氨基酸代谢相关基因的遗传变异与甲状腺乳头状癌的风险相关:一项病例对照研究。

IF 3.3 3区 医学 Q3 ENDOCRINOLOGY & METABOLISM
Hongjing Meng, Zhifu Xiao, Qiang Wang, Dewei Li, Zhuyan Li
{"title":"氨基酸代谢相关基因的遗传变异与甲状腺乳头状癌的风险相关:一项病例对照研究。","authors":"Hongjing Meng, Zhifu Xiao, Qiang Wang, Dewei Li, Zhuyan Li","doi":"10.1186/s12902-025-02034-8","DOIUrl":null,"url":null,"abstract":"<p><strong>Background: </strong>Abnormal amino acid metabolic pathways, especially those of glutamine, serine and proline, are crucial to tumourigenesis and the development of papillary thyroid carcinoma (PTC). However, genetic variants in key genes regulating these metabolic pathways remain poorly characterized in PTC.</p><p><strong>Methods: </strong>Seven SNPs in the SLC1A5, SLC1A3, SHMT1, and PRODH genes were genotyped in 620 patients with PTC and 620 controls using a flight mass spectrometry platform.</p><p><strong>Results: </strong>The frequency of the minor allele A of SLC1A5-rs2070246 was significantly greater in the PTC group than in the control group, thereby increasing the risk of PTC by 1.587 times (p < 0.0001). Similarly, the minor alleles C, T and A of SLC1A3-rs16903247, SHMT1-rs4925166 and PRODH-rs372055 increased susceptibility to PTC by 2.584, 1.346 and 1.349 times, respectively (p<sub>rs16903247</sub> < 0.0001, p<sub>rs4925166</sub> = 0.00024, and p<sub>rs372055</sub>= 0.001, respectively). Moreover, carriers of the rs2070246-GA/AA genotype had a 1.77- and 2.35-fold increased risk of PTC, and the rs16903247-PTC/CC genotype was associated with a 2.42- and 9.46-fold increased risk of PTC (p < 0.0001). In addition, carriers of the TG or TT genotypes of rs4925166 and the AA genotype of rs372055 all presented a greater risk of PTC (p<sub>rs4925166</sub> = 0.0005, p<sub>rs372055</sub>= 0.0021). Genetic model data further confirmed that the above four SNPs indeed increased the individual's sensitivity to PTC, as these SNPs were all associated with an elevated disease risk under different models (Bonferroni p < 0.0014).</p><p><strong>Conclusion: </strong>Our results revealed significant associations between amino acid metabolism gene polymorphisms and PTC risk, suggesting potential biomarkers for PTC susceptibility.</p>","PeriodicalId":9152,"journal":{"name":"BMC Endocrine Disorders","volume":"25 1","pages":"214"},"PeriodicalIF":3.3000,"publicationDate":"2025-09-30","publicationTypes":"Journal Article","fieldsOfStudy":null,"isOpenAccess":false,"openAccessPdf":"https://www.ncbi.nlm.nih.gov/pmc/articles/PMC12482349/pdf/","citationCount":"0","resultStr":"{\"title\":\"Genetic variations in amino acid metabolism-related genes are associated with risk of papillary thyroid carcinoma: a case-control study.\",\"authors\":\"Hongjing Meng, Zhifu Xiao, Qiang Wang, Dewei Li, Zhuyan Li\",\"doi\":\"10.1186/s12902-025-02034-8\",\"DOIUrl\":null,\"url\":null,\"abstract\":\"<p><strong>Background: </strong>Abnormal amino acid metabolic pathways, especially those of glutamine, serine and proline, are crucial to tumourigenesis and the development of papillary thyroid carcinoma (PTC). However, genetic variants in key genes regulating these metabolic pathways remain poorly characterized in PTC.</p><p><strong>Methods: </strong>Seven SNPs in the SLC1A5, SLC1A3, SHMT1, and PRODH genes were genotyped in 620 patients with PTC and 620 controls using a flight mass spectrometry platform.</p><p><strong>Results: </strong>The frequency of the minor allele A of SLC1A5-rs2070246 was significantly greater in the PTC group than in the control group, thereby increasing the risk of PTC by 1.587 times (p < 0.0001). Similarly, the minor alleles C, T and A of SLC1A3-rs16903247, SHMT1-rs4925166 and PRODH-rs372055 increased susceptibility to PTC by 2.584, 1.346 and 1.349 times, respectively (p<sub>rs16903247</sub> < 0.0001, p<sub>rs4925166</sub> = 0.00024, and p<sub>rs372055</sub>= 0.001, respectively). Moreover, carriers of the rs2070246-GA/AA genotype had a 1.77- and 2.35-fold increased risk of PTC, and the rs16903247-PTC/CC genotype was associated with a 2.42- and 9.46-fold increased risk of PTC (p < 0.0001). In addition, carriers of the TG or TT genotypes of rs4925166 and the AA genotype of rs372055 all presented a greater risk of PTC (p<sub>rs4925166</sub> = 0.0005, p<sub>rs372055</sub>= 0.0021). Genetic model data further confirmed that the above four SNPs indeed increased the individual's sensitivity to PTC, as these SNPs were all associated with an elevated disease risk under different models (Bonferroni p < 0.0014).</p><p><strong>Conclusion: </strong>Our results revealed significant associations between amino acid metabolism gene polymorphisms and PTC risk, suggesting potential biomarkers for PTC susceptibility.</p>\",\"PeriodicalId\":9152,\"journal\":{\"name\":\"BMC Endocrine Disorders\",\"volume\":\"25 1\",\"pages\":\"214\"},\"PeriodicalIF\":3.3000,\"publicationDate\":\"2025-09-30\",\"publicationTypes\":\"Journal Article\",\"fieldsOfStudy\":null,\"isOpenAccess\":false,\"openAccessPdf\":\"https://www.ncbi.nlm.nih.gov/pmc/articles/PMC12482349/pdf/\",\"citationCount\":\"0\",\"resultStr\":null,\"platform\":\"Semanticscholar\",\"paperid\":null,\"PeriodicalName\":\"BMC Endocrine Disorders\",\"FirstCategoryId\":\"3\",\"ListUrlMain\":\"https://doi.org/10.1186/s12902-025-02034-8\",\"RegionNum\":3,\"RegionCategory\":\"医学\",\"ArticlePicture\":[],\"TitleCN\":null,\"AbstractTextCN\":null,\"PMCID\":null,\"EPubDate\":\"\",\"PubModel\":\"\",\"JCR\":\"Q3\",\"JCRName\":\"ENDOCRINOLOGY & METABOLISM\",\"Score\":null,\"Total\":0}","platform":"Semanticscholar","paperid":null,"PeriodicalName":"BMC Endocrine Disorders","FirstCategoryId":"3","ListUrlMain":"https://doi.org/10.1186/s12902-025-02034-8","RegionNum":3,"RegionCategory":"医学","ArticlePicture":[],"TitleCN":null,"AbstractTextCN":null,"PMCID":null,"EPubDate":"","PubModel":"","JCR":"Q3","JCRName":"ENDOCRINOLOGY & METABOLISM","Score":null,"Total":0}
引用次数: 0

摘要

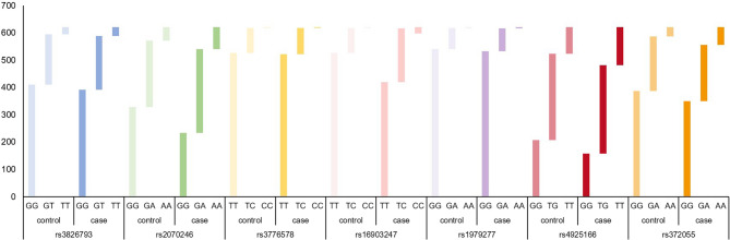
背景:异常的氨基酸代谢途径,尤其是谷氨酰胺、丝氨酸和脯氨酸的代谢途径,在肿瘤的发生和发展中起着至关重要的作用。然而,调节这些代谢途径的关键基因的遗传变异在PTC中仍然缺乏特征。方法:利用飞行质谱分析平台,对620例PTC患者和620例对照组的SLC1A5、SLC1A3、SHMT1和PRODH基因中的7个snp基因进行分型。结果:PTC组SLC1A5-rs2070246小等位基因A的频率显著高于对照组,PTC的风险增加了1.587倍(p rs16903247 < 0.0001, prs4925166 = 0.00024, prs372055= 0.001)。此外,rs2070246-GA/AA基因型携带者患PTC的风险分别增加1.77和2.35倍,rs16903247-PTC/CC基因型携带者患PTC的风险分别增加2.42和9.46倍(p值rs4925166 = 0.0005, prs372055= 0.0021)。遗传模型数据进一步证实,上述4个snp确实增加了个体对PTC的敏感性,因为这些snp在不同的模型下都与疾病风险升高相关(Bonferroni p)。结论:我们的研究结果揭示了氨基酸代谢基因多态性与PTC风险之间的显著相关性,提示了PTC易感性的潜在生物标志物。
本文章由计算机程序翻译,如有差异,请以英文原文为准。

Genetic variations in amino acid metabolism-related genes are associated with risk of papillary thyroid carcinoma: a case-control study.

Genetic variations in amino acid metabolism-related genes are associated with risk of papillary thyroid carcinoma: a case-control study.

Background: Abnormal amino acid metabolic pathways, especially those of glutamine, serine and proline, are crucial to tumourigenesis and the development of papillary thyroid carcinoma (PTC). However, genetic variants in key genes regulating these metabolic pathways remain poorly characterized in PTC.

Methods: Seven SNPs in the SLC1A5, SLC1A3, SHMT1, and PRODH genes were genotyped in 620 patients with PTC and 620 controls using a flight mass spectrometry platform.

Results: The frequency of the minor allele A of SLC1A5-rs2070246 was significantly greater in the PTC group than in the control group, thereby increasing the risk of PTC by 1.587 times (p < 0.0001). Similarly, the minor alleles C, T and A of SLC1A3-rs16903247, SHMT1-rs4925166 and PRODH-rs372055 increased susceptibility to PTC by 2.584, 1.346 and 1.349 times, respectively (prs16903247 < 0.0001, prs4925166 = 0.00024, and prs372055= 0.001, respectively). Moreover, carriers of the rs2070246-GA/AA genotype had a 1.77- and 2.35-fold increased risk of PTC, and the rs16903247-PTC/CC genotype was associated with a 2.42- and 9.46-fold increased risk of PTC (p < 0.0001). In addition, carriers of the TG or TT genotypes of rs4925166 and the AA genotype of rs372055 all presented a greater risk of PTC (prs4925166 = 0.0005, prs372055= 0.0021). Genetic model data further confirmed that the above four SNPs indeed increased the individual's sensitivity to PTC, as these SNPs were all associated with an elevated disease risk under different models (Bonferroni p < 0.0014).

Conclusion: Our results revealed significant associations between amino acid metabolism gene polymorphisms and PTC risk, suggesting potential biomarkers for PTC susceptibility.

求助全文
通过发布文献求助,成功后即可免费获取论文全文。 去求助
来源期刊
BMC Endocrine Disorders
BMC Endocrine Disorders ENDOCRINOLOGY & METABOLISM-
CiteScore
4.40
自引率
0.00%
发文量
280
审稿时长
>12 weeks
期刊介绍: BMC Endocrine Disorders is an open access, peer-reviewed journal that considers articles on all aspects of the prevention, diagnosis and management of endocrine disorders, as well as related molecular genetics, pathophysiology, and epidemiology.
×
引用
GB/T 7714-2015
复制
MLA
复制
APA
复制
导出至
BibTeX EndNote RefMan NoteFirst NoteExpress
×
提示
您的信息不完整,为了账户安全,请先补充。
现在去补充
×
提示
您因"违规操作"
具体请查看互助需知
我知道了
×
提示
确定
请完成安全验证×
copy
已复制链接
快去分享给好友吧!
我知道了
右上角分享
点击右上角分享
0
联系我们:info@booksci.cn Book学术提供免费学术资源搜索服务,方便国内外学者检索中英文文献。致力于提供最便捷和优质的服务体验。 Copyright © 2023 布克学术 All rights reserved.
京ICP备2023020795号-1
ghs 京公网安备 11010802042870号
Book学术文献互助
Book学术文献互助群
群 号:604180095
Book学术官方微信