中性粒细胞-淋巴细胞比值和血小板-淋巴细胞比值对急诊剖宫产术后手术部位感染的联合预测价值:一项回顾性病例对照研究。

IF 1.6 4区 医学 Q2 SURGERY
Frontiers in Surgery Pub Date : 2025-09-16 eCollection Date: 2025-01-01 DOI:10.3389/fsurg.2025.1670583
Xuemei Yang, Weina Yang, Qianqian He, Xiuqing Zhou, Qianwen Liu, Haiying Li
{"title":"中性粒细胞-淋巴细胞比值和血小板-淋巴细胞比值对急诊剖宫产术后手术部位感染的联合预测价值:一项回顾性病例对照研究。","authors":"Xuemei Yang, Weina Yang, Qianqian He, Xiuqing Zhou, Qianwen Liu, Haiying Li","doi":"10.3389/fsurg.2025.1670583","DOIUrl":null,"url":null,"abstract":"<p><strong>Objective: </strong>This study aims to evaluate the predictive value of neutrophil-to-lymphocyte ratio (NLR) and platelet-to-lymphocyte ratio (PLR) independently and in combination for surgical site infection (SSI) after emergency cesarean section (CS).</p><p><strong>Method: </strong>This retrospective case-control study was conducted at the Maternity Medical Centre in China, a large tertiary teaching medical centre, between January 2019 and February 2022. A total of 627 patients with emergency CS were enrolled, and cases (post-SSI) and controls (without post-SSI) were matched 1:2. Various demographic, clinical and obstetric characteristics were collected. Laboratory values were measured on preoperative and postoperative days 1, 3. Univariate and multivariate logistic regression analyses were conducted to identify the influencing factors. The predictive values of NLR and PLR independently and in combination for SSI were evaluated using receiver operating characteristics (ROC) analysis.</p><p><strong>Result: </strong>In the univariate analysis, the BMI before delivery, preoperative NLR and PLR, and postoperative day 1 NLR and PLR et al. were significantly different between the two groups (<i>P</i> < 0.05). In multivariate analysis, BMI before delivery > 28.89 kg/m<sup>2</sup>, preoperative NLR > 9.89 and PLR > 177.99 appeared to be independent predictors of SSI after emergency CS. Combined indices of BMI before delivery, NLR and PLR were significantly more predictive of SSI after emergency CS than independent indices (AUC 0.85, <i>P</i> < 0.001, 95% CI 0.757-0.912, sensitivity 79.1%, and specificity 88.5%).</p><p><strong>Conlusion: </strong>The combined index of BMI before delivery, preoperative NLR and PLR may be a simple, sensitive, inexpensive, versatile, and rapid test for predicting SSI after emergency CS. Of course, further prospective research and external verification will be more scientific and also our future work focus.</p>","PeriodicalId":12564,"journal":{"name":"Frontiers in Surgery","volume":"12 ","pages":"1670583"},"PeriodicalIF":1.6000,"publicationDate":"2025-09-16","publicationTypes":"Journal Article","fieldsOfStudy":null,"isOpenAccess":false,"openAccessPdf":"https://www.ncbi.nlm.nih.gov/pmc/articles/PMC12479398/pdf/","citationCount":"0","resultStr":"{\"title\":\"Combined predictive values of neutrophil-lymphocyte ratio and platelet-lymphocyte ratio for surgical site infection after emergency cesarean section: a retrospective case-control study.\",\"authors\":\"Xuemei Yang, Weina Yang, Qianqian He, Xiuqing Zhou, Qianwen Liu, Haiying Li\",\"doi\":\"10.3389/fsurg.2025.1670583\",\"DOIUrl\":null,\"url\":null,\"abstract\":\"<p><strong>Objective: </strong>This study aims to evaluate the predictive value of neutrophil-to-lymphocyte ratio (NLR) and platelet-to-lymphocyte ratio (PLR) independently and in combination for surgical site infection (SSI) after emergency cesarean section (CS).</p><p><strong>Method: </strong>This retrospective case-control study was conducted at the Maternity Medical Centre in China, a large tertiary teaching medical centre, between January 2019 and February 2022. A total of 627 patients with emergency CS were enrolled, and cases (post-SSI) and controls (without post-SSI) were matched 1:2. Various demographic, clinical and obstetric characteristics were collected. Laboratory values were measured on preoperative and postoperative days 1, 3. Univariate and multivariate logistic regression analyses were conducted to identify the influencing factors. The predictive values of NLR and PLR independently and in combination for SSI were evaluated using receiver operating characteristics (ROC) analysis.</p><p><strong>Result: </strong>In the univariate analysis, the BMI before delivery, preoperative NLR and PLR, and postoperative day 1 NLR and PLR et al. were significantly different between the two groups (<i>P</i> < 0.05). In multivariate analysis, BMI before delivery > 28.89 kg/m<sup>2</sup>, preoperative NLR > 9.89 and PLR > 177.99 appeared to be independent predictors of SSI after emergency CS. Combined indices of BMI before delivery, NLR and PLR were significantly more predictive of SSI after emergency CS than independent indices (AUC 0.85, <i>P</i> < 0.001, 95% CI 0.757-0.912, sensitivity 79.1%, and specificity 88.5%).</p><p><strong>Conlusion: </strong>The combined index of BMI before delivery, preoperative NLR and PLR may be a simple, sensitive, inexpensive, versatile, and rapid test for predicting SSI after emergency CS. Of course, further prospective research and external verification will be more scientific and also our future work focus.</p>\",\"PeriodicalId\":12564,\"journal\":{\"name\":\"Frontiers in Surgery\",\"volume\":\"12 \",\"pages\":\"1670583\"},\"PeriodicalIF\":1.6000,\"publicationDate\":\"2025-09-16\",\"publicationTypes\":\"Journal Article\",\"fieldsOfStudy\":null,\"isOpenAccess\":false,\"openAccessPdf\":\"https://www.ncbi.nlm.nih.gov/pmc/articles/PMC12479398/pdf/\",\"citationCount\":\"0\",\"resultStr\":null,\"platform\":\"Semanticscholar\",\"paperid\":null,\"PeriodicalName\":\"Frontiers in Surgery\",\"FirstCategoryId\":\"3\",\"ListUrlMain\":\"https://doi.org/10.3389/fsurg.2025.1670583\",\"RegionNum\":4,\"RegionCategory\":\"医学\",\"ArticlePicture\":[],\"TitleCN\":null,\"AbstractTextCN\":null,\"PMCID\":null,\"EPubDate\":\"2025/1/1 0:00:00\",\"PubModel\":\"eCollection\",\"JCR\":\"Q2\",\"JCRName\":\"SURGERY\",\"Score\":null,\"Total\":0}","platform":"Semanticscholar","paperid":null,"PeriodicalName":"Frontiers in Surgery","FirstCategoryId":"3","ListUrlMain":"https://doi.org/10.3389/fsurg.2025.1670583","RegionNum":4,"RegionCategory":"医学","ArticlePicture":[],"TitleCN":null,"AbstractTextCN":null,"PMCID":null,"EPubDate":"2025/1/1 0:00:00","PubModel":"eCollection","JCR":"Q2","JCRName":"SURGERY","Score":null,"Total":0}
引用次数: 0

摘要

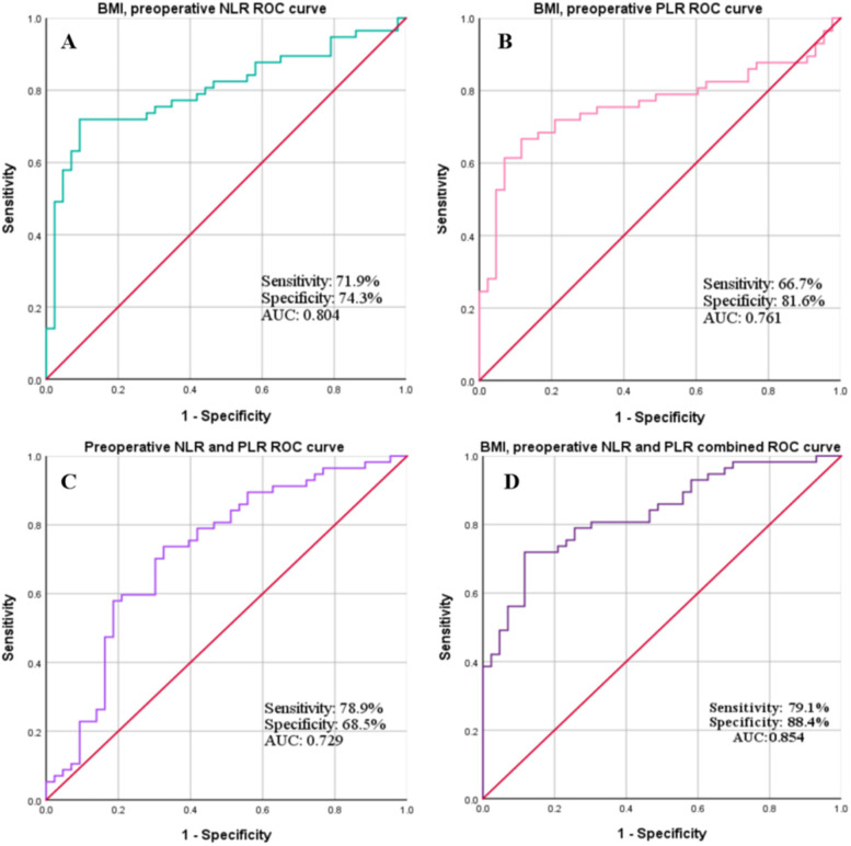
目的:本研究旨在评价中性粒细胞与淋巴细胞比值(NLR)和血小板与淋巴细胞比值(PLR)单独及联合对急诊剖宫产(CS)术后手术部位感染(SSI)的预测价值。方法:本回顾性病例对照研究于2019年1月至2022年2月在中国大型高等教育医学中心妇产医学中心进行。共有627例急诊CS患者入组,病例(ssi后)和对照组(未ssi后)按1:2匹配。收集了各种人口统计学、临床和产科特征。于术前、术后第1、3天测定实验室值。采用单因素和多因素logistic回归分析确定影响因素。采用受试者工作特征(ROC)分析评估NLR和PLR单独或联合对SSI的预测价值。结果:在单因素分析中,两组分娩前BMI、术前NLR和PLR、术后第1天NLR和PLR等差异有统计学意义(P < 28.89 kg/m2),术前NLR > 9.89和PLR > 177.99似乎是紧急CS后SSI的独立预测因子。分娩前BMI、NLR、PLR联合指标对急性颈椎病术后SSI的预测效果明显优于独立指标(AUC 0.85, P)。结论:分娩前BMI、术前NLR、PLR联合指标预测急性颈椎病术后SSI可能是一种简单、灵敏、廉价、通用、快速的方法。当然,进一步的前瞻性研究和外部验证将更加科学,也是我们未来的工作重点。
本文章由计算机程序翻译,如有差异,请以英文原文为准。

Combined predictive values of neutrophil-lymphocyte ratio and platelet-lymphocyte ratio for surgical site infection after emergency cesarean section: a retrospective case-control study.

Combined predictive values of neutrophil-lymphocyte ratio and platelet-lymphocyte ratio for surgical site infection after emergency cesarean section: a retrospective case-control study.

Combined predictive values of neutrophil-lymphocyte ratio and platelet-lymphocyte ratio for surgical site infection after emergency cesarean section: a retrospective case-control study.

Objective: This study aims to evaluate the predictive value of neutrophil-to-lymphocyte ratio (NLR) and platelet-to-lymphocyte ratio (PLR) independently and in combination for surgical site infection (SSI) after emergency cesarean section (CS).

Method: This retrospective case-control study was conducted at the Maternity Medical Centre in China, a large tertiary teaching medical centre, between January 2019 and February 2022. A total of 627 patients with emergency CS were enrolled, and cases (post-SSI) and controls (without post-SSI) were matched 1:2. Various demographic, clinical and obstetric characteristics were collected. Laboratory values were measured on preoperative and postoperative days 1, 3. Univariate and multivariate logistic regression analyses were conducted to identify the influencing factors. The predictive values of NLR and PLR independently and in combination for SSI were evaluated using receiver operating characteristics (ROC) analysis.

Result: In the univariate analysis, the BMI before delivery, preoperative NLR and PLR, and postoperative day 1 NLR and PLR et al. were significantly different between the two groups (P < 0.05). In multivariate analysis, BMI before delivery > 28.89 kg/m2, preoperative NLR > 9.89 and PLR > 177.99 appeared to be independent predictors of SSI after emergency CS. Combined indices of BMI before delivery, NLR and PLR were significantly more predictive of SSI after emergency CS than independent indices (AUC 0.85, P < 0.001, 95% CI 0.757-0.912, sensitivity 79.1%, and specificity 88.5%).

Conlusion: The combined index of BMI before delivery, preoperative NLR and PLR may be a simple, sensitive, inexpensive, versatile, and rapid test for predicting SSI after emergency CS. Of course, further prospective research and external verification will be more scientific and also our future work focus.

求助全文
通过发布文献求助,成功后即可免费获取论文全文。 去求助
来源期刊
Frontiers in Surgery
Frontiers in Surgery Medicine-Surgery
CiteScore
1.90
自引率
11.10%
发文量
1872
审稿时长
12 weeks
期刊介绍: Evidence of surgical interventions go back to prehistoric times. Since then, the field of surgery has developed into a complex array of specialties and procedures, particularly with the advent of microsurgery, lasers and minimally invasive techniques. The advanced skills now required from surgeons has led to ever increasing specialization, though these still share important fundamental principles. Frontiers in Surgery is the umbrella journal representing the publication interests of all surgical specialties. It is divided into several “Specialty Sections” listed below. All these sections have their own Specialty Chief Editor, Editorial Board and homepage, but all articles carry the citation Frontiers in Surgery. Frontiers in Surgery calls upon medical professionals and scientists from all surgical specialties to publish their experimental and clinical studies in this journal. By assembling all surgical specialties, which nonetheless retain their independence, under the common umbrella of Frontiers in Surgery, a powerful publication venue is created. Since there is often overlap and common ground between the different surgical specialties, assembly of all surgical disciplines into a single journal will foster a collaborative dialogue amongst the surgical community. This means that publications, which are also of interest to other surgical specialties, will reach a wider audience and have greater impact. The aim of this multidisciplinary journal is to create a discussion and knowledge platform of advances and research findings in surgical practice today to continuously improve clinical management of patients and foster innovation in this field.
×
引用
GB/T 7714-2015
复制
MLA
复制
APA
复制
导出至
BibTeX EndNote RefMan NoteFirst NoteExpress
×
提示
您的信息不完整,为了账户安全,请先补充。
现在去补充
×
提示
您因"违规操作"
具体请查看互助需知
我知道了
×
提示
确定
请完成安全验证×
copy
已复制链接
快去分享给好友吧!
我知道了
右上角分享
点击右上角分享
0
联系我们:info@booksci.cn Book学术提供免费学术资源搜索服务,方便国内外学者检索中英文文献。致力于提供最便捷和优质的服务体验。 Copyright © 2023 布克学术 All rights reserved.
京ICP备2023020795号-1
ghs 京公网安备 11010802042870号
Book学术文献互助
Book学术文献互助群
群 号:604180095
Book学术官方微信