促甲状腺激素和甲状腺激素敏感性对甲状腺功能正常成人高尿酸血症风险的影响。

IF 2.3 4区 医学 Q4 ENDOCRINOLOGY & METABOLISM
Hongzhan Ding, Yanyu Liang, Yilin Wang, Kexin Zhang, Mengya Zhu, Yang Jing, Yong Xue, Xiaofang Chen, Hui Zhou, Chen Dong
{"title":"促甲状腺激素和甲状腺激素敏感性对甲状腺功能正常成人高尿酸血症风险的影响。","authors":"Hongzhan Ding, Yanyu Liang, Yilin Wang, Kexin Zhang, Mengya Zhu, Yang Jing, Yong Xue, Xiaofang Chen, Hui Zhou, Chen Dong","doi":"10.20945/2359-4292-2024-0378","DOIUrl":null,"url":null,"abstract":"<p><strong>Objective: </strong>The current study was conducted to investigate whether thyroid-stimulating hormone (TSH) and thyroid hormone sensitivity are associated with hyperuricemia probability in euthyroid population.</p><p><strong>Materials and methods: </strong>The observational analysis was based on a Chinese community-based cohort (n = 1,972). The prospective associations of TSH levels, TSH index (TSHI), thyrotrophic thyroxine resistance index (TT4RI), thyroid feedback quantile-based index (TFQI) and free triiodothyronine to free thyroxine (FT3/FT4) ratio with the risk of hyperuricemia were examined. Two-sample Mendelian randomization (MR) analysis was then used to test the causal effects of TSH on serum uric acid (SUA) levels and gout.</p><p><strong>Results: </strong>Among 1,972 participants with normal thyroid function, 244 new hyperuricemia cases were identified during follow-up. The results suggested that the higher levels of TSH (HR = 1.87, 95% CI: 1.28-2.73, p-value < 0.01), TSHI (HR = 2.02, 95% CI: 1.38-2.95, p-value < 0.01), TFQI (HR = 1.92, 95% CI: 1.33-2.76, p-value < 0.01) and TT4RI (HR = 1.93, 95% CI: 1.34-2.80, p-value < 0.01) were significantly associated with hyperuricemia incidence. The MR results further indicated causal effects of TSH on SUA levels (inverse variance weighting [IVW] β = 0.037, 95% CI: 0.017-0.057) and gout (IVW OR = 1.0018, 95% CI: 1.0004-1.0032).</p><p><strong>Conclusion: </strong>The higher levels of TSH, TSHI, TFQI and TT4RI are significantly associated with the risk of hyperuricemia in euthyroid population. The MR analysis supports the causal effects of TSH on SUA levels and gout.</p>","PeriodicalId":54303,"journal":{"name":"Archives of Endocrinology Metabolism","volume":"69 5","pages":"e240378"},"PeriodicalIF":2.3000,"publicationDate":"2025-09-30","publicationTypes":"Journal Article","fieldsOfStudy":null,"isOpenAccess":false,"openAccessPdf":"https://www.ncbi.nlm.nih.gov/pmc/articles/PMC12483351/pdf/","citationCount":"0","resultStr":"{\"title\":\"Effects of thyroid-stimulating hormone and sensitivity to thyroid hormones on the risk of hyperuricemia in euthyroid adults.\",\"authors\":\"Hongzhan Ding, Yanyu Liang, Yilin Wang, Kexin Zhang, Mengya Zhu, Yang Jing, Yong Xue, Xiaofang Chen, Hui Zhou, Chen Dong\",\"doi\":\"10.20945/2359-4292-2024-0378\",\"DOIUrl\":null,\"url\":null,\"abstract\":\"<p><strong>Objective: </strong>The current study was conducted to investigate whether thyroid-stimulating hormone (TSH) and thyroid hormone sensitivity are associated with hyperuricemia probability in euthyroid population.</p><p><strong>Materials and methods: </strong>The observational analysis was based on a Chinese community-based cohort (n = 1,972). The prospective associations of TSH levels, TSH index (TSHI), thyrotrophic thyroxine resistance index (TT4RI), thyroid feedback quantile-based index (TFQI) and free triiodothyronine to free thyroxine (FT3/FT4) ratio with the risk of hyperuricemia were examined. Two-sample Mendelian randomization (MR) analysis was then used to test the causal effects of TSH on serum uric acid (SUA) levels and gout.</p><p><strong>Results: </strong>Among 1,972 participants with normal thyroid function, 244 new hyperuricemia cases were identified during follow-up. The results suggested that the higher levels of TSH (HR = 1.87, 95% CI: 1.28-2.73, p-value < 0.01), TSHI (HR = 2.02, 95% CI: 1.38-2.95, p-value < 0.01), TFQI (HR = 1.92, 95% CI: 1.33-2.76, p-value < 0.01) and TT4RI (HR = 1.93, 95% CI: 1.34-2.80, p-value < 0.01) were significantly associated with hyperuricemia incidence. The MR results further indicated causal effects of TSH on SUA levels (inverse variance weighting [IVW] β = 0.037, 95% CI: 0.017-0.057) and gout (IVW OR = 1.0018, 95% CI: 1.0004-1.0032).</p><p><strong>Conclusion: </strong>The higher levels of TSH, TSHI, TFQI and TT4RI are significantly associated with the risk of hyperuricemia in euthyroid population. The MR analysis supports the causal effects of TSH on SUA levels and gout.</p>\",\"PeriodicalId\":54303,\"journal\":{\"name\":\"Archives of Endocrinology Metabolism\",\"volume\":\"69 5\",\"pages\":\"e240378\"},\"PeriodicalIF\":2.3000,\"publicationDate\":\"2025-09-30\",\"publicationTypes\":\"Journal Article\",\"fieldsOfStudy\":null,\"isOpenAccess\":false,\"openAccessPdf\":\"https://www.ncbi.nlm.nih.gov/pmc/articles/PMC12483351/pdf/\",\"citationCount\":\"0\",\"resultStr\":null,\"platform\":\"Semanticscholar\",\"paperid\":null,\"PeriodicalName\":\"Archives of Endocrinology Metabolism\",\"FirstCategoryId\":\"3\",\"ListUrlMain\":\"https://doi.org/10.20945/2359-4292-2024-0378\",\"RegionNum\":4,\"RegionCategory\":\"医学\",\"ArticlePicture\":[],\"TitleCN\":null,\"AbstractTextCN\":null,\"PMCID\":null,\"EPubDate\":\"\",\"PubModel\":\"\",\"JCR\":\"Q4\",\"JCRName\":\"ENDOCRINOLOGY & METABOLISM\",\"Score\":null,\"Total\":0}","platform":"Semanticscholar","paperid":null,"PeriodicalName":"Archives of Endocrinology Metabolism","FirstCategoryId":"3","ListUrlMain":"https://doi.org/10.20945/2359-4292-2024-0378","RegionNum":4,"RegionCategory":"医学","ArticlePicture":[],"TitleCN":null,"AbstractTextCN":null,"PMCID":null,"EPubDate":"","PubModel":"","JCR":"Q4","JCRName":"ENDOCRINOLOGY & METABOLISM","Score":null,"Total":0}
引用次数: 0

摘要

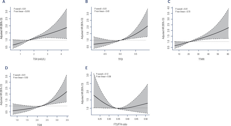
目的:探讨促甲状腺激素(TSH)和甲状腺激素敏感性是否与甲状腺功能正常人群高尿酸血症发生率相关。材料和方法:观察性分析基于中国社区队列(n = 1972)。检测TSH水平、TSH指数(TSHI)、促甲状腺素抵抗指数(TT4RI)、甲状腺反馈分位数指数(TFQI)和游离三碘甲状腺原氨酸/游离甲状腺素(FT3/FT4)比值与高尿酸血症风险的前瞻性关联。然后使用双样本孟德尔随机化(MR)分析来测试TSH对血清尿酸(SUA)水平和痛风的因果影响。结果:在1972名甲状腺功能正常的参与者中,随访期间发现了244例新的高尿酸血症病例。结果提示,TSH (HR = 1.87, 95% CI: 1.28 ~ 2.73, p值< 0.01)、TSHI (HR = 2.02, 95% CI: 1.38 ~ 2.95, p值< 0.01)、TFQI (HR = 1.92, 95% CI: 1.33 ~ 2.76, p值< 0.01)、TT4RI (HR = 1.93, 95% CI: 1.34 ~ 2.80, p值< 0.01)升高与高尿酸血症发生率显著相关。MR结果进一步表明,TSH对SUA水平(反方差加权[IVW] β = 0.037, 95% CI: 0.017-0.057)和痛风(IVW OR = 1.0018, 95% CI: 1.0004-1.0032)有因果关系。结论:甲状腺功能正常人群TSH、TSHI、TFQI、TT4RI水平升高与高尿酸血症发生风险显著相关。MR分析支持TSH对SUA水平和痛风的因果影响。
本文章由计算机程序翻译,如有差异,请以英文原文为准。

Effects of thyroid-stimulating hormone and sensitivity to thyroid hormones on the risk of hyperuricemia in euthyroid adults.

Effects of thyroid-stimulating hormone and sensitivity to thyroid hormones on the risk of hyperuricemia in euthyroid adults.

Effects of thyroid-stimulating hormone and sensitivity to thyroid hormones on the risk of hyperuricemia in euthyroid adults.

Effects of thyroid-stimulating hormone and sensitivity to thyroid hormones on the risk of hyperuricemia in euthyroid adults.

Objective: The current study was conducted to investigate whether thyroid-stimulating hormone (TSH) and thyroid hormone sensitivity are associated with hyperuricemia probability in euthyroid population.

Materials and methods: The observational analysis was based on a Chinese community-based cohort (n = 1,972). The prospective associations of TSH levels, TSH index (TSHI), thyrotrophic thyroxine resistance index (TT4RI), thyroid feedback quantile-based index (TFQI) and free triiodothyronine to free thyroxine (FT3/FT4) ratio with the risk of hyperuricemia were examined. Two-sample Mendelian randomization (MR) analysis was then used to test the causal effects of TSH on serum uric acid (SUA) levels and gout.

Results: Among 1,972 participants with normal thyroid function, 244 new hyperuricemia cases were identified during follow-up. The results suggested that the higher levels of TSH (HR = 1.87, 95% CI: 1.28-2.73, p-value < 0.01), TSHI (HR = 2.02, 95% CI: 1.38-2.95, p-value < 0.01), TFQI (HR = 1.92, 95% CI: 1.33-2.76, p-value < 0.01) and TT4RI (HR = 1.93, 95% CI: 1.34-2.80, p-value < 0.01) were significantly associated with hyperuricemia incidence. The MR results further indicated causal effects of TSH on SUA levels (inverse variance weighting [IVW] β = 0.037, 95% CI: 0.017-0.057) and gout (IVW OR = 1.0018, 95% CI: 1.0004-1.0032).

Conclusion: The higher levels of TSH, TSHI, TFQI and TT4RI are significantly associated with the risk of hyperuricemia in euthyroid population. The MR analysis supports the causal effects of TSH on SUA levels and gout.

求助全文
通过发布文献求助,成功后即可免费获取论文全文。 去求助
来源期刊
Archives of Endocrinology Metabolism
Archives of Endocrinology Metabolism Medicine-Endocrinology, Diabetes and Metabolism
CiteScore
2.90
自引率
5.90%
发文量
107
审稿时长
7 weeks
期刊介绍: The Archives of Endocrinology and Metabolism - AE&M – is the official journal of the Brazilian Society of Endocrinology and Metabolism - SBEM, which is affiliated with the Brazilian Medical Association. Edited since 1951, the AE&M aims at publishing articles on scientific themes in the basic translational and clinical area of Endocrinology and Metabolism. The printed version AE&M is published in 6 issues/year. The full electronic issue is open access in the SciELO - Scientific Electronic Library Online e at the AE&M site: www.aem-sbem.com. From volume 59 on, the name was changed to Archives of Endocrinology and Metabolism, and it became mandatory for manuscripts to be submitted in English for the online issue. However, for the printed issue it is still optional for the articles to be sent in English or Portuguese. The journal is published six times a year, with one issue every two months.
×
引用
GB/T 7714-2015
复制
MLA
复制
APA
复制
导出至
BibTeX EndNote RefMan NoteFirst NoteExpress
×
提示
您的信息不完整,为了账户安全,请先补充。
现在去补充
×
提示
您因"违规操作"
具体请查看互助需知
我知道了
×
提示
确定
请完成安全验证×
copy
已复制链接
快去分享给好友吧!
我知道了
右上角分享
点击右上角分享
0
联系我们:info@booksci.cn Book学术提供免费学术资源搜索服务,方便国内外学者检索中英文文献。致力于提供最便捷和优质的服务体验。 Copyright © 2023 布克学术 All rights reserved.
京ICP备2023020795号-1
ghs 京公网安备 11010802042870号
Book学术文献互助
Book学术文献互助群
群 号:604180095
Book学术官方微信