甘油三酯-葡萄糖指数变化对接受降脂治疗的冠状动脉疾病患者粥样硬化性脂质谱的影响:一项前瞻性队列研究

IF 10.6 1区 医学 Q1 CARDIAC & CARDIOVASCULAR SYSTEMS
Zhi-Fan Li, Zheng Yin, Xi Li, Meng-Ying Lu, Wen-Jia Zhang, Fang Luo, Yan-Lu Xu, Jian-Jun Li, Ke-Fei Dou, Xiao Wang, Hong Qiu, Na-Qiong Wu
{"title":"甘油三酯-葡萄糖指数变化对接受降脂治疗的冠状动脉疾病患者粥样硬化性脂质谱的影响:一项前瞻性队列研究","authors":"Zhi-Fan Li, Zheng Yin, Xi Li, Meng-Ying Lu, Wen-Jia Zhang, Fang Luo, Yan-Lu Xu, Jian-Jun Li, Ke-Fei Dou, Xiao Wang, Hong Qiu, Na-Qiong Wu","doi":"10.1186/s12933-025-02910-6","DOIUrl":null,"url":null,"abstract":"<p><strong>Background: </strong>Insulin resistance (IR) is a key driver of cardiovascular disease. The triglyceride-glucose (TyG) index, derived from fasting triglyceride and glucose levels, has been proposed as a surrogate marker of IR. However, its effect on lipid control in patients with coronary artery disease (CAD) receiving lipid-lowering therapy (LLT) remains unclear.</p><p><strong>Methods: </strong>In this prospective cohort study, biochemical parameters of 1393 CAD patients were measured and followed over a median of one year. Participants received either low-/moderate-intensity LLT or high-intensity LLT. Linear regression models, logistic regression analyses, and change-to-change analyses were conducted to comprehensively assess the associations between baseline levels, longitudinal changes, and status transitions of the TyG index and lipid parameters.</p><p><strong>Results: </strong>Lipid levels differed significantly across TyG index tertiles, with the highest tertile showing more adverse profiles at baseline and follow-up. Higher baseline TyG levels were independently associated with increased follow-up atherogenic lipid parameters and failure to achieve targets of non-high-density lipoprotein cholesterol (Non-HDL-C, OR = 1.23, 95% CI 1.01-1.51) and remnant cholesterol (RC, OR = 1.38, 95% CI 1.09-1.76). Participants in the highest tertile had the highest odds of not achieving targets for LDL-C, Non-HDL-C, and RC. Each 1% increase in the index was associated with percent increases in lipids including LDL-C (β = 1.10), Non-HDL-C (β = 1.81), and RC (β = 4.92, all P < 0.001). Patients transitioning from the lowest to the highest TyG tertile showed significant lipid worsening, while improvement from the highest to the lowest tertile was associated with reductions in RC and Non-HDL-C. High-intensity LLT led to greater reductions in TyG and lipid levels, mitigating the adverse lipid effects of TyG elevation. The adverse effects were also more evident in women and in those with obesity or prior revascularization.</p><p><strong>Conclusions: </strong>Higher TyG levels were positively associated with atherogenic lipid profiles and failure to achieve lipid goals. In addition, upward changes in TyG over time were related to worsened atherogenic lipid status, particularly among patients receiving low-/moderate-intensity LLT. These findings support the routine monitoring of TyG to identify patients at risk of poor lipid control who may require high-intensity LLT.</p>","PeriodicalId":9374,"journal":{"name":"Cardiovascular Diabetology","volume":"24 1","pages":"372"},"PeriodicalIF":10.6000,"publicationDate":"2025-09-30","publicationTypes":"Journal Article","fieldsOfStudy":null,"isOpenAccess":false,"openAccessPdf":"https://www.ncbi.nlm.nih.gov/pmc/articles/PMC12487573/pdf/","citationCount":"0","resultStr":"{\"title\":\"Effect of changes in the triglyceride-glucose index on atherogenic lipid profiles in coronary artery disease patients receiving lipid-lowering therapy: a prospective cohort study.\",\"authors\":\"Zhi-Fan Li, Zheng Yin, Xi Li, Meng-Ying Lu, Wen-Jia Zhang, Fang Luo, Yan-Lu Xu, Jian-Jun Li, Ke-Fei Dou, Xiao Wang, Hong Qiu, Na-Qiong Wu\",\"doi\":\"10.1186/s12933-025-02910-6\",\"DOIUrl\":null,\"url\":null,\"abstract\":\"<p><strong>Background: </strong>Insulin resistance (IR) is a key driver of cardiovascular disease. The triglyceride-glucose (TyG) index, derived from fasting triglyceride and glucose levels, has been proposed as a surrogate marker of IR. However, its effect on lipid control in patients with coronary artery disease (CAD) receiving lipid-lowering therapy (LLT) remains unclear.</p><p><strong>Methods: </strong>In this prospective cohort study, biochemical parameters of 1393 CAD patients were measured and followed over a median of one year. Participants received either low-/moderate-intensity LLT or high-intensity LLT. Linear regression models, logistic regression analyses, and change-to-change analyses were conducted to comprehensively assess the associations between baseline levels, longitudinal changes, and status transitions of the TyG index and lipid parameters.</p><p><strong>Results: </strong>Lipid levels differed significantly across TyG index tertiles, with the highest tertile showing more adverse profiles at baseline and follow-up. Higher baseline TyG levels were independently associated with increased follow-up atherogenic lipid parameters and failure to achieve targets of non-high-density lipoprotein cholesterol (Non-HDL-C, OR = 1.23, 95% CI 1.01-1.51) and remnant cholesterol (RC, OR = 1.38, 95% CI 1.09-1.76). Participants in the highest tertile had the highest odds of not achieving targets for LDL-C, Non-HDL-C, and RC. Each 1% increase in the index was associated with percent increases in lipids including LDL-C (β = 1.10), Non-HDL-C (β = 1.81), and RC (β = 4.92, all P < 0.001). Patients transitioning from the lowest to the highest TyG tertile showed significant lipid worsening, while improvement from the highest to the lowest tertile was associated with reductions in RC and Non-HDL-C. High-intensity LLT led to greater reductions in TyG and lipid levels, mitigating the adverse lipid effects of TyG elevation. The adverse effects were also more evident in women and in those with obesity or prior revascularization.</p><p><strong>Conclusions: </strong>Higher TyG levels were positively associated with atherogenic lipid profiles and failure to achieve lipid goals. In addition, upward changes in TyG over time were related to worsened atherogenic lipid status, particularly among patients receiving low-/moderate-intensity LLT. These findings support the routine monitoring of TyG to identify patients at risk of poor lipid control who may require high-intensity LLT.</p>\",\"PeriodicalId\":9374,\"journal\":{\"name\":\"Cardiovascular Diabetology\",\"volume\":\"24 1\",\"pages\":\"372\"},\"PeriodicalIF\":10.6000,\"publicationDate\":\"2025-09-30\",\"publicationTypes\":\"Journal Article\",\"fieldsOfStudy\":null,\"isOpenAccess\":false,\"openAccessPdf\":\"https://www.ncbi.nlm.nih.gov/pmc/articles/PMC12487573/pdf/\",\"citationCount\":\"0\",\"resultStr\":null,\"platform\":\"Semanticscholar\",\"paperid\":null,\"PeriodicalName\":\"Cardiovascular Diabetology\",\"FirstCategoryId\":\"3\",\"ListUrlMain\":\"https://doi.org/10.1186/s12933-025-02910-6\",\"RegionNum\":1,\"RegionCategory\":\"医学\",\"ArticlePicture\":[],\"TitleCN\":null,\"AbstractTextCN\":null,\"PMCID\":null,\"EPubDate\":\"\",\"PubModel\":\"\",\"JCR\":\"Q1\",\"JCRName\":\"CARDIAC & CARDIOVASCULAR SYSTEMS\",\"Score\":null,\"Total\":0}","platform":"Semanticscholar","paperid":null,"PeriodicalName":"Cardiovascular Diabetology","FirstCategoryId":"3","ListUrlMain":"https://doi.org/10.1186/s12933-025-02910-6","RegionNum":1,"RegionCategory":"医学","ArticlePicture":[],"TitleCN":null,"AbstractTextCN":null,"PMCID":null,"EPubDate":"","PubModel":"","JCR":"Q1","JCRName":"CARDIAC & CARDIOVASCULAR SYSTEMS","Score":null,"Total":0}
引用次数: 0

摘要

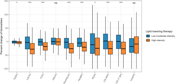
背景:胰岛素抵抗(IR)是心血管疾病的关键驱动因素。由空腹甘油三酯和葡萄糖水平得出的甘油三酯-葡萄糖(TyG)指数已被提议作为IR的替代标志物。然而,在接受降脂治疗(LLT)的冠状动脉疾病(CAD)患者中,其对脂质控制的影响尚不清楚。方法:在这项前瞻性队列研究中,测量了1393例CAD患者的生化参数,并进行了中位随访一年。参与者接受低/中等强度的LLT或高强度的LLT。采用线性回归模型、logistic回归分析、change-to-change分析,综合评价TyG指数与血脂参数基线水平、纵向变化、状态转变之间的关系。结果:血脂水平在TyG指数三萜类中有显著差异,在基线和随访中,最高的三萜类显示出更多的不良特征。较高的基线TyG水平与后续动脉粥样硬化性脂质参数增加以及未能达到非高密度脂蛋白胆固醇(Non-HDL-C, OR = 1.23, 95% CI 1.01-1.51)和残留胆固醇(RC, OR = 1.38, 95% CI 1.09-1.76)的目标独立相关。最高分位数的参与者没有达到LDL-C、非hdl - c和RC目标的几率最高。该指数每升高1%,LDL-C (β = 1.10)、非hdl - c (β = 1.81)和RC (β = 4.92)等血脂均升高1%,均为P。结论:较高的TyG水平与致动脉粥样硬化性脂质谱和未能达到脂质目标呈正相关。此外,TyG随时间升高与动脉粥样硬化脂质状态恶化有关,特别是在接受低/中等强度LLT的患者中。这些发现支持对TyG进行常规监测,以识别可能需要高强度LLT的血脂控制不良风险患者。
本文章由计算机程序翻译,如有差异,请以英文原文为准。

Effect of changes in the triglyceride-glucose index on atherogenic lipid profiles in coronary artery disease patients receiving lipid-lowering therapy: a prospective cohort study.

Effect of changes in the triglyceride-glucose index on atherogenic lipid profiles in coronary artery disease patients receiving lipid-lowering therapy: a prospective cohort study.

Effect of changes in the triglyceride-glucose index on atherogenic lipid profiles in coronary artery disease patients receiving lipid-lowering therapy: a prospective cohort study.

Effect of changes in the triglyceride-glucose index on atherogenic lipid profiles in coronary artery disease patients receiving lipid-lowering therapy: a prospective cohort study.

Background: Insulin resistance (IR) is a key driver of cardiovascular disease. The triglyceride-glucose (TyG) index, derived from fasting triglyceride and glucose levels, has been proposed as a surrogate marker of IR. However, its effect on lipid control in patients with coronary artery disease (CAD) receiving lipid-lowering therapy (LLT) remains unclear.

Methods: In this prospective cohort study, biochemical parameters of 1393 CAD patients were measured and followed over a median of one year. Participants received either low-/moderate-intensity LLT or high-intensity LLT. Linear regression models, logistic regression analyses, and change-to-change analyses were conducted to comprehensively assess the associations between baseline levels, longitudinal changes, and status transitions of the TyG index and lipid parameters.

Results: Lipid levels differed significantly across TyG index tertiles, with the highest tertile showing more adverse profiles at baseline and follow-up. Higher baseline TyG levels were independently associated with increased follow-up atherogenic lipid parameters and failure to achieve targets of non-high-density lipoprotein cholesterol (Non-HDL-C, OR = 1.23, 95% CI 1.01-1.51) and remnant cholesterol (RC, OR = 1.38, 95% CI 1.09-1.76). Participants in the highest tertile had the highest odds of not achieving targets for LDL-C, Non-HDL-C, and RC. Each 1% increase in the index was associated with percent increases in lipids including LDL-C (β = 1.10), Non-HDL-C (β = 1.81), and RC (β = 4.92, all P < 0.001). Patients transitioning from the lowest to the highest TyG tertile showed significant lipid worsening, while improvement from the highest to the lowest tertile was associated with reductions in RC and Non-HDL-C. High-intensity LLT led to greater reductions in TyG and lipid levels, mitigating the adverse lipid effects of TyG elevation. The adverse effects were also more evident in women and in those with obesity or prior revascularization.

Conclusions: Higher TyG levels were positively associated with atherogenic lipid profiles and failure to achieve lipid goals. In addition, upward changes in TyG over time were related to worsened atherogenic lipid status, particularly among patients receiving low-/moderate-intensity LLT. These findings support the routine monitoring of TyG to identify patients at risk of poor lipid control who may require high-intensity LLT.

求助全文
通过发布文献求助,成功后即可免费获取论文全文。 去求助
来源期刊
Cardiovascular Diabetology
Cardiovascular Diabetology 医学-内分泌学与代谢
CiteScore
12.30
自引率
15.10%
发文量
240
审稿时长
1 months
期刊介绍: Cardiovascular Diabetology is a journal that welcomes manuscripts exploring various aspects of the relationship between diabetes, cardiovascular health, and the metabolic syndrome. We invite submissions related to clinical studies, genetic investigations, experimental research, pharmacological studies, epidemiological analyses, and molecular biology research in this field.
×
引用
GB/T 7714-2015
复制
MLA
复制
APA
复制
导出至
BibTeX EndNote RefMan NoteFirst NoteExpress
×
提示
您的信息不完整,为了账户安全,请先补充。
现在去补充
×
提示
您因"违规操作"
具体请查看互助需知
我知道了
×
提示
确定
请完成安全验证×
copy
已复制链接
快去分享给好友吧!
我知道了
右上角分享
点击右上角分享
0
联系我们:info@booksci.cn Book学术提供免费学术资源搜索服务,方便国内外学者检索中英文文献。致力于提供最便捷和优质的服务体验。 Copyright © 2023 布克学术 All rights reserved.
京ICP备2023020795号-1
ghs 京公网安备 11010802042870号
Book学术文献互助
Book学术文献互助群
群 号:604180095
Book学术官方微信