中低位直肠癌患者术后膀胱训练有助于早期拔除导尿管:一项前瞻性、随机、开放标签、盲终点试验

IF 2.5 3区 医学 Q3 ONCOLOGY
Yongsen Wang, Yuezhi Chen, Xin Zhang, Jizhun Zhang
{"title":"中低位直肠癌患者术后膀胱训练有助于早期拔除导尿管:一项前瞻性、随机、开放标签、盲终点试验","authors":"Yongsen Wang, Yuezhi Chen, Xin Zhang, Jizhun Zhang","doi":"10.1186/s12957-025-03991-z","DOIUrl":null,"url":null,"abstract":"<p><strong>Background: </strong>To evaluate whether intermittent catheterization for bladder training can reduce urinary catheterization duration in patients undergoing mid-low rectal cancer surgery.</p><p><strong>Methods: </strong>Stratified by gender, 330 patients were divided into a 5-day catheterization control group, and experimental groups A (3-day bladder training) and B (5-day bladder training), with 110 patients each.</p><p><strong>Results: </strong>Two-way ANOVA found that gender affected recatheterization, Pdet@Qmax, Qmax, BOOI and three-day total urine volume. No difference between groups A and B. Patients in experimental group A had a shorter time to first void (P = 0.030) and lower three-day average residual urine volume (P = 0.011) than the control group, and patients in experimental group B had a larger urine volume (P = 0.043) and lower first residual urine volume (P = 0.001). Bladder training reduced recatheterization in males. The nomogram constructed based on the logistic regression model better predicted the risk of urinary tract infection (AUC = 0.669) and recatheterization (AUC = 0.731). These two models may help provide new tools for the postoperative care of patients with mid-low rectal cancer.</p><p><strong>Conclusions: </strong>Three-day catheter removal after bladder training is non-inferior to five-day removal. Bladder training is effective in reducing the chances of recatheterization in patients with mid-low rectal cancer.</p><p><strong>Trial registration: </strong>This study was registered with the China Clinical Trials Registry at 22th March, 2018 (No. ChiCTR1800015313, https://www.chictr.org.cn/showproj.html?proj=26123 ).</p>","PeriodicalId":23856,"journal":{"name":"World Journal of Surgical Oncology","volume":"23 1","pages":"353"},"PeriodicalIF":2.5000,"publicationDate":"2025-09-30","publicationTypes":"Journal Article","fieldsOfStudy":null,"isOpenAccess":false,"openAccessPdf":"https://www.ncbi.nlm.nih.gov/pmc/articles/PMC12487385/pdf/","citationCount":"0","resultStr":"{\"title\":\"Postoperative bladder training in patients with mid-low rectal cancer facilitates early removal of the urinary catheter: a prospective, randomized, open-label, blinded-endpoint trial.\",\"authors\":\"Yongsen Wang, Yuezhi Chen, Xin Zhang, Jizhun Zhang\",\"doi\":\"10.1186/s12957-025-03991-z\",\"DOIUrl\":null,\"url\":null,\"abstract\":\"<p><strong>Background: </strong>To evaluate whether intermittent catheterization for bladder training can reduce urinary catheterization duration in patients undergoing mid-low rectal cancer surgery.</p><p><strong>Methods: </strong>Stratified by gender, 330 patients were divided into a 5-day catheterization control group, and experimental groups A (3-day bladder training) and B (5-day bladder training), with 110 patients each.</p><p><strong>Results: </strong>Two-way ANOVA found that gender affected recatheterization, Pdet@Qmax, Qmax, BOOI and three-day total urine volume. No difference between groups A and B. Patients in experimental group A had a shorter time to first void (P = 0.030) and lower three-day average residual urine volume (P = 0.011) than the control group, and patients in experimental group B had a larger urine volume (P = 0.043) and lower first residual urine volume (P = 0.001). Bladder training reduced recatheterization in males. The nomogram constructed based on the logistic regression model better predicted the risk of urinary tract infection (AUC = 0.669) and recatheterization (AUC = 0.731). These two models may help provide new tools for the postoperative care of patients with mid-low rectal cancer.</p><p><strong>Conclusions: </strong>Three-day catheter removal after bladder training is non-inferior to five-day removal. Bladder training is effective in reducing the chances of recatheterization in patients with mid-low rectal cancer.</p><p><strong>Trial registration: </strong>This study was registered with the China Clinical Trials Registry at 22th March, 2018 (No. ChiCTR1800015313, https://www.chictr.org.cn/showproj.html?proj=26123 ).</p>\",\"PeriodicalId\":23856,\"journal\":{\"name\":\"World Journal of Surgical Oncology\",\"volume\":\"23 1\",\"pages\":\"353\"},\"PeriodicalIF\":2.5000,\"publicationDate\":\"2025-09-30\",\"publicationTypes\":\"Journal Article\",\"fieldsOfStudy\":null,\"isOpenAccess\":false,\"openAccessPdf\":\"https://www.ncbi.nlm.nih.gov/pmc/articles/PMC12487385/pdf/\",\"citationCount\":\"0\",\"resultStr\":null,\"platform\":\"Semanticscholar\",\"paperid\":null,\"PeriodicalName\":\"World Journal of Surgical Oncology\",\"FirstCategoryId\":\"3\",\"ListUrlMain\":\"https://doi.org/10.1186/s12957-025-03991-z\",\"RegionNum\":3,\"RegionCategory\":\"医学\",\"ArticlePicture\":[],\"TitleCN\":null,\"AbstractTextCN\":null,\"PMCID\":null,\"EPubDate\":\"\",\"PubModel\":\"\",\"JCR\":\"Q3\",\"JCRName\":\"ONCOLOGY\",\"Score\":null,\"Total\":0}","platform":"Semanticscholar","paperid":null,"PeriodicalName":"World Journal of Surgical Oncology","FirstCategoryId":"3","ListUrlMain":"https://doi.org/10.1186/s12957-025-03991-z","RegionNum":3,"RegionCategory":"医学","ArticlePicture":[],"TitleCN":null,"AbstractTextCN":null,"PMCID":null,"EPubDate":"","PubModel":"","JCR":"Q3","JCRName":"ONCOLOGY","Score":null,"Total":0}
引用次数: 0

摘要

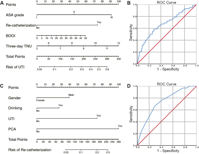
背景:评价间歇导尿膀胱训练能否缩短中低位直肠癌手术患者导尿时间。方法:330例患者按性别分层分为5 d导尿对照组、3 d膀胱训练a组和5 d膀胱训练B组,各110例。结果:双因素方差分析发现性别影响输尿管插管、Pdet@Qmax、Qmax、BOOI和三天总尿量。实验组A患者首次排空时间较对照组短(P = 0.030),三天平均残余尿量较对照组低(P = 0.011),实验组B患者尿量较大(P = 0.043),首次残余尿量较对照组低(P = 0.001)。膀胱训练减少了男性的再导尿。基于logistic回归模型构建的nomogram能较好地预测尿路感染(AUC = 0.669)和尿路再导尿(AUC = 0.731)的风险。这两种模式可能有助于为中低位直肠癌患者的术后护理提供新的工具。结论:膀胱训练后3天拔除导尿管的效果不逊于5天拔除。膀胱训练可有效减少中低位直肠癌患者的再导管插入术。试验注册:本研究已于2018年3月22日在中国临床试验注册中心注册(注册号:ChiCTR1800015313, https://www.chictr.org.cn/showproj.html?proj=26123)。
本文章由计算机程序翻译,如有差异,请以英文原文为准。

Postoperative bladder training in patients with mid-low rectal cancer facilitates early removal of the urinary catheter: a prospective, randomized, open-label, blinded-endpoint trial.

Postoperative bladder training in patients with mid-low rectal cancer facilitates early removal of the urinary catheter: a prospective, randomized, open-label, blinded-endpoint trial.

Postoperative bladder training in patients with mid-low rectal cancer facilitates early removal of the urinary catheter: a prospective, randomized, open-label, blinded-endpoint trial.

Background: To evaluate whether intermittent catheterization for bladder training can reduce urinary catheterization duration in patients undergoing mid-low rectal cancer surgery.

Methods: Stratified by gender, 330 patients were divided into a 5-day catheterization control group, and experimental groups A (3-day bladder training) and B (5-day bladder training), with 110 patients each.

Results: Two-way ANOVA found that gender affected recatheterization, Pdet@Qmax, Qmax, BOOI and three-day total urine volume. No difference between groups A and B. Patients in experimental group A had a shorter time to first void (P = 0.030) and lower three-day average residual urine volume (P = 0.011) than the control group, and patients in experimental group B had a larger urine volume (P = 0.043) and lower first residual urine volume (P = 0.001). Bladder training reduced recatheterization in males. The nomogram constructed based on the logistic regression model better predicted the risk of urinary tract infection (AUC = 0.669) and recatheterization (AUC = 0.731). These two models may help provide new tools for the postoperative care of patients with mid-low rectal cancer.

Conclusions: Three-day catheter removal after bladder training is non-inferior to five-day removal. Bladder training is effective in reducing the chances of recatheterization in patients with mid-low rectal cancer.

Trial registration: This study was registered with the China Clinical Trials Registry at 22th March, 2018 (No. ChiCTR1800015313, https://www.chictr.org.cn/showproj.html?proj=26123 ).

求助全文
通过发布文献求助,成功后即可免费获取论文全文。 去求助
来源期刊
CiteScore
4.70
自引率
15.60%
发文量
362
审稿时长
3 months
期刊介绍: World Journal of Surgical Oncology publishes articles related to surgical oncology and its allied subjects, such as epidemiology, cancer research, biomarkers, prevention, pathology, radiology, cancer treatment, clinical trials, multimodality treatment and molecular biology. Emphasis is placed on original research articles. The journal also publishes significant clinical case reports, as well as balanced and timely reviews on selected topics. Oncology is a multidisciplinary super-speciality of which surgical oncology forms an integral component, especially with solid tumors. Surgical oncologists around the world are involved in research extending from detecting the mechanisms underlying the causation of cancer, to its treatment and prevention. The role of a surgical oncologist extends across the whole continuum of care. With continued developments in diagnosis and treatment, the role of a surgical oncologist is ever-changing. Hence, World Journal of Surgical Oncology aims to keep readers abreast with latest developments that will ultimately influence the work of surgical oncologists.
×
引用
GB/T 7714-2015
复制
MLA
复制
APA
复制
导出至
BibTeX EndNote RefMan NoteFirst NoteExpress
×
提示
您的信息不完整,为了账户安全,请先补充。
现在去补充
×
提示
您因"违规操作"
具体请查看互助需知
我知道了
×
提示
确定
请完成安全验证×
copy
已复制链接
快去分享给好友吧!
我知道了
右上角分享
点击右上角分享
0
联系我们:info@booksci.cn Book学术提供免费学术资源搜索服务,方便国内外学者检索中英文文献。致力于提供最便捷和优质的服务体验。 Copyright © 2023 布克学术 All rights reserved.
京ICP备2023020795号-1
ghs 京公网安备 11010802042870号
Book学术文献互助
Book学术文献互助群
群 号:604180095
Book学术官方微信