RSA-TransUNet:用于增强道路裂缝分割的鲁棒结构自适应TransUNet。

IF 2.8 4区 计算机科学 Q3 COMPUTER SCIENCE, ARTIFICIAL INTELLIGENCE
Frontiers in Neurorobotics Pub Date : 2025-09-16 eCollection Date: 2025-01-01 DOI:10.3389/fnbot.2025.1633697
Liling Hou, Fei Yu, Yaowen Hu, Yang Hu, Ruoli Yang
{"title":"RSA-TransUNet:用于增强道路裂缝分割的鲁棒结构自适应TransUNet。","authors":"Liling Hou, Fei Yu, Yaowen Hu, Yang Hu, Ruoli Yang","doi":"10.3389/fnbot.2025.1633697","DOIUrl":null,"url":null,"abstract":"<p><p>With the advancement of deep learning, road crack segmentation has become increasingly crucial for intelligent transportation safety. Despite notable progress, existing methods still face challenges in capturing fine-grained textures in small crack regions, handling blurred edges and significant width variations, and performing multi-class segmentation. Moreover, the high computational cost of training such models hinders their practical deployment. To tackle these limitations, we propose RSA-TransUNet, a novel model for road crack segmentation. At its core is the Axial-shift MLP Attention (ASMA) mechanism, which integrates axial perception with sparse contextual modeling. Through multi-path axial perturbations and an attention-guided structure, ASMA effectively captures long-range dependencies within row-column patterns, enabling detailed modeling of multi-scale crack features. To improve the model's adaptability to structural irregularities, we introduce the Adaptive Spline Linear Unit (ASLU), which enhances the model's capacity to represent nonlinear transformations. ASLU improves responsiveness to microstructural variations, morphological distortions, and local discontinuities, thereby boosting robustness across different domains. We further develop a Structure-aware Multi-stage Evolutionary Optimization (SMEO) strategy, which guides the training process through three phases: structural perception exploration, feature stability enhancement, and global perturbation. This strategy combines breadth sampling, convergence compression, and local escape mechanisms to improve convergence speed, global search efficiency, and generalization performance. Extensive evaluations on the Crack500, CFD, and DeepCrack datasets-including ablation studies and comparative experiments-demonstrate that RSA-TransUNet achieves superior segmentation accuracy and robustness in complex road environments, highlighting its potential for real-world applications.</p>","PeriodicalId":12628,"journal":{"name":"Frontiers in Neurorobotics","volume":"19 ","pages":"1633697"},"PeriodicalIF":2.8000,"publicationDate":"2025-09-16","publicationTypes":"Journal Article","fieldsOfStudy":null,"isOpenAccess":false,"openAccessPdf":"https://www.ncbi.nlm.nih.gov/pmc/articles/PMC12479514/pdf/","citationCount":"0","resultStr":"{\"title\":\"RSA-TransUNet: a robust structure-adaptive TransUNet for enhanced road crack segmentation.\",\"authors\":\"Liling Hou, Fei Yu, Yaowen Hu, Yang Hu, Ruoli Yang\",\"doi\":\"10.3389/fnbot.2025.1633697\",\"DOIUrl\":null,\"url\":null,\"abstract\":\"<p><p>With the advancement of deep learning, road crack segmentation has become increasingly crucial for intelligent transportation safety. Despite notable progress, existing methods still face challenges in capturing fine-grained textures in small crack regions, handling blurred edges and significant width variations, and performing multi-class segmentation. Moreover, the high computational cost of training such models hinders their practical deployment. To tackle these limitations, we propose RSA-TransUNet, a novel model for road crack segmentation. At its core is the Axial-shift MLP Attention (ASMA) mechanism, which integrates axial perception with sparse contextual modeling. Through multi-path axial perturbations and an attention-guided structure, ASMA effectively captures long-range dependencies within row-column patterns, enabling detailed modeling of multi-scale crack features. To improve the model's adaptability to structural irregularities, we introduce the Adaptive Spline Linear Unit (ASLU), which enhances the model's capacity to represent nonlinear transformations. ASLU improves responsiveness to microstructural variations, morphological distortions, and local discontinuities, thereby boosting robustness across different domains. We further develop a Structure-aware Multi-stage Evolutionary Optimization (SMEO) strategy, which guides the training process through three phases: structural perception exploration, feature stability enhancement, and global perturbation. This strategy combines breadth sampling, convergence compression, and local escape mechanisms to improve convergence speed, global search efficiency, and generalization performance. Extensive evaluations on the Crack500, CFD, and DeepCrack datasets-including ablation studies and comparative experiments-demonstrate that RSA-TransUNet achieves superior segmentation accuracy and robustness in complex road environments, highlighting its potential for real-world applications.</p>\",\"PeriodicalId\":12628,\"journal\":{\"name\":\"Frontiers in Neurorobotics\",\"volume\":\"19 \",\"pages\":\"1633697\"},\"PeriodicalIF\":2.8000,\"publicationDate\":\"2025-09-16\",\"publicationTypes\":\"Journal Article\",\"fieldsOfStudy\":null,\"isOpenAccess\":false,\"openAccessPdf\":\"https://www.ncbi.nlm.nih.gov/pmc/articles/PMC12479514/pdf/\",\"citationCount\":\"0\",\"resultStr\":null,\"platform\":\"Semanticscholar\",\"paperid\":null,\"PeriodicalName\":\"Frontiers in Neurorobotics\",\"FirstCategoryId\":\"94\",\"ListUrlMain\":\"https://doi.org/10.3389/fnbot.2025.1633697\",\"RegionNum\":4,\"RegionCategory\":\"计算机科学\",\"ArticlePicture\":[],\"TitleCN\":null,\"AbstractTextCN\":null,\"PMCID\":null,\"EPubDate\":\"2025/1/1 0:00:00\",\"PubModel\":\"eCollection\",\"JCR\":\"Q3\",\"JCRName\":\"COMPUTER SCIENCE, ARTIFICIAL INTELLIGENCE\",\"Score\":null,\"Total\":0}","platform":"Semanticscholar","paperid":null,"PeriodicalName":"Frontiers in Neurorobotics","FirstCategoryId":"94","ListUrlMain":"https://doi.org/10.3389/fnbot.2025.1633697","RegionNum":4,"RegionCategory":"计算机科学","ArticlePicture":[],"TitleCN":null,"AbstractTextCN":null,"PMCID":null,"EPubDate":"2025/1/1 0:00:00","PubModel":"eCollection","JCR":"Q3","JCRName":"COMPUTER SCIENCE, ARTIFICIAL INTELLIGENCE","Score":null,"Total":0}
引用次数: 0

摘要

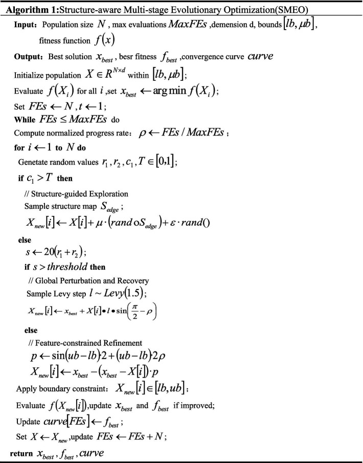
随着深度学习技术的发展,道路裂缝分割对智能交通安全的重要性日益凸显。尽管取得了显著进展,但现有方法在小裂纹区域的细粒度纹理捕获、边缘模糊和显著宽度变化的处理以及多类分割等方面仍面临挑战。此外,训练这些模型的高计算成本阻碍了它们的实际部署。为了解决这些限制,我们提出了一种新的道路裂缝分割模型RSA-TransUNet。其核心是轴向转移MLP注意(ASMA)机制,该机制将轴向感知与稀疏上下文建模相结合。通过多路径轴向扰动和注意力引导结构,ASMA有效地捕获了行-列模式中的远程依赖关系,从而实现了多尺度裂缝特征的详细建模。为了提高模型对结构不规则性的适应性,我们引入了自适应样条线性单元(ASLU),增强了模型表示非线性变换的能力。ASLU提高了对微观结构变化、形态扭曲和局部不连续性的响应能力,从而增强了跨不同领域的鲁棒性。我们进一步开发了一种结构感知的多阶段进化优化(SMEO)策略,该策略指导训练过程通过三个阶段:结构感知探索、特征稳定性增强和全局扰动。该策略结合了广度采样、收敛压缩和局部逃避机制,提高了收敛速度、全局搜索效率和泛化性能。对Crack500、CFD和DeepCrack数据集(包括消融研究和比较实验)的广泛评估表明,RSA-TransUNet在复杂的道路环境中实现了卓越的分割精度和鲁棒性,突出了其在实际应用中的潜力。
本文章由计算机程序翻译,如有差异,请以英文原文为准。

RSA-TransUNet: a robust structure-adaptive TransUNet for enhanced road crack segmentation.

RSA-TransUNet: a robust structure-adaptive TransUNet for enhanced road crack segmentation.

RSA-TransUNet: a robust structure-adaptive TransUNet for enhanced road crack segmentation.

RSA-TransUNet: a robust structure-adaptive TransUNet for enhanced road crack segmentation.

With the advancement of deep learning, road crack segmentation has become increasingly crucial for intelligent transportation safety. Despite notable progress, existing methods still face challenges in capturing fine-grained textures in small crack regions, handling blurred edges and significant width variations, and performing multi-class segmentation. Moreover, the high computational cost of training such models hinders their practical deployment. To tackle these limitations, we propose RSA-TransUNet, a novel model for road crack segmentation. At its core is the Axial-shift MLP Attention (ASMA) mechanism, which integrates axial perception with sparse contextual modeling. Through multi-path axial perturbations and an attention-guided structure, ASMA effectively captures long-range dependencies within row-column patterns, enabling detailed modeling of multi-scale crack features. To improve the model's adaptability to structural irregularities, we introduce the Adaptive Spline Linear Unit (ASLU), which enhances the model's capacity to represent nonlinear transformations. ASLU improves responsiveness to microstructural variations, morphological distortions, and local discontinuities, thereby boosting robustness across different domains. We further develop a Structure-aware Multi-stage Evolutionary Optimization (SMEO) strategy, which guides the training process through three phases: structural perception exploration, feature stability enhancement, and global perturbation. This strategy combines breadth sampling, convergence compression, and local escape mechanisms to improve convergence speed, global search efficiency, and generalization performance. Extensive evaluations on the Crack500, CFD, and DeepCrack datasets-including ablation studies and comparative experiments-demonstrate that RSA-TransUNet achieves superior segmentation accuracy and robustness in complex road environments, highlighting its potential for real-world applications.

求助全文
通过发布文献求助,成功后即可免费获取论文全文。 去求助
来源期刊
Frontiers in Neurorobotics
Frontiers in Neurorobotics COMPUTER SCIENCE, ARTIFICIAL INTELLIGENCER-ROBOTICS
CiteScore
5.20
自引率
6.50%
发文量
250
审稿时长
14 weeks
期刊介绍: Frontiers in Neurorobotics publishes rigorously peer-reviewed research in the science and technology of embodied autonomous neural systems. Specialty Chief Editors Alois C. Knoll and Florian Röhrbein at the Technische Universität München are supported by an outstanding Editorial Board of international experts. This multidisciplinary open-access journal is at the forefront of disseminating and communicating scientific knowledge and impactful discoveries to researchers, academics and the public worldwide. Neural systems include brain-inspired algorithms (e.g. connectionist networks), computational models of biological neural networks (e.g. artificial spiking neural nets, large-scale simulations of neural microcircuits) and actual biological systems (e.g. in vivo and in vitro neural nets). The focus of the journal is the embodiment of such neural systems in artificial software and hardware devices, machines, robots or any other form of physical actuation. This also includes prosthetic devices, brain machine interfaces, wearable systems, micro-machines, furniture, home appliances, as well as systems for managing micro and macro infrastructures. Frontiers in Neurorobotics also aims to publish radically new tools and methods to study plasticity and development of autonomous self-learning systems that are capable of acquiring knowledge in an open-ended manner. Models complemented with experimental studies revealing self-organizing principles of embodied neural systems are welcome. Our journal also publishes on the micro and macro engineering and mechatronics of robotic devices driven by neural systems, as well as studies on the impact that such systems will have on our daily life.
×
引用
GB/T 7714-2015
复制
MLA
复制
APA
复制
导出至
BibTeX EndNote RefMan NoteFirst NoteExpress
×
提示
您的信息不完整,为了账户安全,请先补充。
现在去补充
×
提示
您因"违规操作"
具体请查看互助需知
我知道了
×
提示
确定
请完成安全验证×
copy
已复制链接
快去分享给好友吧!
我知道了
右上角分享
点击右上角分享
0
联系我们:info@booksci.cn Book学术提供免费学术资源搜索服务,方便国内外学者检索中英文文献。致力于提供最便捷和优质的服务体验。 Copyright © 2023 布克学术 All rights reserved.
京ICP备2023020795号-1
ghs 京公网安备 11010802042870号
Book学术文献互助
Book学术文献互助群
群 号:604180095
Book学术官方微信