用δ - t噪声测量NbSe2薄片的局部温度

IF 1.3 4区 物理与天体物理 Q3 PHYSICS, MULTIDISCIPLINARY
M. G. Prokudina, A. F. Shevchun, V. S. Khrapai, E. S. Tikhonov
{"title":"用δ - t噪声测量NbSe2薄片的局部温度","authors":"M. G. Prokudina,&nbsp;A. F. Shevchun,&nbsp;V. S. Khrapai,&nbsp;E. S. Tikhonov","doi":"10.1134/S0021364025607869","DOIUrl":null,"url":null,"abstract":"<p>We perform transport and noise measurements for device consisting of a thin NbSe<sub>2</sub> flake laid onto the predefined gold electrodes and covered with a thin hBN flake. In the shot noise of a NbSe<sub>2</sub>/Au tunnel junction, we identify Andreev reflection regime by demonstrating the effective charge doubling. Further, by creating temperature gradient across the tunnel junction and measuring its delta-<span>\\(T\\)</span> noise in the normal state, we extract electron–phonon scattering length in NbSe<sub>2</sub> and its <i>T</i>-dependence. The results of delta-<span>\\(T\\)</span> noise measurements in the absence of a magnetic field when the flake is superconducting are in qualitative agreement with expectations. The introduced approach is promising for the study of nonequilibrium configurations in superconductors.</p>","PeriodicalId":604,"journal":{"name":"JETP Letters","volume":"122 4","pages":"250 - 258"},"PeriodicalIF":1.3000,"publicationDate":"2025-08-08","publicationTypes":"Journal Article","fieldsOfStudy":null,"isOpenAccess":false,"openAccessPdf":"","citationCount":"0","resultStr":"{\"title\":\"Local Thermometry of NbSe2 Flake with Delta-T Noise Measurements\",\"authors\":\"M. G. Prokudina,&nbsp;A. F. Shevchun,&nbsp;V. S. Khrapai,&nbsp;E. S. Tikhonov\",\"doi\":\"10.1134/S0021364025607869\",\"DOIUrl\":null,\"url\":null,\"abstract\":\"<p>We perform transport and noise measurements for device consisting of a thin NbSe<sub>2</sub> flake laid onto the predefined gold electrodes and covered with a thin hBN flake. In the shot noise of a NbSe<sub>2</sub>/Au tunnel junction, we identify Andreev reflection regime by demonstrating the effective charge doubling. Further, by creating temperature gradient across the tunnel junction and measuring its delta-<span>\\\\(T\\\\)</span> noise in the normal state, we extract electron–phonon scattering length in NbSe<sub>2</sub> and its <i>T</i>-dependence. The results of delta-<span>\\\\(T\\\\)</span> noise measurements in the absence of a magnetic field when the flake is superconducting are in qualitative agreement with expectations. The introduced approach is promising for the study of nonequilibrium configurations in superconductors.</p>\",\"PeriodicalId\":604,\"journal\":{\"name\":\"JETP Letters\",\"volume\":\"122 4\",\"pages\":\"250 - 258\"},\"PeriodicalIF\":1.3000,\"publicationDate\":\"2025-08-08\",\"publicationTypes\":\"Journal Article\",\"fieldsOfStudy\":null,\"isOpenAccess\":false,\"openAccessPdf\":\"\",\"citationCount\":\"0\",\"resultStr\":null,\"platform\":\"Semanticscholar\",\"paperid\":null,\"PeriodicalName\":\"JETP Letters\",\"FirstCategoryId\":\"101\",\"ListUrlMain\":\"https://link.springer.com/article/10.1134/S0021364025607869\",\"RegionNum\":4,\"RegionCategory\":\"物理与天体物理\",\"ArticlePicture\":[],\"TitleCN\":null,\"AbstractTextCN\":null,\"PMCID\":null,\"EPubDate\":\"\",\"PubModel\":\"\",\"JCR\":\"Q3\",\"JCRName\":\"PHYSICS, MULTIDISCIPLINARY\",\"Score\":null,\"Total\":0}","platform":"Semanticscholar","paperid":null,"PeriodicalName":"JETP Letters","FirstCategoryId":"101","ListUrlMain":"https://link.springer.com/article/10.1134/S0021364025607869","RegionNum":4,"RegionCategory":"物理与天体物理","ArticlePicture":[],"TitleCN":null,"AbstractTextCN":null,"PMCID":null,"EPubDate":"","PubModel":"","JCR":"Q3","JCRName":"PHYSICS, MULTIDISCIPLINARY","Score":null,"Total":0}
引用次数: 0

摘要

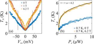
我们对由薄薄的NbSe2薄片铺在预定义的金电极上并覆盖薄的hBN薄片组成的器件进行了传输和噪声测量。在NbSe2/Au隧道结的散粒噪声中,我们通过证明有效电荷加倍来识别Andreev反射区。此外,通过在隧道结处建立温度梯度并测量其正常状态下的δ - \(T\)噪声,我们提取了NbSe2中的电子-声子散射长度及其与t的依赖关系。当片状超导时,在没有磁场的情况下delta- \(T\)噪声测量的结果与预期的定性一致。所介绍的方法对超导体的非平衡态的研究是有希望的。
本文章由计算机程序翻译,如有差异,请以英文原文为准。

Local Thermometry of NbSe2 Flake with Delta-T Noise Measurements

Local Thermometry of NbSe2 Flake with Delta-T Noise Measurements

We perform transport and noise measurements for device consisting of a thin NbSe2 flake laid onto the predefined gold electrodes and covered with a thin hBN flake. In the shot noise of a NbSe2/Au tunnel junction, we identify Andreev reflection regime by demonstrating the effective charge doubling. Further, by creating temperature gradient across the tunnel junction and measuring its delta-\(T\) noise in the normal state, we extract electron–phonon scattering length in NbSe2 and its T-dependence. The results of delta-\(T\) noise measurements in the absence of a magnetic field when the flake is superconducting are in qualitative agreement with expectations. The introduced approach is promising for the study of nonequilibrium configurations in superconductors.

求助全文
通过发布文献求助,成功后即可免费获取论文全文。 去求助
来源期刊
JETP Letters
JETP Letters 物理-物理:综合
CiteScore
2.40
自引率
30.80%
发文量
164
审稿时长
3-6 weeks
期刊介绍: All topics of experimental and theoretical physics including gravitation, field theory, elementary particles and nuclei, plasma, nonlinear phenomena, condensed matter, superconductivity, superfluidity, lasers, and surfaces.
×
引用
GB/T 7714-2015
复制
MLA
复制
APA
复制
导出至
BibTeX EndNote RefMan NoteFirst NoteExpress
×
提示
您的信息不完整,为了账户安全,请先补充。
现在去补充
×
提示
您因"违规操作"
具体请查看互助需知
我知道了
×
提示
确定
请完成安全验证×
copy
已复制链接
快去分享给好友吧!
我知道了
右上角分享
点击右上角分享
0
联系我们:info@booksci.cn Book学术提供免费学术资源搜索服务,方便国内外学者检索中英文文献。致力于提供最便捷和优质的服务体验。 Copyright © 2023 布克学术 All rights reserved.
京ICP备2023020795号-1
ghs 京公网安备 11010802042870号
Book学术文献互助
Book学术文献互助群
群 号:604180095
Book学术官方微信