封闭入路自体颗粒肋软骨鼻成形术术后并发症的影响因素分析及影像学图的构建与验证。

IF 1.6 4区 医学 Q2 SURGERY
Frontiers in Surgery Pub Date : 2025-09-15 eCollection Date: 2025-01-01 DOI:10.3389/fsurg.2025.1599790
Ye Ju, Jinlei Wang, Xiaohong Shi, Wentao Chi, Chenguang Zhan
{"title":"封闭入路自体颗粒肋软骨鼻成形术术后并发症的影响因素分析及影像学图的构建与验证。","authors":"Ye Ju, Jinlei Wang, Xiaohong Shi, Wentao Chi, Chenguang Zhan","doi":"10.3389/fsurg.2025.1599790","DOIUrl":null,"url":null,"abstract":"<p><strong>Objective: </strong>To construct a nomogram prediction model based on the risk factors of complications after augmentation rhinoplasty with autogenous granular costal cartilage through closed approach, and to explore its clinical application value.</p><p><strong>Methods: </strong>From June 2022 to June 2024, 214 patients in our hospital were selected and divided into training set (<i>n</i> = 150) and verification set (<i>n</i> = 64) according to the ratio of 7:3. In the training set, the risk factors of postoperative complications were analyzed by multivariate Logistic regression, and then the nomogram prediction model was constructed. The prediction efficiency of the model is evaluated by drawing ROC curve and calibration curve, and verified in the verification set. The decision curve analysis (DCA) was used to evaluate the clinical application value of the model.</p><p><strong>Results: </strong>Complications occurred in 31 cases (20.67%) in the training group and 13 cases (20.31%) in the verification group. There was no significant difference in the incidence and clinical characteristics between the two groups (<i>P</i> > 0.05). In the training set, older age, history of chronic diseases (chronic rhinitis), long operation time, large amount of bleeding during operation and thin skin on the back of nose were independent risk factors for complications (<i>P</i> < 0.05), and a nomogram prediction model was established accordingly. The model has good calibration and fitting degree in training set and verification set (C-index index is 0.857 and 0.848, average absolute error is 0.126 and 0.090, and <i>χ</i> <sup>2</sup> of Hosmer-Lemeshow test is 7.137, <i>P</i> = 0.521 and <i>χ</i> <sup>2</sup> = 5.923, <i>P</i> = 0.655). The ROC curve shows that the AUC of the training set and the validation set model for predicting postoperative complications are 0.851(95% CI: 0.764-0.937) and 0.855(95% CI: 0.675-1.000), and the sensitivity and specificity are 0.880, 0.725, 0.833 and 0.692, respectively.</p><p><strong>Conclusion: </strong>The nomogram prediction model based on risk factors is helpful for early prediction of complications after augmentation rhinoplasty, providing guidance for clinical decision-making, helping to reduce the risk of complications and improving the surgical effect and patient satisfaction.</p>","PeriodicalId":12564,"journal":{"name":"Frontiers in Surgery","volume":"12 ","pages":"1599790"},"PeriodicalIF":1.6000,"publicationDate":"2025-09-15","publicationTypes":"Journal Article","fieldsOfStudy":null,"isOpenAccess":false,"openAccessPdf":"https://www.ncbi.nlm.nih.gov/pmc/articles/PMC12477204/pdf/","citationCount":"0","resultStr":"{\"title\":\"Analysis of influencing factors on postoperative complications of closed approach autologous granular rib cartilage rhinoplasty and construction and verification of nomogram.\",\"authors\":\"Ye Ju, Jinlei Wang, Xiaohong Shi, Wentao Chi, Chenguang Zhan\",\"doi\":\"10.3389/fsurg.2025.1599790\",\"DOIUrl\":null,\"url\":null,\"abstract\":\"<p><strong>Objective: </strong>To construct a nomogram prediction model based on the risk factors of complications after augmentation rhinoplasty with autogenous granular costal cartilage through closed approach, and to explore its clinical application value.</p><p><strong>Methods: </strong>From June 2022 to June 2024, 214 patients in our hospital were selected and divided into training set (<i>n</i> = 150) and verification set (<i>n</i> = 64) according to the ratio of 7:3. In the training set, the risk factors of postoperative complications were analyzed by multivariate Logistic regression, and then the nomogram prediction model was constructed. The prediction efficiency of the model is evaluated by drawing ROC curve and calibration curve, and verified in the verification set. The decision curve analysis (DCA) was used to evaluate the clinical application value of the model.</p><p><strong>Results: </strong>Complications occurred in 31 cases (20.67%) in the training group and 13 cases (20.31%) in the verification group. There was no significant difference in the incidence and clinical characteristics between the two groups (<i>P</i> > 0.05). In the training set, older age, history of chronic diseases (chronic rhinitis), long operation time, large amount of bleeding during operation and thin skin on the back of nose were independent risk factors for complications (<i>P</i> < 0.05), and a nomogram prediction model was established accordingly. The model has good calibration and fitting degree in training set and verification set (C-index index is 0.857 and 0.848, average absolute error is 0.126 and 0.090, and <i>χ</i> <sup>2</sup> of Hosmer-Lemeshow test is 7.137, <i>P</i> = 0.521 and <i>χ</i> <sup>2</sup> = 5.923, <i>P</i> = 0.655). The ROC curve shows that the AUC of the training set and the validation set model for predicting postoperative complications are 0.851(95% CI: 0.764-0.937) and 0.855(95% CI: 0.675-1.000), and the sensitivity and specificity are 0.880, 0.725, 0.833 and 0.692, respectively.</p><p><strong>Conclusion: </strong>The nomogram prediction model based on risk factors is helpful for early prediction of complications after augmentation rhinoplasty, providing guidance for clinical decision-making, helping to reduce the risk of complications and improving the surgical effect and patient satisfaction.</p>\",\"PeriodicalId\":12564,\"journal\":{\"name\":\"Frontiers in Surgery\",\"volume\":\"12 \",\"pages\":\"1599790\"},\"PeriodicalIF\":1.6000,\"publicationDate\":\"2025-09-15\",\"publicationTypes\":\"Journal Article\",\"fieldsOfStudy\":null,\"isOpenAccess\":false,\"openAccessPdf\":\"https://www.ncbi.nlm.nih.gov/pmc/articles/PMC12477204/pdf/\",\"citationCount\":\"0\",\"resultStr\":null,\"platform\":\"Semanticscholar\",\"paperid\":null,\"PeriodicalName\":\"Frontiers in Surgery\",\"FirstCategoryId\":\"3\",\"ListUrlMain\":\"https://doi.org/10.3389/fsurg.2025.1599790\",\"RegionNum\":4,\"RegionCategory\":\"医学\",\"ArticlePicture\":[],\"TitleCN\":null,\"AbstractTextCN\":null,\"PMCID\":null,\"EPubDate\":\"2025/1/1 0:00:00\",\"PubModel\":\"eCollection\",\"JCR\":\"Q2\",\"JCRName\":\"SURGERY\",\"Score\":null,\"Total\":0}","platform":"Semanticscholar","paperid":null,"PeriodicalName":"Frontiers in Surgery","FirstCategoryId":"3","ListUrlMain":"https://doi.org/10.3389/fsurg.2025.1599790","RegionNum":4,"RegionCategory":"医学","ArticlePicture":[],"TitleCN":null,"AbstractTextCN":null,"PMCID":null,"EPubDate":"2025/1/1 0:00:00","PubModel":"eCollection","JCR":"Q2","JCRName":"SURGERY","Score":null,"Total":0}
引用次数: 0

摘要

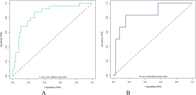
目的:建立基于封闭入路自体颗粒肋软骨隆鼻术后并发症危险因素的nomogram预测模型,并探讨其临床应用价值。方法:选取2022年6月至2024年6月我院214例患者,按7:3的比例分为训练集(n = 150)和验证集(n = 64)。在训练集中,对术后并发症的危险因素进行多因素Logistic回归分析,构建nomogram预测模型。通过绘制ROC曲线和标定曲线来评价模型的预测效率,并在验证集中进行验证。采用决策曲线分析(DCA)评价模型的临床应用价值。结果:训练组出现并发症31例(20.67%),验证组出现并发症13例(20.31%)。两组发病率及临床特征比较,差异无统计学意义(P < 0.05)。在训练集中,年龄较大、慢性疾病史(慢性鼻炎)、手术时间长、术中出血量大、鼻后皮肤薄是并发症发生的独立危险因素(Hosmer-Lemeshow检验P χ 2为7.137,P = 0.521, χ 2 = 5.923, P = 0.655)。ROC曲线显示,预测术后并发症的训练集和验证集模型AUC分别为0.851(95% CI: 0.764-0.937)和0.855(95% CI: 0.675-1.000),敏感性和特异性分别为0.880、0.725、0.833和0.692。结论:基于危险因素的nomogram预测模型有助于隆鼻术后并发症的早期预测,为临床决策提供指导,有助于降低并发症的发生风险,提高手术效果和患者满意度。
本文章由计算机程序翻译,如有差异,请以英文原文为准。

Analysis of influencing factors on postoperative complications of closed approach autologous granular rib cartilage rhinoplasty and construction and verification of nomogram.

Analysis of influencing factors on postoperative complications of closed approach autologous granular rib cartilage rhinoplasty and construction and verification of nomogram.

Analysis of influencing factors on postoperative complications of closed approach autologous granular rib cartilage rhinoplasty and construction and verification of nomogram.

Analysis of influencing factors on postoperative complications of closed approach autologous granular rib cartilage rhinoplasty and construction and verification of nomogram.

Objective: To construct a nomogram prediction model based on the risk factors of complications after augmentation rhinoplasty with autogenous granular costal cartilage through closed approach, and to explore its clinical application value.

Methods: From June 2022 to June 2024, 214 patients in our hospital were selected and divided into training set (n = 150) and verification set (n = 64) according to the ratio of 7:3. In the training set, the risk factors of postoperative complications were analyzed by multivariate Logistic regression, and then the nomogram prediction model was constructed. The prediction efficiency of the model is evaluated by drawing ROC curve and calibration curve, and verified in the verification set. The decision curve analysis (DCA) was used to evaluate the clinical application value of the model.

Results: Complications occurred in 31 cases (20.67%) in the training group and 13 cases (20.31%) in the verification group. There was no significant difference in the incidence and clinical characteristics between the two groups (P > 0.05). In the training set, older age, history of chronic diseases (chronic rhinitis), long operation time, large amount of bleeding during operation and thin skin on the back of nose were independent risk factors for complications (P < 0.05), and a nomogram prediction model was established accordingly. The model has good calibration and fitting degree in training set and verification set (C-index index is 0.857 and 0.848, average absolute error is 0.126 and 0.090, and χ 2 of Hosmer-Lemeshow test is 7.137, P = 0.521 and χ 2 = 5.923, P = 0.655). The ROC curve shows that the AUC of the training set and the validation set model for predicting postoperative complications are 0.851(95% CI: 0.764-0.937) and 0.855(95% CI: 0.675-1.000), and the sensitivity and specificity are 0.880, 0.725, 0.833 and 0.692, respectively.

Conclusion: The nomogram prediction model based on risk factors is helpful for early prediction of complications after augmentation rhinoplasty, providing guidance for clinical decision-making, helping to reduce the risk of complications and improving the surgical effect and patient satisfaction.

求助全文
通过发布文献求助,成功后即可免费获取论文全文。 去求助
来源期刊
Frontiers in Surgery
Frontiers in Surgery Medicine-Surgery
CiteScore
1.90
自引率
11.10%
发文量
1872
审稿时长
12 weeks
期刊介绍: Evidence of surgical interventions go back to prehistoric times. Since then, the field of surgery has developed into a complex array of specialties and procedures, particularly with the advent of microsurgery, lasers and minimally invasive techniques. The advanced skills now required from surgeons has led to ever increasing specialization, though these still share important fundamental principles. Frontiers in Surgery is the umbrella journal representing the publication interests of all surgical specialties. It is divided into several “Specialty Sections” listed below. All these sections have their own Specialty Chief Editor, Editorial Board and homepage, but all articles carry the citation Frontiers in Surgery. Frontiers in Surgery calls upon medical professionals and scientists from all surgical specialties to publish their experimental and clinical studies in this journal. By assembling all surgical specialties, which nonetheless retain their independence, under the common umbrella of Frontiers in Surgery, a powerful publication venue is created. Since there is often overlap and common ground between the different surgical specialties, assembly of all surgical disciplines into a single journal will foster a collaborative dialogue amongst the surgical community. This means that publications, which are also of interest to other surgical specialties, will reach a wider audience and have greater impact. The aim of this multidisciplinary journal is to create a discussion and knowledge platform of advances and research findings in surgical practice today to continuously improve clinical management of patients and foster innovation in this field.
×
引用
GB/T 7714-2015
复制
MLA
复制
APA
复制
导出至
BibTeX EndNote RefMan NoteFirst NoteExpress
×
提示
您的信息不完整,为了账户安全,请先补充。
现在去补充
×
提示
您因"违规操作"
具体请查看互助需知
我知道了
×
提示
确定
请完成安全验证×
copy
已复制链接
快去分享给好友吧!
我知道了
右上角分享
点击右上角分享
0
联系我们:info@booksci.cn Book学术提供免费学术资源搜索服务,方便国内外学者检索中英文文献。致力于提供最便捷和优质的服务体验。 Copyright © 2023 布克学术 All rights reserved.
京ICP备2023020795号-1
ghs 京公网安备 11010802042870号
Book学术文献互助
Book学术文献互助群
群 号:604180095
Book学术官方微信