中青年高血压患者身体素质量表的研制与验证。

IF 2.8 3区 医学 Q3 ENVIRONMENTAL SCIENCES
Guiyue Ma, Xiaoqin Ma
{"title":"中青年高血压患者身体素质量表的研制与验证。","authors":"Guiyue Ma, Xiaoqin Ma","doi":"10.1186/s41043-025-01027-6","DOIUrl":null,"url":null,"abstract":"<p><strong>Background: </strong>In recent years, the significance of physical literacy in enhancing the well-being of patients with hypertension has gained increasing recognition. Physical literacy, defined as the motivation, confidence, physical competence, and knowledge and understanding necessary to engage in physical activities, plays a crucial role in promoting a healthy lifestyle. However, most existing studies have focused on the general population or specific subgroups, such as children, adolescents, and older adults, with limited attention to the unique needs of young and middle-aged patients with hypertension.</p><p><strong>Objectives: </strong>The study aimed to develop and validate the physical literacy scale for young and middle-aged patients with hypertension (PLS-YMPH). We investigated the reliability and validity of this scale to evaluate its quality, providing a valid tool for assessing physical literacy in this specific group.</p><p><strong>Methods: </strong>Initial items were developed through a literature review and face-to-face interviews. The item pool was modified based on the results of the two-round Delphi method. After forming the initial draft of the PLS-YMPH, items were screened using the critical ratio method, correlation coefficient method, Cronbach's α coefficient method, and exploratory factor analysis. Finally, reliability and validity tests were conducted. The content validity, construct validity, discriminant validity, as well as content reliability, split-half reliability, and test-retest reliability of the scale were calculated.</p><p><strong>Results: </strong>The developed scale consists of 4 dimensions and 18 items. The Cronbach's α coefficient for the overall scale was 0.943, with individual dimensions ranging from 0.917 to 0.946. The split-half reliability coefficient was 0.833, and the dimensions ranged from 0.919 to 0.947. The test-retest reliability coefficient was 0.854, with dimensions ranging from 0.805 to 0.959. The S-CVI/Ave for the scale was 0.918, and the values for each dimension were 0.925, 0.906, 0.896, and 0.948, all exceeding 0.80.</p><p><strong>Conclusions: </strong>The developed PLS-YMPH demonstrates good reliability and validity. It provides a valuable tool for assessing the physical literacy of this specific patient group, laying the groundwork for further research in this area.</p>","PeriodicalId":15969,"journal":{"name":"Journal of Health, Population, and Nutrition","volume":"44 1","pages":"338"},"PeriodicalIF":2.8000,"publicationDate":"2025-09-30","publicationTypes":"Journal Article","fieldsOfStudy":null,"isOpenAccess":false,"openAccessPdf":"https://www.ncbi.nlm.nih.gov/pmc/articles/PMC12486499/pdf/","citationCount":"0","resultStr":"{\"title\":\"Development and validation of the physical literacy scale for young and middle-aged patients with hypertension.\",\"authors\":\"Guiyue Ma, Xiaoqin Ma\",\"doi\":\"10.1186/s41043-025-01027-6\",\"DOIUrl\":null,\"url\":null,\"abstract\":\"<p><strong>Background: </strong>In recent years, the significance of physical literacy in enhancing the well-being of patients with hypertension has gained increasing recognition. Physical literacy, defined as the motivation, confidence, physical competence, and knowledge and understanding necessary to engage in physical activities, plays a crucial role in promoting a healthy lifestyle. However, most existing studies have focused on the general population or specific subgroups, such as children, adolescents, and older adults, with limited attention to the unique needs of young and middle-aged patients with hypertension.</p><p><strong>Objectives: </strong>The study aimed to develop and validate the physical literacy scale for young and middle-aged patients with hypertension (PLS-YMPH). We investigated the reliability and validity of this scale to evaluate its quality, providing a valid tool for assessing physical literacy in this specific group.</p><p><strong>Methods: </strong>Initial items were developed through a literature review and face-to-face interviews. The item pool was modified based on the results of the two-round Delphi method. After forming the initial draft of the PLS-YMPH, items were screened using the critical ratio method, correlation coefficient method, Cronbach's α coefficient method, and exploratory factor analysis. Finally, reliability and validity tests were conducted. The content validity, construct validity, discriminant validity, as well as content reliability, split-half reliability, and test-retest reliability of the scale were calculated.</p><p><strong>Results: </strong>The developed scale consists of 4 dimensions and 18 items. The Cronbach's α coefficient for the overall scale was 0.943, with individual dimensions ranging from 0.917 to 0.946. The split-half reliability coefficient was 0.833, and the dimensions ranged from 0.919 to 0.947. The test-retest reliability coefficient was 0.854, with dimensions ranging from 0.805 to 0.959. The S-CVI/Ave for the scale was 0.918, and the values for each dimension were 0.925, 0.906, 0.896, and 0.948, all exceeding 0.80.</p><p><strong>Conclusions: </strong>The developed PLS-YMPH demonstrates good reliability and validity. It provides a valuable tool for assessing the physical literacy of this specific patient group, laying the groundwork for further research in this area.</p>\",\"PeriodicalId\":15969,\"journal\":{\"name\":\"Journal of Health, Population, and Nutrition\",\"volume\":\"44 1\",\"pages\":\"338\"},\"PeriodicalIF\":2.8000,\"publicationDate\":\"2025-09-30\",\"publicationTypes\":\"Journal Article\",\"fieldsOfStudy\":null,\"isOpenAccess\":false,\"openAccessPdf\":\"https://www.ncbi.nlm.nih.gov/pmc/articles/PMC12486499/pdf/\",\"citationCount\":\"0\",\"resultStr\":null,\"platform\":\"Semanticscholar\",\"paperid\":null,\"PeriodicalName\":\"Journal of Health, Population, and Nutrition\",\"FirstCategoryId\":\"3\",\"ListUrlMain\":\"https://doi.org/10.1186/s41043-025-01027-6\",\"RegionNum\":3,\"RegionCategory\":\"医学\",\"ArticlePicture\":[],\"TitleCN\":null,\"AbstractTextCN\":null,\"PMCID\":null,\"EPubDate\":\"\",\"PubModel\":\"\",\"JCR\":\"Q3\",\"JCRName\":\"ENVIRONMENTAL SCIENCES\",\"Score\":null,\"Total\":0}","platform":"Semanticscholar","paperid":null,"PeriodicalName":"Journal of Health, Population, and Nutrition","FirstCategoryId":"3","ListUrlMain":"https://doi.org/10.1186/s41043-025-01027-6","RegionNum":3,"RegionCategory":"医学","ArticlePicture":[],"TitleCN":null,"AbstractTextCN":null,"PMCID":null,"EPubDate":"","PubModel":"","JCR":"Q3","JCRName":"ENVIRONMENTAL SCIENCES","Score":null,"Total":0}
引用次数: 0

摘要

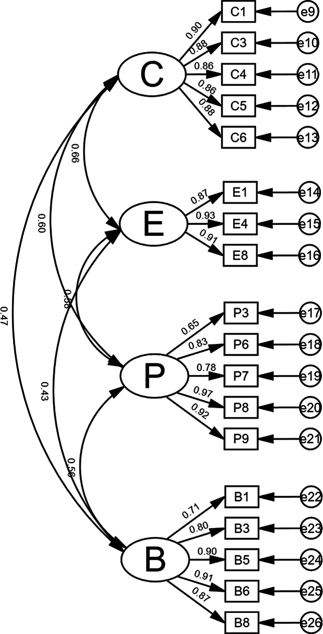
背景:近年来,身体素质在提高高血压患者幸福感方面的意义越来越被人们所认识。体育素养被定义为从事体育活动所必需的动机、信心、身体能力以及知识和理解,在促进健康的生活方式方面起着至关重要的作用。然而,大多数现有的研究都集中在一般人群或特定的亚组,如儿童、青少年和老年人,而对中青年高血压患者的独特需求关注有限。目的:编制并验证中青年高血压患者身体素质量表(PLS-YMPH)。我们调查了该量表的信度和效度来评估其质量,为评估这一特定群体的体育素养提供了一个有效的工具。方法:采用文献回顾法和面对面访谈法编制初始项目。根据两轮德尔菲法的结果对项目池进行了修改。形成PLS-YMPH初稿后,采用临界比率法、相关系数法、Cronbach’s α系数法和探索性因子分析法对项目进行筛选。最后进行信度和效度检验。计算量表的内容效度、结构效度、判别效度以及内容信度、分半信度、重测信度。结果:编制的量表由4个维度、18个项目组成。总体量表的Cronbach's α系数为0.943,个体维度为0.917 ~ 0.946。分半信度系数为0.833,维度范围为0.919 ~ 0.947。重测信度系数为0.854,维度范围为0.805 ~ 0.959。该量表的S-CVI/Ave为0.918,各维度分别为0.925、0.906、0.896、0.948,均超过0.80。结论:研制的PLS-YMPH具有良好的信效度。它为评估这一特定患者群体的身体素质提供了一个有价值的工具,为该领域的进一步研究奠定了基础。
本文章由计算机程序翻译,如有差异,请以英文原文为准。

Development and validation of the physical literacy scale for young and middle-aged patients with hypertension.

Development and validation of the physical literacy scale for young and middle-aged patients with hypertension.

Background: In recent years, the significance of physical literacy in enhancing the well-being of patients with hypertension has gained increasing recognition. Physical literacy, defined as the motivation, confidence, physical competence, and knowledge and understanding necessary to engage in physical activities, plays a crucial role in promoting a healthy lifestyle. However, most existing studies have focused on the general population or specific subgroups, such as children, adolescents, and older adults, with limited attention to the unique needs of young and middle-aged patients with hypertension.

Objectives: The study aimed to develop and validate the physical literacy scale for young and middle-aged patients with hypertension (PLS-YMPH). We investigated the reliability and validity of this scale to evaluate its quality, providing a valid tool for assessing physical literacy in this specific group.

Methods: Initial items were developed through a literature review and face-to-face interviews. The item pool was modified based on the results of the two-round Delphi method. After forming the initial draft of the PLS-YMPH, items were screened using the critical ratio method, correlation coefficient method, Cronbach's α coefficient method, and exploratory factor analysis. Finally, reliability and validity tests were conducted. The content validity, construct validity, discriminant validity, as well as content reliability, split-half reliability, and test-retest reliability of the scale were calculated.

Results: The developed scale consists of 4 dimensions and 18 items. The Cronbach's α coefficient for the overall scale was 0.943, with individual dimensions ranging from 0.917 to 0.946. The split-half reliability coefficient was 0.833, and the dimensions ranged from 0.919 to 0.947. The test-retest reliability coefficient was 0.854, with dimensions ranging from 0.805 to 0.959. The S-CVI/Ave for the scale was 0.918, and the values for each dimension were 0.925, 0.906, 0.896, and 0.948, all exceeding 0.80.

Conclusions: The developed PLS-YMPH demonstrates good reliability and validity. It provides a valuable tool for assessing the physical literacy of this specific patient group, laying the groundwork for further research in this area.

求助全文
通过发布文献求助,成功后即可免费获取论文全文。 去求助
来源期刊
Journal of Health, Population, and Nutrition
Journal of Health, Population, and Nutrition 医学-公共卫生、环境卫生与职业卫生
CiteScore
2.20
自引率
0.00%
发文量
49
审稿时长
6 months
期刊介绍: Journal of Health, Population and Nutrition brings together research on all aspects of issues related to population, nutrition and health. The journal publishes articles across a broad range of topics including global health, maternal and child health, nutrition, common illnesses and determinants of population health.
×
引用
GB/T 7714-2015
复制
MLA
复制
APA
复制
导出至
BibTeX EndNote RefMan NoteFirst NoteExpress
×
提示
您的信息不完整,为了账户安全,请先补充。
现在去补充
×
提示
您因"违规操作"
具体请查看互助需知
我知道了
×
提示
确定
请完成安全验证×
copy
已复制链接
快去分享给好友吧!
我知道了
右上角分享
点击右上角分享
0
联系我们:info@booksci.cn Book学术提供免费学术资源搜索服务,方便国内外学者检索中英文文献。致力于提供最便捷和优质的服务体验。 Copyright © 2023 布克学术 All rights reserved.
京ICP备2023020795号-1
ghs 京公网安备 11010802042870号
Book学术文献互助
Book学术文献互助群
群 号:604180095
Book学术官方微信