者在接受CHOP/R-CHOP治疗后,生殖不良事件的风险相对较高。男性比女性更容易出现性腺损伤。在治疗前后对生殖功能进行评估尤为必要。为希望保持生育能力的患者实施一些生殖保护策略。
本文章由计算机程序翻译,如有差异,请以英文原文为准。

Reproductive adverse events in patients with non-Hodgkin lymphoma treated with chemotherapeutic regimens including cyclophosphamide, doxorubicin, vincristine, prednisone or CHOP with rituximab: A systematic review and meta-analysis.

Reproductive adverse events in patients with non-Hodgkin lymphoma treated with chemotherapeutic regimens including cyclophosphamide, doxorubicin, vincristine, prednisone or CHOP with rituximab: A systematic review and meta-analysis.

Reproductive adverse events in patients with non-Hodgkin lymphoma treated with chemotherapeutic regimens including cyclophosphamide, doxorubicin, vincristine, prednisone or CHOP with rituximab: A systematic review and meta-analysis.

Reproductive adverse events in patients with non-Hodgkin lymphoma treated with chemotherapeutic regimens including cyclophosphamide, doxorubicin, vincristine, prednisone or CHOP with rituximab: A systematic review and meta-analysis.

The regimen of cyclophosphamide, doxorubicin, vincristine, and prednisone (CHOP) or CHOP with rituximab (R-CHOP) is the first-line treatment for non-Hodgkin lymphoma (NHL). NHL patients treated with CHOP/R-CHOP have a high risk of reproductive adverse events. The aim of this article was to evaluate the reproductive toxicity of regimens and make further suggestions on reproductive protection. We systematically searched with appropriate terms from January 1980 to June 2021 for observational studies in patients treated with CHOP/R-CHOP, without any language restriction. We conducted meta-analyses of one-sample proportions of patients suffering reproductive adverse events after using CHOP/R-CHOP. In addition, subgroup analyses were performed to determine the effect of sex. Nine articles involving 331 patients were included in the meta-analysis, and the pooled proportion of reproductive adverse events was computed to be 22.3% (95% confidence interval [CI] 11.4%-33.2%; heterogeneity test Q = 65.3; τ 2 = 0.0231; I 2 = 87.70%; p < 0.001) using the random-effects model. And, the pooled proportion of male gonadal toxicity was 29.2% (95% CI 11.0%-47.4%; heterogeneity test Q = 46.65; τ 2 = 3.055; I 2 = 89.3%; p < 0.0001). The pooled proportion of female gonadal toxicity was 16.5% (95% CI 8.5%-24.5%; heterogeneity test Q = 18.6; τ 2 = 0.0112; I 2 = 67.8%; p = 0.005). The findings suggest that NHL patients have a relatively high risk of reproductive adverse events after treatment with CHOP/R-CHOP. Men are more likely to have gonadal damage than women. Evaluation of reproductive function is particularly necessary both before and after treatment. Some reproductive protection strategies implemented for patients who want to preserve their fertility.

求助全文
通过发布文献求助,成功后即可免费获取论文全文。 去求助
来源期刊
自引率
0.00%
发文量
0
×
引用
GB/T 7714-2015
复制
MLA
复制
APA
复制
导出至
BibTeX EndNote RefMan NoteFirst NoteExpress
×
提示
您的信息不完整,为了账户安全,请先补充。
现在去补充
×
提示
您因"违规操作"
具体请查看互助需知
我知道了
×
提示
确定
请完成安全验证×
copy
已复制链接
快去分享给好友吧!
我知道了
右上角分享
点击右上角分享
0
联系我们:info@booksci.cn Book学术提供免费学术资源搜索服务,方便国内外学者检索中英文文献。致力于提供最便捷和优质的服务体验。 Copyright © 2023 布克学术 All rights reserved.
京ICP备2023020795号-1
ghs 京公网安备 11010802042870号
Book学术文献互助
Book学术文献互助群
群 号:604180095
Book学术官方微信