改善微波预处理与离心污泥厌氧消化之间的能量平衡。

IF 5.1 3区 生物学 Q1 BIOTECHNOLOGY & APPLIED MICROBIOLOGY
Sukru Aslan, Ali Alhraishawi
{"title":"改善微波预处理与离心污泥厌氧消化之间的能量平衡。","authors":"Sukru Aslan, Ali Alhraishawi","doi":"10.1186/s40643-025-00903-7","DOIUrl":null,"url":null,"abstract":"<p><p>The effect of pretreatment of raw biosludge (Bs) and centrifuged Bs (CBs) with microwave (MW) operated at constant conditions before an anaerobic digestion (AD) process on the energy requirement and production of hybrid system was investigated. With the successful breakdown of Bs and CBs by the MW irradiation, the soluble COD concentrations increased from average value of about 76 mg/L to 300 mg/L and 6400 mg/L for the Bs and CBs, respectively. After the MW disintegration, the protein and sugar concentrations were about 10 and 22 times higher in the pretreated samples compared to the biosludges. While, the total and volatile solids (TS and VS) concentrations in the liquor declined. The increase of readily bioavailable organics in pretreated samples improved about 22% CH<sub>4</sub> production in AD units, compared to the raw Bs and CBs. It was determined that the energy requirement of MW irradiation decreased about 3 times with the centrifugation of Bs. Although the applied whole models were well correlation, the kinetic analysis showed that Transference Function was the best model with the highest correlation coefficient (R<sup>2</sup> between 0.953 and 0.998) for predicting the most accurately CH<sub>4</sub> production. The nutrients concentrations in effluent of AD process was significantly higher than the liquors obtained after the MW irradiation was observed.</p>","PeriodicalId":9067,"journal":{"name":"Bioresources and Bioprocessing","volume":"12 1","pages":"109"},"PeriodicalIF":5.1000,"publicationDate":"2025-10-02","publicationTypes":"Journal Article","fieldsOfStudy":null,"isOpenAccess":false,"openAccessPdf":"https://www.ncbi.nlm.nih.gov/pmc/articles/PMC12491126/pdf/","citationCount":"0","resultStr":"{\"title\":\"Improving the energy balance between microwave pretreatment and anaerobic digestion with centrifuged biosludge.\",\"authors\":\"Sukru Aslan, Ali Alhraishawi\",\"doi\":\"10.1186/s40643-025-00903-7\",\"DOIUrl\":null,\"url\":null,\"abstract\":\"<p><p>The effect of pretreatment of raw biosludge (Bs) and centrifuged Bs (CBs) with microwave (MW) operated at constant conditions before an anaerobic digestion (AD) process on the energy requirement and production of hybrid system was investigated. With the successful breakdown of Bs and CBs by the MW irradiation, the soluble COD concentrations increased from average value of about 76 mg/L to 300 mg/L and 6400 mg/L for the Bs and CBs, respectively. After the MW disintegration, the protein and sugar concentrations were about 10 and 22 times higher in the pretreated samples compared to the biosludges. While, the total and volatile solids (TS and VS) concentrations in the liquor declined. The increase of readily bioavailable organics in pretreated samples improved about 22% CH<sub>4</sub> production in AD units, compared to the raw Bs and CBs. It was determined that the energy requirement of MW irradiation decreased about 3 times with the centrifugation of Bs. Although the applied whole models were well correlation, the kinetic analysis showed that Transference Function was the best model with the highest correlation coefficient (R<sup>2</sup> between 0.953 and 0.998) for predicting the most accurately CH<sub>4</sub> production. The nutrients concentrations in effluent of AD process was significantly higher than the liquors obtained after the MW irradiation was observed.</p>\",\"PeriodicalId\":9067,\"journal\":{\"name\":\"Bioresources and Bioprocessing\",\"volume\":\"12 1\",\"pages\":\"109\"},\"PeriodicalIF\":5.1000,\"publicationDate\":\"2025-10-02\",\"publicationTypes\":\"Journal Article\",\"fieldsOfStudy\":null,\"isOpenAccess\":false,\"openAccessPdf\":\"https://www.ncbi.nlm.nih.gov/pmc/articles/PMC12491126/pdf/\",\"citationCount\":\"0\",\"resultStr\":null,\"platform\":\"Semanticscholar\",\"paperid\":null,\"PeriodicalName\":\"Bioresources and Bioprocessing\",\"FirstCategoryId\":\"5\",\"ListUrlMain\":\"https://doi.org/10.1186/s40643-025-00903-7\",\"RegionNum\":3,\"RegionCategory\":\"生物学\",\"ArticlePicture\":[],\"TitleCN\":null,\"AbstractTextCN\":null,\"PMCID\":null,\"EPubDate\":\"\",\"PubModel\":\"\",\"JCR\":\"Q1\",\"JCRName\":\"BIOTECHNOLOGY & APPLIED MICROBIOLOGY\",\"Score\":null,\"Total\":0}","platform":"Semanticscholar","paperid":null,"PeriodicalName":"Bioresources and Bioprocessing","FirstCategoryId":"5","ListUrlMain":"https://doi.org/10.1186/s40643-025-00903-7","RegionNum":3,"RegionCategory":"生物学","ArticlePicture":[],"TitleCN":null,"AbstractTextCN":null,"PMCID":null,"EPubDate":"","PubModel":"","JCR":"Q1","JCRName":"BIOTECHNOLOGY & APPLIED MICROBIOLOGY","Score":null,"Total":0}
引用次数: 0

摘要

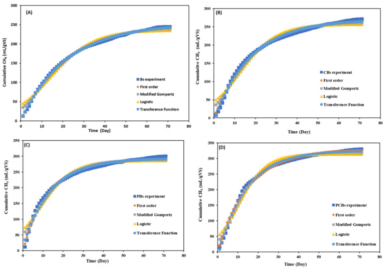
在厌氧消化(AD)前,研究了微波预处理原料污泥(Bs)和离心Bs (CBs)对混合系统能量需求和产量的影响。随着MW辐射对Bs和CBs的成功降解,Bs和CBs的可溶性COD浓度分别从平均约76 mg/L增加到300 mg/L和6400 mg/L。MW分解后,与生物污泥相比,预处理样品中的蛋白质和糖浓度分别高出10倍和22倍。液中总固形物和挥发性固形物(TS和VS)浓度下降。与未经处理的Bs和cb相比,预处理样品中易于生物利用的有机物的增加使AD单元的CH4产量提高了约22%。结果表明,随着Bs的离心作用,MW辐照所需能量降低约3倍。虽然所应用的各模型均具有较好的相关性,但动力学分析表明,传递函数是预测CH4产量的最佳模型,相关系数最高(R2为0.953 ~ 0.998)。AD工艺出水的营养物质浓度明显高于微波辐照后的白酒。
本文章由计算机程序翻译,如有差异,请以英文原文为准。

Improving the energy balance between microwave pretreatment and anaerobic digestion with centrifuged biosludge.

Improving the energy balance between microwave pretreatment and anaerobic digestion with centrifuged biosludge.

Improving the energy balance between microwave pretreatment and anaerobic digestion with centrifuged biosludge.

Improving the energy balance between microwave pretreatment and anaerobic digestion with centrifuged biosludge.

The effect of pretreatment of raw biosludge (Bs) and centrifuged Bs (CBs) with microwave (MW) operated at constant conditions before an anaerobic digestion (AD) process on the energy requirement and production of hybrid system was investigated. With the successful breakdown of Bs and CBs by the MW irradiation, the soluble COD concentrations increased from average value of about 76 mg/L to 300 mg/L and 6400 mg/L for the Bs and CBs, respectively. After the MW disintegration, the protein and sugar concentrations were about 10 and 22 times higher in the pretreated samples compared to the biosludges. While, the total and volatile solids (TS and VS) concentrations in the liquor declined. The increase of readily bioavailable organics in pretreated samples improved about 22% CH4 production in AD units, compared to the raw Bs and CBs. It was determined that the energy requirement of MW irradiation decreased about 3 times with the centrifugation of Bs. Although the applied whole models were well correlation, the kinetic analysis showed that Transference Function was the best model with the highest correlation coefficient (R2 between 0.953 and 0.998) for predicting the most accurately CH4 production. The nutrients concentrations in effluent of AD process was significantly higher than the liquors obtained after the MW irradiation was observed.

求助全文
通过发布文献求助,成功后即可免费获取论文全文。 去求助
来源期刊
Bioresources and Bioprocessing
Bioresources and Bioprocessing BIOTECHNOLOGY & APPLIED MICROBIOLOGY-
CiteScore
7.20
自引率
8.70%
发文量
118
审稿时长
13 weeks
期刊介绍: Bioresources and Bioprocessing (BIOB) is a peer-reviewed open access journal published under the brand SpringerOpen. BIOB aims at providing an international academic platform for exchanging views on and promoting research to support bioresource development, processing and utilization in a sustainable manner. As an application-oriented research journal, BIOB covers not only the application and management of bioresource technology but also the design and development of bioprocesses that will lead to new and sustainable production processes. BIOB publishes original and review articles on most topics relating to bioresource and bioprocess engineering, including: -Biochemical and microbiological engineering -Biocatalysis and biotransformation -Biosynthesis and metabolic engineering -Bioprocess and biosystems engineering -Bioenergy and biorefinery -Cell culture and biomedical engineering -Food, agricultural and marine biotechnology -Bioseparation and biopurification engineering -Bioremediation and environmental biotechnology
×
引用
GB/T 7714-2015
复制
MLA
复制
APA
复制
导出至
BibTeX EndNote RefMan NoteFirst NoteExpress
×
提示
您的信息不完整,为了账户安全,请先补充。
现在去补充
×
提示
您因"违规操作"
具体请查看互助需知
我知道了
×
提示
确定
请完成安全验证×
copy
已复制链接
快去分享给好友吧!
我知道了
右上角分享
点击右上角分享
0
联系我们:info@booksci.cn Book学术提供免费学术资源搜索服务,方便国内外学者检索中英文文献。致力于提供最便捷和优质的服务体验。 Copyright © 2023 布克学术 All rights reserved.
京ICP备2023020795号-1
ghs 京公网安备 11010802042870号
Book学术文献互助
Book学术文献互助群
群 号:604180095
Book学术官方微信