基于随机森林模型的胃癌化疗患者自我超越状况及影响因素分析

IF 3.2 3区 医学 Q2 PSYCHIATRY
Frontiers in Psychiatry Pub Date : 2025-09-15 eCollection Date: 2025-01-01 DOI:10.3389/fpsyt.2025.1641453
Qin Wang, Guoqin Ren, Li Sun, Xumiao Zhang, Hongxia Hua, Yanglin Gu
{"title":"基于随机森林模型的胃癌化疗患者自我超越状况及影响因素分析","authors":"Qin Wang, Guoqin Ren, Li Sun, Xumiao Zhang, Hongxia Hua, Yanglin Gu","doi":"10.3389/fpsyt.2025.1641453","DOIUrl":null,"url":null,"abstract":"<p><strong>Objective: </strong>To investigate the current status and determinants of self-transcendence in gastric cancer patients undergoing chemotherapy and to establish a foundation for clinical development of interventions.</p><p><strong>Methods: </strong>A convenience sampling method was employed to select 507 gastric cancer patients undergoing chemotherapy in the oncology department of a tertiary hospital in Wuxi City, Jiangsu Province, from October 2024 to May 2025. Questionnaire surveys were carried out using the Demographic Characteristics Questionnaire, Brief Illness Perception Questionnaire, Herth Hope Index, Medical Coping Modes Questionnaire, and Self-Transcendence Scale. A random forest model and LASSO regression were used to rank the importance of influencing factors and select characteristic variables. Then, multiple linear regression analyses were combined to determine the main influencing factors.</p><p><strong>Results: </strong>The mean value of the self-transcendence score of gastric cancer patients undergoing chemotherapy was 44.08. The random forest model results demonstrated that prioritizing the key variables was most effective at a lambda (λ) value of 0.048, which aligned with five influencing factors. The independent variables with the top five importance rankings were the degree of confrontation, the self-rated health status, the degree of resignation, the level of hope, and the degree of avoidance. Multiple linear regression analysis revealed that self-transcendence in gastric cancer patients undergoing chemotherapy was predominantly affected by confrontation degree, self-rated health status, resignation degree, hope level, and avoidance degree (<i>P</i><0.05).</p><p><strong>Conclusion: </strong>The self-transcendence level of gastric cancer patients undergoing chemotherapy is observed to be in the moderate to low spectrum. Healthcare personnel can improve this level by targeting the relevant influencing factors, thereby enhancing quality of life during chemotherapy.</p>","PeriodicalId":12605,"journal":{"name":"Frontiers in Psychiatry","volume":"16 ","pages":"1641453"},"PeriodicalIF":3.2000,"publicationDate":"2025-09-15","publicationTypes":"Journal Article","fieldsOfStudy":null,"isOpenAccess":false,"openAccessPdf":"https://www.ncbi.nlm.nih.gov/pmc/articles/PMC12477446/pdf/","citationCount":"0","resultStr":"{\"title\":\"Analysis of self-transcendence status and influencing factors in gastric cancer patients undergoing chemotherapy: a random forest model-based study.\",\"authors\":\"Qin Wang, Guoqin Ren, Li Sun, Xumiao Zhang, Hongxia Hua, Yanglin Gu\",\"doi\":\"10.3389/fpsyt.2025.1641453\",\"DOIUrl\":null,\"url\":null,\"abstract\":\"<p><strong>Objective: </strong>To investigate the current status and determinants of self-transcendence in gastric cancer patients undergoing chemotherapy and to establish a foundation for clinical development of interventions.</p><p><strong>Methods: </strong>A convenience sampling method was employed to select 507 gastric cancer patients undergoing chemotherapy in the oncology department of a tertiary hospital in Wuxi City, Jiangsu Province, from October 2024 to May 2025. Questionnaire surveys were carried out using the Demographic Characteristics Questionnaire, Brief Illness Perception Questionnaire, Herth Hope Index, Medical Coping Modes Questionnaire, and Self-Transcendence Scale. A random forest model and LASSO regression were used to rank the importance of influencing factors and select characteristic variables. Then, multiple linear regression analyses were combined to determine the main influencing factors.</p><p><strong>Results: </strong>The mean value of the self-transcendence score of gastric cancer patients undergoing chemotherapy was 44.08. The random forest model results demonstrated that prioritizing the key variables was most effective at a lambda (λ) value of 0.048, which aligned with five influencing factors. The independent variables with the top five importance rankings were the degree of confrontation, the self-rated health status, the degree of resignation, the level of hope, and the degree of avoidance. Multiple linear regression analysis revealed that self-transcendence in gastric cancer patients undergoing chemotherapy was predominantly affected by confrontation degree, self-rated health status, resignation degree, hope level, and avoidance degree (<i>P</i><0.05).</p><p><strong>Conclusion: </strong>The self-transcendence level of gastric cancer patients undergoing chemotherapy is observed to be in the moderate to low spectrum. Healthcare personnel can improve this level by targeting the relevant influencing factors, thereby enhancing quality of life during chemotherapy.</p>\",\"PeriodicalId\":12605,\"journal\":{\"name\":\"Frontiers in Psychiatry\",\"volume\":\"16 \",\"pages\":\"1641453\"},\"PeriodicalIF\":3.2000,\"publicationDate\":\"2025-09-15\",\"publicationTypes\":\"Journal Article\",\"fieldsOfStudy\":null,\"isOpenAccess\":false,\"openAccessPdf\":\"https://www.ncbi.nlm.nih.gov/pmc/articles/PMC12477446/pdf/\",\"citationCount\":\"0\",\"resultStr\":null,\"platform\":\"Semanticscholar\",\"paperid\":null,\"PeriodicalName\":\"Frontiers in Psychiatry\",\"FirstCategoryId\":\"3\",\"ListUrlMain\":\"https://doi.org/10.3389/fpsyt.2025.1641453\",\"RegionNum\":3,\"RegionCategory\":\"医学\",\"ArticlePicture\":[],\"TitleCN\":null,\"AbstractTextCN\":null,\"PMCID\":null,\"EPubDate\":\"2025/1/1 0:00:00\",\"PubModel\":\"eCollection\",\"JCR\":\"Q2\",\"JCRName\":\"PSYCHIATRY\",\"Score\":null,\"Total\":0}","platform":"Semanticscholar","paperid":null,"PeriodicalName":"Frontiers in Psychiatry","FirstCategoryId":"3","ListUrlMain":"https://doi.org/10.3389/fpsyt.2025.1641453","RegionNum":3,"RegionCategory":"医学","ArticlePicture":[],"TitleCN":null,"AbstractTextCN":null,"PMCID":null,"EPubDate":"2025/1/1 0:00:00","PubModel":"eCollection","JCR":"Q2","JCRName":"PSYCHIATRY","Score":null,"Total":0}
引用次数: 0

摘要

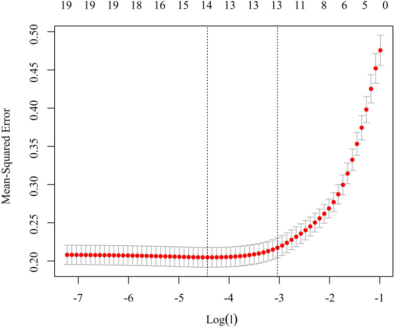
目的:了解胃癌化疗患者自我超越的现状及影响因素,为临床制定干预措施奠定基础。方法:采用方便抽样的方法,选取江苏省无锡市某三级医院肿瘤科于2024年10月至2025年5月接受化疗的507例胃癌患者。采用人口统计学特征问卷、简要疾病感知问卷、赫斯希望指数、医疗应对方式问卷和自我超越量表进行问卷调查。采用随机森林模型和LASSO回归对影响因素的重要性进行排序,选择特征变量。然后结合多元线性回归分析确定主要影响因素。结果:胃癌化疗患者自我超越得分均值为44.08分。随机森林模型结果表明,在lambda (λ)值为0.048时,对关键变量进行优先排序最有效,这与五个影响因素一致。重要性排名前五的自变量为对抗程度、自评健康状况、顺从程度、希望程度和回避程度。多元线性回归分析显示,胃癌化疗患者的自我超越主要受对抗程度、自评健康状况、放弃程度、希望程度和回避程度的影响(p)。结论:胃癌化疗患者的自我超越水平处于中低谱。医护人员可以针对相关影响因素提高这一水平,从而提高化疗期间的生活质量。
本文章由计算机程序翻译,如有差异,请以英文原文为准。

Analysis of self-transcendence status and influencing factors in gastric cancer patients undergoing chemotherapy: a random forest model-based study.

Analysis of self-transcendence status and influencing factors in gastric cancer patients undergoing chemotherapy: a random forest model-based study.

Analysis of self-transcendence status and influencing factors in gastric cancer patients undergoing chemotherapy: a random forest model-based study.

Objective: To investigate the current status and determinants of self-transcendence in gastric cancer patients undergoing chemotherapy and to establish a foundation for clinical development of interventions.

Methods: A convenience sampling method was employed to select 507 gastric cancer patients undergoing chemotherapy in the oncology department of a tertiary hospital in Wuxi City, Jiangsu Province, from October 2024 to May 2025. Questionnaire surveys were carried out using the Demographic Characteristics Questionnaire, Brief Illness Perception Questionnaire, Herth Hope Index, Medical Coping Modes Questionnaire, and Self-Transcendence Scale. A random forest model and LASSO regression were used to rank the importance of influencing factors and select characteristic variables. Then, multiple linear regression analyses were combined to determine the main influencing factors.

Results: The mean value of the self-transcendence score of gastric cancer patients undergoing chemotherapy was 44.08. The random forest model results demonstrated that prioritizing the key variables was most effective at a lambda (λ) value of 0.048, which aligned with five influencing factors. The independent variables with the top five importance rankings were the degree of confrontation, the self-rated health status, the degree of resignation, the level of hope, and the degree of avoidance. Multiple linear regression analysis revealed that self-transcendence in gastric cancer patients undergoing chemotherapy was predominantly affected by confrontation degree, self-rated health status, resignation degree, hope level, and avoidance degree (P<0.05).

Conclusion: The self-transcendence level of gastric cancer patients undergoing chemotherapy is observed to be in the moderate to low spectrum. Healthcare personnel can improve this level by targeting the relevant influencing factors, thereby enhancing quality of life during chemotherapy.

求助全文
通过发布文献求助,成功后即可免费获取论文全文。 去求助
来源期刊
Frontiers in Psychiatry
Frontiers in Psychiatry Medicine-Psychiatry and Mental Health
CiteScore
6.20
自引率
8.50%
发文量
2813
审稿时长
14 weeks
期刊介绍: Frontiers in Psychiatry publishes rigorously peer-reviewed research across a wide spectrum of translational, basic and clinical research. Field Chief Editor Stefan Borgwardt at the University of Basel is supported by an outstanding Editorial Board of international researchers. This multidisciplinary open-access journal is at the forefront of disseminating and communicating scientific knowledge and impactful discoveries to researchers, academics, clinicians and the public worldwide. The journal''s mission is to use translational approaches to improve therapeutic options for mental illness and consequently to improve patient treatment outcomes.
×
引用
GB/T 7714-2015
复制
MLA
复制
APA
复制
导出至
BibTeX EndNote RefMan NoteFirst NoteExpress
×
提示
您的信息不完整,为了账户安全,请先补充。
现在去补充
×
提示
您因"违规操作"
具体请查看互助需知
我知道了
×
提示
确定
请完成安全验证×
copy
已复制链接
快去分享给好友吧!
我知道了
右上角分享
点击右上角分享
0
联系我们:info@booksci.cn Book学术提供免费学术资源搜索服务,方便国内外学者检索中英文文献。致力于提供最便捷和优质的服务体验。 Copyright © 2023 布克学术 All rights reserved.
京ICP备2023020795号-1
ghs 京公网安备 11010802042870号
Book学术文献互助
Book学术文献互助群
群 号:604180095
Book学术官方微信