帕金森病的视觉诱发电位和光学相干断层扫描的变化:系统回顾和荟萃分析。

IF 2.2 4区 医学 Q3 CLINICAL NEUROLOGY
Parkinson's Disease Pub Date : 2025-09-23 eCollection Date: 2025-01-01 DOI:10.1155/padi/2386302
Zahra Hemmatian, Javad Heravian Shandiz, Ali Shoeibi, Nasser Shoeibi, Reyhane Shariati, Batool Haghighi, Firozeh Fereydouni, Negareh Yazdani
{"title":"帕金森病的视觉诱发电位和光学相干断层扫描的变化:系统回顾和荟萃分析。","authors":"Zahra Hemmatian, Javad Heravian Shandiz, Ali Shoeibi, Nasser Shoeibi, Reyhane Shariati, Batool Haghighi, Firozeh Fereydouni, Negareh Yazdani","doi":"10.1155/padi/2386302","DOIUrl":null,"url":null,"abstract":"<p><p><b>Background:</b> Previous studies revealed that optical coherence tomography (OCT) and visual evoked potential (VEP) were impaired in patients with Parkinson's disease (PD), but the results were inconsistent; in this meta-analysis, we tried to answer this issue by including studies that performed these two tests on the same sample size. <b>Methods:</b> PubMed, Scopus, Cochrane, and Google Scholar were comprehensively reviewed to retrieve the published studies investigating changes in OCT and VEP responses in PD patients. We analyzed the pooled weighted difference in means between PD patients and healthy controls using the random-effects model. <b>Results:</b> Ten studies were included (12 sets of data), enrolling 337 PD patients and 273 healthy controls. The P100 latency in PD patients was significantly higher compared to healthy controls (difference in means = 6.16, 95% CI: 1.16-11.15, <i>p</i>=0.02, <i>n</i> = 11). Significant thinning of the retinal nerve fiber layer (difference in means = -4.38, 95% CI: -6.29 to -2.47, <i>p</i> ≤ 0.001, <i>n</i> = 11) was observed in the PD eyes compared to the healthy subjects. However, no statistically significant difference was found in the means of P100 amplitude (<i>p</i>=0.06) and the average central foveal thickness (<i>p</i>=0.08) between PD patients and the control group. There was a significant negative correlation between RNFL weighted mean difference and P100 latency (<i>r</i> = -0.65, <i>p</i> ≤ 0.001) in all subjects. <b>Conclusions:</b> Our results confirmed that Parkinson's patients showed significant thinning of RNFL thickness and prolonged P100 latency time.</p>","PeriodicalId":19907,"journal":{"name":"Parkinson's Disease","volume":"2025 ","pages":"2386302"},"PeriodicalIF":2.2000,"publicationDate":"2025-09-23","publicationTypes":"Journal Article","fieldsOfStudy":null,"isOpenAccess":false,"openAccessPdf":"https://www.ncbi.nlm.nih.gov/pmc/articles/PMC12483749/pdf/","citationCount":"0","resultStr":"{\"title\":\"Changes in Visual Evoked Potential and Optical Coherence Tomography in Parkinson's Disease: A Systematic Review and Meta-Analysis.\",\"authors\":\"Zahra Hemmatian, Javad Heravian Shandiz, Ali Shoeibi, Nasser Shoeibi, Reyhane Shariati, Batool Haghighi, Firozeh Fereydouni, Negareh Yazdani\",\"doi\":\"10.1155/padi/2386302\",\"DOIUrl\":null,\"url\":null,\"abstract\":\"<p><p><b>Background:</b> Previous studies revealed that optical coherence tomography (OCT) and visual evoked potential (VEP) were impaired in patients with Parkinson's disease (PD), but the results were inconsistent; in this meta-analysis, we tried to answer this issue by including studies that performed these two tests on the same sample size. <b>Methods:</b> PubMed, Scopus, Cochrane, and Google Scholar were comprehensively reviewed to retrieve the published studies investigating changes in OCT and VEP responses in PD patients. We analyzed the pooled weighted difference in means between PD patients and healthy controls using the random-effects model. <b>Results:</b> Ten studies were included (12 sets of data), enrolling 337 PD patients and 273 healthy controls. The P100 latency in PD patients was significantly higher compared to healthy controls (difference in means = 6.16, 95% CI: 1.16-11.15, <i>p</i>=0.02, <i>n</i> = 11). Significant thinning of the retinal nerve fiber layer (difference in means = -4.38, 95% CI: -6.29 to -2.47, <i>p</i> ≤ 0.001, <i>n</i> = 11) was observed in the PD eyes compared to the healthy subjects. However, no statistically significant difference was found in the means of P100 amplitude (<i>p</i>=0.06) and the average central foveal thickness (<i>p</i>=0.08) between PD patients and the control group. There was a significant negative correlation between RNFL weighted mean difference and P100 latency (<i>r</i> = -0.65, <i>p</i> ≤ 0.001) in all subjects. <b>Conclusions:</b> Our results confirmed that Parkinson's patients showed significant thinning of RNFL thickness and prolonged P100 latency time.</p>\",\"PeriodicalId\":19907,\"journal\":{\"name\":\"Parkinson's Disease\",\"volume\":\"2025 \",\"pages\":\"2386302\"},\"PeriodicalIF\":2.2000,\"publicationDate\":\"2025-09-23\",\"publicationTypes\":\"Journal Article\",\"fieldsOfStudy\":null,\"isOpenAccess\":false,\"openAccessPdf\":\"https://www.ncbi.nlm.nih.gov/pmc/articles/PMC12483749/pdf/\",\"citationCount\":\"0\",\"resultStr\":null,\"platform\":\"Semanticscholar\",\"paperid\":null,\"PeriodicalName\":\"Parkinson's Disease\",\"FirstCategoryId\":\"3\",\"ListUrlMain\":\"https://doi.org/10.1155/padi/2386302\",\"RegionNum\":4,\"RegionCategory\":\"医学\",\"ArticlePicture\":[],\"TitleCN\":null,\"AbstractTextCN\":null,\"PMCID\":null,\"EPubDate\":\"2025/1/1 0:00:00\",\"PubModel\":\"eCollection\",\"JCR\":\"Q3\",\"JCRName\":\"CLINICAL NEUROLOGY\",\"Score\":null,\"Total\":0}","platform":"Semanticscholar","paperid":null,"PeriodicalName":"Parkinson's Disease","FirstCategoryId":"3","ListUrlMain":"https://doi.org/10.1155/padi/2386302","RegionNum":4,"RegionCategory":"医学","ArticlePicture":[],"TitleCN":null,"AbstractTextCN":null,"PMCID":null,"EPubDate":"2025/1/1 0:00:00","PubModel":"eCollection","JCR":"Q3","JCRName":"CLINICAL NEUROLOGY","Score":null,"Total":0}
引用次数: 0

摘要

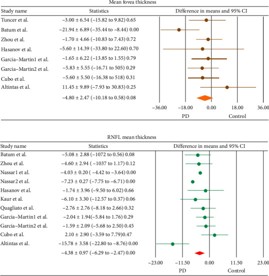
背景:以往的研究表明,帕金森病(PD)患者的光学相干断层扫描(OCT)和视觉诱发电位(VEP)受损,但结果不一致;在这个荟萃分析中,我们试图通过在相同的样本量上进行这两种测试来回答这个问题。方法:综合检索PubMed、Scopus、Cochrane和谷歌Scholar,检索已发表的关于PD患者OCT和VEP反应变化的研究。我们使用随机效应模型分析PD患者和健康对照之间的加权平均差异。结果:纳入10项研究(12组数据),纳入337例PD患者和273例健康对照。PD患者的P100潜伏期显著高于健康对照组(mean difference = 6.16, 95% CI: 1.16-11.15, p=0.02, n = 11)。与健康受试者相比,PD组视网膜神经纤维层明显变薄(平均值差= -4.38,95% CI: -6.29至-2.47,p≤0.001,n = 11)。PD患者与对照组P100振幅均值(p=0.06)、中央凹厚度均值(p=0.08)差异无统计学意义。所有受试者的RNFL加权平均差与P100潜伏期呈显著负相关(r = -0.65, p≤0.001)。结论:我们的研究结果证实,帕金森病患者的RNFL厚度明显变薄,P100潜伏期延长。
本文章由计算机程序翻译,如有差异,请以英文原文为准。

Changes in Visual Evoked Potential and Optical Coherence Tomography in Parkinson's Disease: A Systematic Review and Meta-Analysis.

Changes in Visual Evoked Potential and Optical Coherence Tomography in Parkinson's Disease: A Systematic Review and Meta-Analysis.

Changes in Visual Evoked Potential and Optical Coherence Tomography in Parkinson's Disease: A Systematic Review and Meta-Analysis.

Changes in Visual Evoked Potential and Optical Coherence Tomography in Parkinson's Disease: A Systematic Review and Meta-Analysis.

Background: Previous studies revealed that optical coherence tomography (OCT) and visual evoked potential (VEP) were impaired in patients with Parkinson's disease (PD), but the results were inconsistent; in this meta-analysis, we tried to answer this issue by including studies that performed these two tests on the same sample size. Methods: PubMed, Scopus, Cochrane, and Google Scholar were comprehensively reviewed to retrieve the published studies investigating changes in OCT and VEP responses in PD patients. We analyzed the pooled weighted difference in means between PD patients and healthy controls using the random-effects model. Results: Ten studies were included (12 sets of data), enrolling 337 PD patients and 273 healthy controls. The P100 latency in PD patients was significantly higher compared to healthy controls (difference in means = 6.16, 95% CI: 1.16-11.15, p=0.02, n = 11). Significant thinning of the retinal nerve fiber layer (difference in means = -4.38, 95% CI: -6.29 to -2.47, p ≤ 0.001, n = 11) was observed in the PD eyes compared to the healthy subjects. However, no statistically significant difference was found in the means of P100 amplitude (p=0.06) and the average central foveal thickness (p=0.08) between PD patients and the control group. There was a significant negative correlation between RNFL weighted mean difference and P100 latency (r = -0.65, p ≤ 0.001) in all subjects. Conclusions: Our results confirmed that Parkinson's patients showed significant thinning of RNFL thickness and prolonged P100 latency time.

求助全文
通过发布文献求助,成功后即可免费获取论文全文。 去求助
来源期刊
Parkinson's Disease
Parkinson's Disease CLINICAL NEUROLOGY-
CiteScore
5.80
自引率
3.10%
发文量
0
审稿时长
18 weeks
期刊介绍: Parkinson’s Disease is a peer-reviewed, Open Access journal that publishes original research articles, review articles, and clinical studies related to the epidemiology, etiology, pathogenesis, genetics, cellular, molecular and neurophysiology, as well as the diagnosis and treatment of Parkinson’s disease.
×
引用
GB/T 7714-2015
复制
MLA
复制
APA
复制
导出至
BibTeX EndNote RefMan NoteFirst NoteExpress
×
提示
您的信息不完整,为了账户安全,请先补充。
现在去补充
×
提示
您因"违规操作"
具体请查看互助需知
我知道了
×
提示
确定
请完成安全验证×
copy
已复制链接
快去分享给好友吧!
我知道了
右上角分享
点击右上角分享
0
联系我们:info@booksci.cn Book学术提供免费学术资源搜索服务,方便国内外学者检索中英文文献。致力于提供最便捷和优质的服务体验。 Copyright © 2023 布克学术 All rights reserved.
京ICP备2023020795号-1
ghs 京公网安备 11010802042870号
Book学术文献互助
Book学术文献互助群
群 号:604180095
Book学术官方微信