评价孟鲁司特对乳腺癌患者阿霉素引起的心脏毒性的作用。

IF 3 3区 医学 Q2 HEALTH CARE SCIENCES & SERVICES
Naglaa F Gomaa, Rehab H Werida, Ahmed G El-Gowily, Noha A El-Bassiouny
{"title":"评价孟鲁司特对乳腺癌患者阿霉素引起的心脏毒性的作用。","authors":"Naglaa F Gomaa, Rehab H Werida, Ahmed G El-Gowily, Noha A El-Bassiouny","doi":"10.1007/s00520-025-09947-z","DOIUrl":null,"url":null,"abstract":"<p><strong>Purpose: </strong>Doxorubicin (DOX), a prominent anthracycline, is used to treat malignancies, but its cardiotoxicity restricts its therapeutic application. This study examined the potential protective effects of montelukast (ML), an anti-asthmatic drug with anti-inflammatory characteristics, against doxorubicin-induced cardiotoxicity (DIC) in breast cancer (BC) patients.</p><p><strong>Method: </strong>A prospective, randomized, controlled clinical study including fifty individuals with a confirmed diagnosis of BC, individuals scheduled to receive DOX 60 mg/m<sup>2</sup> in conjunction with Cyclophosphamide 600 mg/m<sup>2</sup> (AC) for four courses at 21-day intervals. Both the control group and the ML group were randomly selected from the patient pool.</p><p><strong>Results: </strong>After treatment, a significant reduction in N-terminal Pro Brain Natriuretic Peptide (NT pro-BNP) levels was observed in the ML group compared to the control group (1756.0 [1054.0-2334.0] vs. 3788.0 [2226.0-4401.1] pg/mL, p < 0.001). Nuclear factor-kappa B (NF-κB) levels also decreased significantly in the ML group (2.23 [1.18-3.05] vs. 3.11 [2.39-3.25] pg/mL, p = 0.009). The median percentage reduction in Soluble suppression of tumorigenicity 2 (sST2) levels was more pronounced in the ML group (20.93 ± 5.45 ng/mL) than in the control group (24.16 ± 5.14 ng/mL, p = 0.036). Additionally, a strong positive correlation between NT pro-BNP and NF-κB levels was observed post-treatment (rs = 0.644, p < 0.001), supporting ML's potential anti-inflammatory and cardioprotective effects.</p><p><strong>Conclusion: </strong>The incorporation of ML into AC led to a substantial decrease in cardiac biomarkers confirming the feasibility of incorporating ML in individuals with breast cancer as an auxiliary treatment to prevent DOX-induced cardiotoxicity. Trial registration ClinicalTrials.gov: NCT05959889.</p>","PeriodicalId":22046,"journal":{"name":"Supportive Care in Cancer","volume":"33 10","pages":"897"},"PeriodicalIF":3.0000,"publicationDate":"2025-10-01","publicationTypes":"Journal Article","fieldsOfStudy":null,"isOpenAccess":false,"openAccessPdf":"https://www.ncbi.nlm.nih.gov/pmc/articles/PMC12488768/pdf/","citationCount":"0","resultStr":"{\"title\":\"Evaluating the role of montelukast on doxorubicin-induced cardiotoxicity in breast cancer patients.\",\"authors\":\"Naglaa F Gomaa, Rehab H Werida, Ahmed G El-Gowily, Noha A El-Bassiouny\",\"doi\":\"10.1007/s00520-025-09947-z\",\"DOIUrl\":null,\"url\":null,\"abstract\":\"<p><strong>Purpose: </strong>Doxorubicin (DOX), a prominent anthracycline, is used to treat malignancies, but its cardiotoxicity restricts its therapeutic application. This study examined the potential protective effects of montelukast (ML), an anti-asthmatic drug with anti-inflammatory characteristics, against doxorubicin-induced cardiotoxicity (DIC) in breast cancer (BC) patients.</p><p><strong>Method: </strong>A prospective, randomized, controlled clinical study including fifty individuals with a confirmed diagnosis of BC, individuals scheduled to receive DOX 60 mg/m<sup>2</sup> in conjunction with Cyclophosphamide 600 mg/m<sup>2</sup> (AC) for four courses at 21-day intervals. Both the control group and the ML group were randomly selected from the patient pool.</p><p><strong>Results: </strong>After treatment, a significant reduction in N-terminal Pro Brain Natriuretic Peptide (NT pro-BNP) levels was observed in the ML group compared to the control group (1756.0 [1054.0-2334.0] vs. 3788.0 [2226.0-4401.1] pg/mL, p < 0.001). Nuclear factor-kappa B (NF-κB) levels also decreased significantly in the ML group (2.23 [1.18-3.05] vs. 3.11 [2.39-3.25] pg/mL, p = 0.009). The median percentage reduction in Soluble suppression of tumorigenicity 2 (sST2) levels was more pronounced in the ML group (20.93 ± 5.45 ng/mL) than in the control group (24.16 ± 5.14 ng/mL, p = 0.036). Additionally, a strong positive correlation between NT pro-BNP and NF-κB levels was observed post-treatment (rs = 0.644, p < 0.001), supporting ML's potential anti-inflammatory and cardioprotective effects.</p><p><strong>Conclusion: </strong>The incorporation of ML into AC led to a substantial decrease in cardiac biomarkers confirming the feasibility of incorporating ML in individuals with breast cancer as an auxiliary treatment to prevent DOX-induced cardiotoxicity. Trial registration ClinicalTrials.gov: NCT05959889.</p>\",\"PeriodicalId\":22046,\"journal\":{\"name\":\"Supportive Care in Cancer\",\"volume\":\"33 10\",\"pages\":\"897\"},\"PeriodicalIF\":3.0000,\"publicationDate\":\"2025-10-01\",\"publicationTypes\":\"Journal Article\",\"fieldsOfStudy\":null,\"isOpenAccess\":false,\"openAccessPdf\":\"https://www.ncbi.nlm.nih.gov/pmc/articles/PMC12488768/pdf/\",\"citationCount\":\"0\",\"resultStr\":null,\"platform\":\"Semanticscholar\",\"paperid\":null,\"PeriodicalName\":\"Supportive Care in Cancer\",\"FirstCategoryId\":\"3\",\"ListUrlMain\":\"https://doi.org/10.1007/s00520-025-09947-z\",\"RegionNum\":3,\"RegionCategory\":\"医学\",\"ArticlePicture\":[],\"TitleCN\":null,\"AbstractTextCN\":null,\"PMCID\":null,\"EPubDate\":\"\",\"PubModel\":\"\",\"JCR\":\"Q2\",\"JCRName\":\"HEALTH CARE SCIENCES & SERVICES\",\"Score\":null,\"Total\":0}","platform":"Semanticscholar","paperid":null,"PeriodicalName":"Supportive Care in Cancer","FirstCategoryId":"3","ListUrlMain":"https://doi.org/10.1007/s00520-025-09947-z","RegionNum":3,"RegionCategory":"医学","ArticlePicture":[],"TitleCN":null,"AbstractTextCN":null,"PMCID":null,"EPubDate":"","PubModel":"","JCR":"Q2","JCRName":"HEALTH CARE SCIENCES & SERVICES","Score":null,"Total":0}
引用次数: 0

摘要

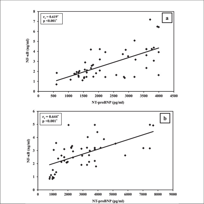
目的:多柔比星(DOX)是一种重要的蒽环类药物,用于治疗恶性肿瘤,但其心脏毒性限制了其治疗应用。本研究检测了孟鲁司特(ML)的潜在保护作用,孟鲁司特是一种具有抗炎特性的抗哮喘药物,对乳腺癌(BC)患者阿霉素诱导的心脏毒性(DIC)有保护作用。方法:一项前瞻性、随机、对照临床研究,包括50例确诊为BC的患者,这些患者计划接受DOX 60mg /m2联合环磷酰胺600mg /m2 (AC)治疗,每隔21天接受4个疗程。对照组和ML组均从患者池中随机抽取。结果:治疗后,与对照组相比,ML组n端前脑钠肽(NT Pro - bnp)水平显著降低(1756.0 [1054.0-2334.0]vs. 3788.0 [2226.0-4401.1] pg/ ML, p)。结论:ML掺入AC可导致心脏生物标志物显著降低,证实了将ML掺入乳腺癌个体作为辅助治疗预防dox诱导的心脏毒性的可行性。临床试验注册:nct005959889。
本文章由计算机程序翻译,如有差异,请以英文原文为准。

Evaluating the role of montelukast on doxorubicin-induced cardiotoxicity in breast cancer patients.

Evaluating the role of montelukast on doxorubicin-induced cardiotoxicity in breast cancer patients.

Evaluating the role of montelukast on doxorubicin-induced cardiotoxicity in breast cancer patients.

Evaluating the role of montelukast on doxorubicin-induced cardiotoxicity in breast cancer patients.

Purpose: Doxorubicin (DOX), a prominent anthracycline, is used to treat malignancies, but its cardiotoxicity restricts its therapeutic application. This study examined the potential protective effects of montelukast (ML), an anti-asthmatic drug with anti-inflammatory characteristics, against doxorubicin-induced cardiotoxicity (DIC) in breast cancer (BC) patients.

Method: A prospective, randomized, controlled clinical study including fifty individuals with a confirmed diagnosis of BC, individuals scheduled to receive DOX 60 mg/m2 in conjunction with Cyclophosphamide 600 mg/m2 (AC) for four courses at 21-day intervals. Both the control group and the ML group were randomly selected from the patient pool.

Results: After treatment, a significant reduction in N-terminal Pro Brain Natriuretic Peptide (NT pro-BNP) levels was observed in the ML group compared to the control group (1756.0 [1054.0-2334.0] vs. 3788.0 [2226.0-4401.1] pg/mL, p < 0.001). Nuclear factor-kappa B (NF-κB) levels also decreased significantly in the ML group (2.23 [1.18-3.05] vs. 3.11 [2.39-3.25] pg/mL, p = 0.009). The median percentage reduction in Soluble suppression of tumorigenicity 2 (sST2) levels was more pronounced in the ML group (20.93 ± 5.45 ng/mL) than in the control group (24.16 ± 5.14 ng/mL, p = 0.036). Additionally, a strong positive correlation between NT pro-BNP and NF-κB levels was observed post-treatment (rs = 0.644, p < 0.001), supporting ML's potential anti-inflammatory and cardioprotective effects.

Conclusion: The incorporation of ML into AC led to a substantial decrease in cardiac biomarkers confirming the feasibility of incorporating ML in individuals with breast cancer as an auxiliary treatment to prevent DOX-induced cardiotoxicity. Trial registration ClinicalTrials.gov: NCT05959889.

求助全文
通过发布文献求助,成功后即可免费获取论文全文。 去求助
来源期刊
Supportive Care in Cancer
Supportive Care in Cancer 医学-康复医学
CiteScore
5.70
自引率
9.70%
发文量
751
审稿时长
3 months
期刊介绍: Supportive Care in Cancer provides members of the Multinational Association of Supportive Care in Cancer (MASCC) and all other interested individuals, groups and institutions with the most recent scientific and social information on all aspects of supportive care in cancer patients. It covers primarily medical, technical and surgical topics concerning supportive therapy and care which may supplement or substitute basic cancer treatment at all stages of the disease. Nursing, rehabilitative, psychosocial and spiritual issues of support are also included.
×
引用
GB/T 7714-2015
复制
MLA
复制
APA
复制
导出至
BibTeX EndNote RefMan NoteFirst NoteExpress
×
提示
您的信息不完整,为了账户安全,请先补充。
现在去补充
×
提示
您因"违规操作"
具体请查看互助需知
我知道了
×
提示
确定
请完成安全验证×
copy
已复制链接
快去分享给好友吧!
我知道了
右上角分享
点击右上角分享
0
联系我们:info@booksci.cn Book学术提供免费学术资源搜索服务,方便国内外学者检索中英文文献。致力于提供最便捷和优质的服务体验。 Copyright © 2023 布克学术 All rights reserved.
京ICP备2023020795号-1
ghs 京公网安备 11010802042870号
Book学术文献互助
Book学术文献互助群
群 号:604180095
Book学术官方微信