与牛支原体菌株428E和PG45相比,浸出支原体菌株PG50的粘附性和侵袭性降低。

IF 2 3区 农林科学 Q2 VETERINARY SCIENCES
Daniel W Nielsen, Samantha J Hau, David J Holthausen, Rohana P Dassanayake, Bryan S Kaplan
{"title":"与牛支原体菌株428E和PG45相比,浸出支原体菌株PG50的粘附性和侵袭性降低。","authors":"Daniel W Nielsen, Samantha J Hau, David J Holthausen, Rohana P Dassanayake, Bryan S Kaplan","doi":"10.1007/s11259-025-10901-x","DOIUrl":null,"url":null,"abstract":"<p><p>Mycoplasma leachii is a member of the \"Mycoplasma mycoides cluster\", which includes the causative agent of contagious bovine pleuropneumonia (Mycoplasma mycoides subsp. mycoides). Mycoplasma leachii has been associated with severe outbreaks of polyarthritis, mastitis, and abortion in dairy cattle in Australia, Argentina, and China. As M. leachii has veterinary implications and is related to other foreign animal diseases of economic importance, we sought to investigate differences in adherence to and invasion of different bovine cells between M. leachii type strain PG50 and M. bovis strains (type strain PG45 and field strain 428E). Specifically, we tested the strains with Madin-Darby bovine kidney (MDBK), bovine turbinate (BTu), and the carticular progenitor 5 (CP5) cells for 2 and 24 h. Additionally, we tested the MDBK and BTu cells with both non-cytopathic bovine viral diarrhea virus (BVDV-1b) positive and BVDV negative fetal bovine serum. Mycoplasma leachii strain PG50 adhered and invaded less efficiently than M. bovis strains 428E and PG45 with a log<sub>10</sub> reduction in adherence and invasion ranging from 1.5 to 2.9 CFU/mL. The reduced adherence and invasion of M. leachii type strain PG50 was observed regardless of the incubation time (2 h vs. 24 h), tested cells (MDBK, BTu, or CP5), cell type (epithelial or fibroblast), or presence of BVDV. Future work should further characterize M. leachii to further assess its risk to animal health and compare it phenotypically to other members of the M. mycoides cluster.</p>","PeriodicalId":23690,"journal":{"name":"Veterinary Research Communications","volume":"49 6","pages":"339"},"PeriodicalIF":2.0000,"publicationDate":"2025-09-30","publicationTypes":"Journal Article","fieldsOfStudy":null,"isOpenAccess":false,"openAccessPdf":"https://www.ncbi.nlm.nih.gov/pmc/articles/PMC12484092/pdf/","citationCount":"0","resultStr":"{\"title\":\"Mycoplasma leachii strain PG50 shows reduced adherence and invasion compared to M. bovis strains 428E and PG45.\",\"authors\":\"Daniel W Nielsen, Samantha J Hau, David J Holthausen, Rohana P Dassanayake, Bryan S Kaplan\",\"doi\":\"10.1007/s11259-025-10901-x\",\"DOIUrl\":null,\"url\":null,\"abstract\":\"<p><p>Mycoplasma leachii is a member of the \\\"Mycoplasma mycoides cluster\\\", which includes the causative agent of contagious bovine pleuropneumonia (Mycoplasma mycoides subsp. mycoides). Mycoplasma leachii has been associated with severe outbreaks of polyarthritis, mastitis, and abortion in dairy cattle in Australia, Argentina, and China. As M. leachii has veterinary implications and is related to other foreign animal diseases of economic importance, we sought to investigate differences in adherence to and invasion of different bovine cells between M. leachii type strain PG50 and M. bovis strains (type strain PG45 and field strain 428E). Specifically, we tested the strains with Madin-Darby bovine kidney (MDBK), bovine turbinate (BTu), and the carticular progenitor 5 (CP5) cells for 2 and 24 h. Additionally, we tested the MDBK and BTu cells with both non-cytopathic bovine viral diarrhea virus (BVDV-1b) positive and BVDV negative fetal bovine serum. Mycoplasma leachii strain PG50 adhered and invaded less efficiently than M. bovis strains 428E and PG45 with a log<sub>10</sub> reduction in adherence and invasion ranging from 1.5 to 2.9 CFU/mL. The reduced adherence and invasion of M. leachii type strain PG50 was observed regardless of the incubation time (2 h vs. 24 h), tested cells (MDBK, BTu, or CP5), cell type (epithelial or fibroblast), or presence of BVDV. Future work should further characterize M. leachii to further assess its risk to animal health and compare it phenotypically to other members of the M. mycoides cluster.</p>\",\"PeriodicalId\":23690,\"journal\":{\"name\":\"Veterinary Research Communications\",\"volume\":\"49 6\",\"pages\":\"339\"},\"PeriodicalIF\":2.0000,\"publicationDate\":\"2025-09-30\",\"publicationTypes\":\"Journal Article\",\"fieldsOfStudy\":null,\"isOpenAccess\":false,\"openAccessPdf\":\"https://www.ncbi.nlm.nih.gov/pmc/articles/PMC12484092/pdf/\",\"citationCount\":\"0\",\"resultStr\":null,\"platform\":\"Semanticscholar\",\"paperid\":null,\"PeriodicalName\":\"Veterinary Research Communications\",\"FirstCategoryId\":\"97\",\"ListUrlMain\":\"https://doi.org/10.1007/s11259-025-10901-x\",\"RegionNum\":3,\"RegionCategory\":\"农林科学\",\"ArticlePicture\":[],\"TitleCN\":null,\"AbstractTextCN\":null,\"PMCID\":null,\"EPubDate\":\"\",\"PubModel\":\"\",\"JCR\":\"Q2\",\"JCRName\":\"VETERINARY SCIENCES\",\"Score\":null,\"Total\":0}","platform":"Semanticscholar","paperid":null,"PeriodicalName":"Veterinary Research Communications","FirstCategoryId":"97","ListUrlMain":"https://doi.org/10.1007/s11259-025-10901-x","RegionNum":3,"RegionCategory":"农林科学","ArticlePicture":[],"TitleCN":null,"AbstractTextCN":null,"PMCID":null,"EPubDate":"","PubModel":"","JCR":"Q2","JCRName":"VETERINARY SCIENCES","Score":null,"Total":0}
引用次数: 0

摘要

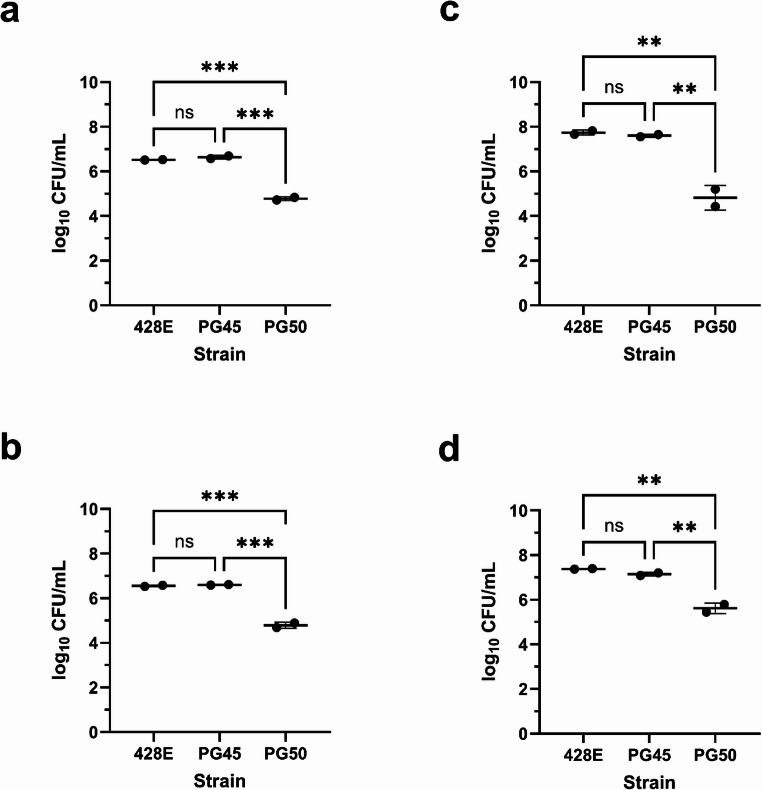
leachii支原体是“支原体群”的一员,其中包括传染性牛胸膜肺炎(支原体亚种)的病原体。mycoides)。在澳大利亚、阿根廷和中国,浸出支原体与严重爆发的多关节炎、乳腺炎和奶牛流产有关。由于leachii M. leachii具有兽医意义,并且与其他具有经济重要性的外来动物疾病有关,因此我们试图调查leachii M. type strain PG50和M. bovis菌株(type strain PG45和field strain 428E)对不同牛细胞的粘附和侵袭的差异。具体来说,我们用Madin-Darby牛肾(MDBK)、牛鼻甲(BTu)和carticar祖5 (CP5)细胞分别检测了2和24小时。此外,我们用非细胞病变牛病毒性腹泻病毒(BVDV-1b)阳性和BVDV阴性的胎牛血清检测了MDBK和BTu细胞。浸出支原体菌株PG50的粘附和侵袭效率低于牛支原体菌株428E和PG45,其粘附和侵袭率降低了log10,范围在1.5 ~ 2.9 CFU/mL之间。无论孵育时间(2小时vs 24小时)、测试细胞(MDBK、BTu或CP5)、细胞类型(上皮细胞或成纤维细胞)或是否存在BVDV,都观察到leachii型菌株PG50的粘附性和侵袭性降低。未来的工作应进一步表征leachii支原体,以进一步评估其对动物健康的风险,并将其与真菌支原体群的其他成员进行表型比较。
本文章由计算机程序翻译,如有差异,请以英文原文为准。

Mycoplasma leachii strain PG50 shows reduced adherence and invasion compared to M. bovis strains 428E and PG45.

Mycoplasma leachii strain PG50 shows reduced adherence and invasion compared to M. bovis strains 428E and PG45.

Mycoplasma leachii strain PG50 shows reduced adherence and invasion compared to M. bovis strains 428E and PG45.

Mycoplasma leachii strain PG50 shows reduced adherence and invasion compared to M. bovis strains 428E and PG45.

Mycoplasma leachii is a member of the "Mycoplasma mycoides cluster", which includes the causative agent of contagious bovine pleuropneumonia (Mycoplasma mycoides subsp. mycoides). Mycoplasma leachii has been associated with severe outbreaks of polyarthritis, mastitis, and abortion in dairy cattle in Australia, Argentina, and China. As M. leachii has veterinary implications and is related to other foreign animal diseases of economic importance, we sought to investigate differences in adherence to and invasion of different bovine cells between M. leachii type strain PG50 and M. bovis strains (type strain PG45 and field strain 428E). Specifically, we tested the strains with Madin-Darby bovine kidney (MDBK), bovine turbinate (BTu), and the carticular progenitor 5 (CP5) cells for 2 and 24 h. Additionally, we tested the MDBK and BTu cells with both non-cytopathic bovine viral diarrhea virus (BVDV-1b) positive and BVDV negative fetal bovine serum. Mycoplasma leachii strain PG50 adhered and invaded less efficiently than M. bovis strains 428E and PG45 with a log10 reduction in adherence and invasion ranging from 1.5 to 2.9 CFU/mL. The reduced adherence and invasion of M. leachii type strain PG50 was observed regardless of the incubation time (2 h vs. 24 h), tested cells (MDBK, BTu, or CP5), cell type (epithelial or fibroblast), or presence of BVDV. Future work should further characterize M. leachii to further assess its risk to animal health and compare it phenotypically to other members of the M. mycoides cluster.

求助全文
通过发布文献求助,成功后即可免费获取论文全文。 去求助
来源期刊
Veterinary Research Communications
Veterinary Research Communications 农林科学-兽医学
CiteScore
2.50
自引率
0.00%
发文量
173
审稿时长
3 months
期刊介绍: Veterinary Research Communications publishes fully refereed research articles and topical reviews on all aspects of the veterinary sciences. Interdisciplinary articles are particularly encouraged, as are well argued reviews, even if they are somewhat controversial. The journal is an appropriate medium in which to publish new methods, newly described diseases and new pathological findings, as these are applied to animals. The material should be of international rather than local interest. As it deliberately seeks a wide coverage, Veterinary Research Communications provides its readers with a means of keeping abreast of current developments in the entire field of veterinary science.
×
引用
GB/T 7714-2015
复制
MLA
复制
APA
复制
导出至
BibTeX EndNote RefMan NoteFirst NoteExpress
×
提示
您的信息不完整,为了账户安全,请先补充。
现在去补充
×
提示
您因"违规操作"
具体请查看互助需知
我知道了
×
提示
确定
请完成安全验证×
copy
已复制链接
快去分享给好友吧!
我知道了
右上角分享
点击右上角分享
0
联系我们:info@booksci.cn Book学术提供免费学术资源搜索服务,方便国内外学者检索中英文文献。致力于提供最便捷和优质的服务体验。 Copyright © 2023 布克学术 All rights reserved.
京ICP备2023020795号-1
ghs 京公网安备 11010802042870号
Book学术文献互助
Book学术文献互助群
群 号:604180095
Book学术官方微信