慢性阻塞性肺病恶化的频率和严重程度以及未来的恶化风险和死亡率:加拿大的一项观察性队列研究

IF 3.4 3区 医学 Q1 RESPIRATORY SYSTEM
My Linh Duong, Christina Qian, Manisha Talukdar, Sheena Kayaniyil, Johnston Karissa, Clementine Nordon, Erika D Penz
{"title":"慢性阻塞性肺病恶化的频率和严重程度以及未来的恶化风险和死亡率:加拿大的一项观察性队列研究","authors":"My Linh Duong, Christina Qian, Manisha Talukdar, Sheena Kayaniyil, Johnston Karissa, Clementine Nordon, Erika D Penz","doi":"10.1136/bmjresp-2024-002976","DOIUrl":null,"url":null,"abstract":"<p><strong>Objectives: </strong>To estimate the risk of subsequent exacerbations, in relation to history of exacerbations, in a cohort of older chronic obstructive pulmonary disease (COPD) patients in Canada.</p><p><strong>Methods: </strong>Using provincial claims data from Ontario, Canada, patients with COPD aged≥65 years (identified between 2004 and 2018; followed up to 2020) were categorised into one of four mutually exclusive groups: no exacerbation; only one moderate; only one severe; or two or more exacerbations of any severity (moderate or severe) during the baseline period. The index date was the first documentation of a COPD diagnosis code; the subsequent 12 months served as the baseline period. Adjusted risks of subsequent exacerbations (any severity and severe exacerbation, separately) by the end of postbaseline year 1, 2 and 3 were estimated, accounting for differences in patient and disease characteristics and competing risk of death.</p><p><strong>Results: </strong>A total of 591 686 patients were included. The majority (89.8%) had no exacerbation at baseline, 3.1% had one moderate exacerbation only, 3.6% had one severe exacerbation only and 3.6% had two or more exacerbations of any severity. Adjusted risks of a subsequent exacerbation of any severity by the end of year 3 were 28.6% (95% CI, 28.5% to 28.7%) with no baseline exacerbation; 56.6% (95% CI, 56.1% to 57.1%), one severe; 58.4% (95% CI, 58.0% to 58.8%), one moderate; and 77.5% (95% CI, 77.2% to 77.8%) two or more exacerbations. Adjusted risks of a subsequent severe exacerbation by the end of year 3 were 20.1% (95% CI, 20.0% to 20.2%) with no baseline exacerbation; 34.9% (95% CI, 34.5% to 35.4%), one moderate; 46.7% (95% CI, 46.2% to 47.2%), one severe; and 59.6% (95% CI, 59.3% to 60.0%) two or more exacerbations.</p><p><strong>Conclusions: </strong>Having a history of a single severe or two or more exacerbations of any severity is associated with a higher risk of future exacerbations, with observed exacerbation rates and severity that are constant over time. Even one moderate exacerbation over a year is associated with poorer outcomes, compared with the absence of exacerbation, and moderate exacerbations should be managed accordingly.</p>","PeriodicalId":9048,"journal":{"name":"BMJ Open Respiratory Research","volume":"12 1","pages":""},"PeriodicalIF":3.4000,"publicationDate":"2025-09-29","publicationTypes":"Journal Article","fieldsOfStudy":null,"isOpenAccess":false,"openAccessPdf":"https://www.ncbi.nlm.nih.gov/pmc/articles/PMC12481290/pdf/","citationCount":"0","resultStr":"{\"title\":\"Frequency and severity of COPD exacerbations and future risk of exacerbations and mortality: an observational cohort study in Canada.\",\"authors\":\"My Linh Duong, Christina Qian, Manisha Talukdar, Sheena Kayaniyil, Johnston Karissa, Clementine Nordon, Erika D Penz\",\"doi\":\"10.1136/bmjresp-2024-002976\",\"DOIUrl\":null,\"url\":null,\"abstract\":\"<p><strong>Objectives: </strong>To estimate the risk of subsequent exacerbations, in relation to history of exacerbations, in a cohort of older chronic obstructive pulmonary disease (COPD) patients in Canada.</p><p><strong>Methods: </strong>Using provincial claims data from Ontario, Canada, patients with COPD aged≥65 years (identified between 2004 and 2018; followed up to 2020) were categorised into one of four mutually exclusive groups: no exacerbation; only one moderate; only one severe; or two or more exacerbations of any severity (moderate or severe) during the baseline period. The index date was the first documentation of a COPD diagnosis code; the subsequent 12 months served as the baseline period. Adjusted risks of subsequent exacerbations (any severity and severe exacerbation, separately) by the end of postbaseline year 1, 2 and 3 were estimated, accounting for differences in patient and disease characteristics and competing risk of death.</p><p><strong>Results: </strong>A total of 591 686 patients were included. The majority (89.8%) had no exacerbation at baseline, 3.1% had one moderate exacerbation only, 3.6% had one severe exacerbation only and 3.6% had two or more exacerbations of any severity. Adjusted risks of a subsequent exacerbation of any severity by the end of year 3 were 28.6% (95% CI, 28.5% to 28.7%) with no baseline exacerbation; 56.6% (95% CI, 56.1% to 57.1%), one severe; 58.4% (95% CI, 58.0% to 58.8%), one moderate; and 77.5% (95% CI, 77.2% to 77.8%) two or more exacerbations. Adjusted risks of a subsequent severe exacerbation by the end of year 3 were 20.1% (95% CI, 20.0% to 20.2%) with no baseline exacerbation; 34.9% (95% CI, 34.5% to 35.4%), one moderate; 46.7% (95% CI, 46.2% to 47.2%), one severe; and 59.6% (95% CI, 59.3% to 60.0%) two or more exacerbations.</p><p><strong>Conclusions: </strong>Having a history of a single severe or two or more exacerbations of any severity is associated with a higher risk of future exacerbations, with observed exacerbation rates and severity that are constant over time. Even one moderate exacerbation over a year is associated with poorer outcomes, compared with the absence of exacerbation, and moderate exacerbations should be managed accordingly.</p>\",\"PeriodicalId\":9048,\"journal\":{\"name\":\"BMJ Open Respiratory Research\",\"volume\":\"12 1\",\"pages\":\"\"},\"PeriodicalIF\":3.4000,\"publicationDate\":\"2025-09-29\",\"publicationTypes\":\"Journal Article\",\"fieldsOfStudy\":null,\"isOpenAccess\":false,\"openAccessPdf\":\"https://www.ncbi.nlm.nih.gov/pmc/articles/PMC12481290/pdf/\",\"citationCount\":\"0\",\"resultStr\":null,\"platform\":\"Semanticscholar\",\"paperid\":null,\"PeriodicalName\":\"BMJ Open Respiratory Research\",\"FirstCategoryId\":\"3\",\"ListUrlMain\":\"https://doi.org/10.1136/bmjresp-2024-002976\",\"RegionNum\":3,\"RegionCategory\":\"医学\",\"ArticlePicture\":[],\"TitleCN\":null,\"AbstractTextCN\":null,\"PMCID\":null,\"EPubDate\":\"\",\"PubModel\":\"\",\"JCR\":\"Q1\",\"JCRName\":\"RESPIRATORY SYSTEM\",\"Score\":null,\"Total\":0}","platform":"Semanticscholar","paperid":null,"PeriodicalName":"BMJ Open Respiratory Research","FirstCategoryId":"3","ListUrlMain":"https://doi.org/10.1136/bmjresp-2024-002976","RegionNum":3,"RegionCategory":"医学","ArticlePicture":[],"TitleCN":null,"AbstractTextCN":null,"PMCID":null,"EPubDate":"","PubModel":"","JCR":"Q1","JCRName":"RESPIRATORY SYSTEM","Score":null,"Total":0}
引用次数: 0

摘要

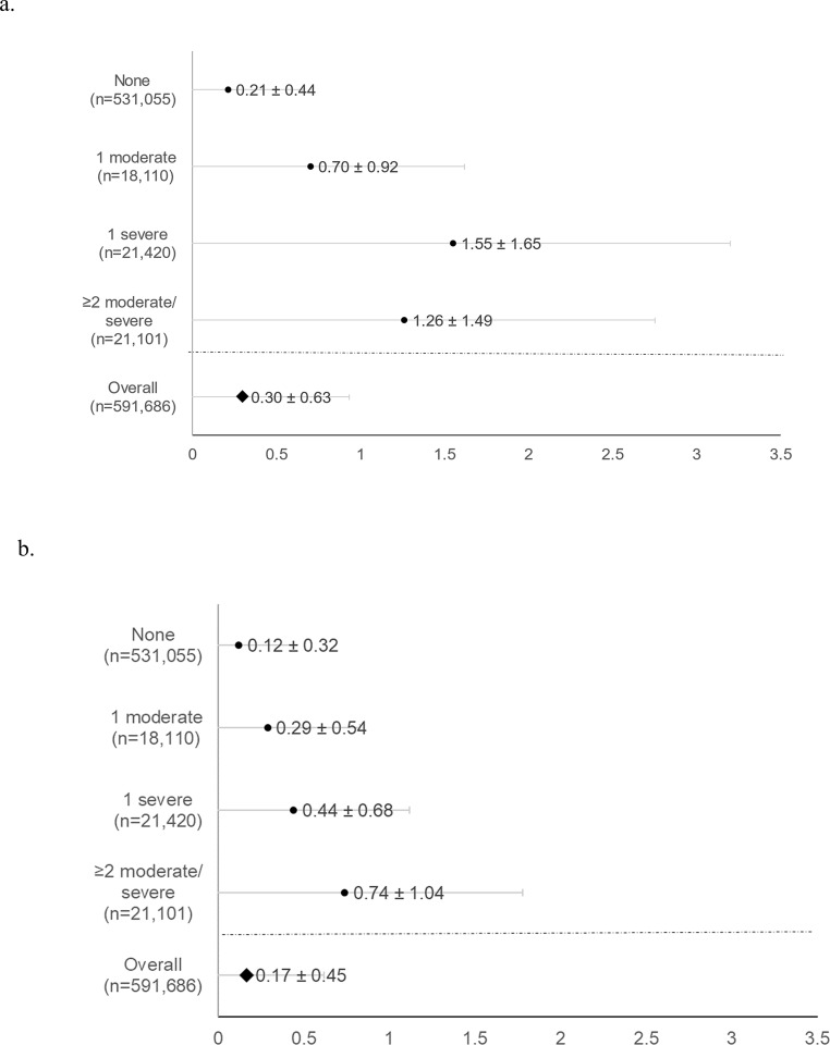
目的:在加拿大的老年慢性阻塞性肺疾病(COPD)患者队列中,评估与恶化史相关的后续恶化的风险。方法:使用来自加拿大安大略省的省级索赔数据,年龄≥65岁的COPD患者(在2004年至2018年期间确定,随访至2020年)被分为四个相互排斥的组:无恶化;只有一个温和派;只有一个严峻;或基线期间两次或两次以上任何严重程度(中度或重度)的恶化。索引日期是COPD诊断代码的第一份文件;随后的12个月作为基准期。考虑到患者和疾病特征的差异以及相互竞争的死亡风险,在基线后第1、2和3年结束时,对随后恶化(任何严重程度和严重恶化)的调整风险进行了估计。结果:共纳入591 686例患者。大多数(89.8%)在基线时没有恶化,3.1%只有一次中度恶化,3.6%只有一次严重恶化,3.6%有两次或两次以上任何严重程度的恶化。到第3年末,任何严重程度的后续恶化的调整风险为28.6% (95% CI, 28.5%至28.7%),无基线恶化;56.6% (95% CI, 56.1% ~ 57.1%), 1例严重;58.4% (95% CI, 58.0% ~ 58.8%), 1例中度;77.5% (95% CI, 77.2% ~ 77.8%)出现两次或两次以上恶化。在没有基线恶化的情况下,第3年末发生严重恶化的调整风险为20.1% (95% CI, 20.0% - 20.2%);34.9% (95% CI, 34.5% ~ 35.4%), 1例中度;46.7% (95% CI, 46.2% ~ 47.2%), 1例严重;59.6% (95% CI, 59.3% ~ 60.0%)出现两次或两次以上急性加重。结论:有一次严重或两次或两次以上任何严重程度的加重史与未来加重的高风险相关,观察到的加重率和严重程度随时间不变。与无急性发作相比,一年内即使有一次中度急性发作也与较差的预后相关,因此应对中度急性发作进行相应的管理。
本文章由计算机程序翻译,如有差异,请以英文原文为准。

Frequency and severity of COPD exacerbations and future risk of exacerbations and mortality: an observational cohort study in Canada.

Frequency and severity of COPD exacerbations and future risk of exacerbations and mortality: an observational cohort study in Canada.

Frequency and severity of COPD exacerbations and future risk of exacerbations and mortality: an observational cohort study in Canada.

Frequency and severity of COPD exacerbations and future risk of exacerbations and mortality: an observational cohort study in Canada.

Objectives: To estimate the risk of subsequent exacerbations, in relation to history of exacerbations, in a cohort of older chronic obstructive pulmonary disease (COPD) patients in Canada.

Methods: Using provincial claims data from Ontario, Canada, patients with COPD aged≥65 years (identified between 2004 and 2018; followed up to 2020) were categorised into one of four mutually exclusive groups: no exacerbation; only one moderate; only one severe; or two or more exacerbations of any severity (moderate or severe) during the baseline period. The index date was the first documentation of a COPD diagnosis code; the subsequent 12 months served as the baseline period. Adjusted risks of subsequent exacerbations (any severity and severe exacerbation, separately) by the end of postbaseline year 1, 2 and 3 were estimated, accounting for differences in patient and disease characteristics and competing risk of death.

Results: A total of 591 686 patients were included. The majority (89.8%) had no exacerbation at baseline, 3.1% had one moderate exacerbation only, 3.6% had one severe exacerbation only and 3.6% had two or more exacerbations of any severity. Adjusted risks of a subsequent exacerbation of any severity by the end of year 3 were 28.6% (95% CI, 28.5% to 28.7%) with no baseline exacerbation; 56.6% (95% CI, 56.1% to 57.1%), one severe; 58.4% (95% CI, 58.0% to 58.8%), one moderate; and 77.5% (95% CI, 77.2% to 77.8%) two or more exacerbations. Adjusted risks of a subsequent severe exacerbation by the end of year 3 were 20.1% (95% CI, 20.0% to 20.2%) with no baseline exacerbation; 34.9% (95% CI, 34.5% to 35.4%), one moderate; 46.7% (95% CI, 46.2% to 47.2%), one severe; and 59.6% (95% CI, 59.3% to 60.0%) two or more exacerbations.

Conclusions: Having a history of a single severe or two or more exacerbations of any severity is associated with a higher risk of future exacerbations, with observed exacerbation rates and severity that are constant over time. Even one moderate exacerbation over a year is associated with poorer outcomes, compared with the absence of exacerbation, and moderate exacerbations should be managed accordingly.

求助全文
通过发布文献求助,成功后即可免费获取论文全文。 去求助
来源期刊
BMJ Open Respiratory Research
BMJ Open Respiratory Research RESPIRATORY SYSTEM-
CiteScore
6.60
自引率
2.40%
发文量
95
审稿时长
12 weeks
期刊介绍: BMJ Open Respiratory Research is a peer-reviewed, open access journal publishing respiratory and critical care medicine. It is the sister journal to Thorax and co-owned by the British Thoracic Society and BMJ. The journal focuses on robustness of methodology and scientific rigour with less emphasis on novelty or perceived impact. BMJ Open Respiratory Research operates a rapid review process, with continuous publication online, ensuring timely, up-to-date research is available worldwide. The journal publishes review articles and all research study types: Basic science including laboratory based experiments and animal models, Pilot studies or proof of concept, Observational studies, Study protocols, Registries, Clinical trials from phase I to multicentre randomised clinical trials, Systematic reviews and meta-analyses.
×
引用
GB/T 7714-2015
复制
MLA
复制
APA
复制
导出至
BibTeX EndNote RefMan NoteFirst NoteExpress
×
提示
您的信息不完整,为了账户安全,请先补充。
现在去补充
×
提示
您因"违规操作"
具体请查看互助需知
我知道了
×
提示
确定
请完成安全验证×
copy
已复制链接
快去分享给好友吧!
我知道了
右上角分享
点击右上角分享
0
联系我们:info@booksci.cn Book学术提供免费学术资源搜索服务,方便国内外学者检索中英文文献。致力于提供最便捷和优质的服务体验。 Copyright © 2023 布克学术 All rights reserved.
京ICP备2023020795号-1
ghs 京公网安备 11010802042870号
Book学术文献互助
Book学术文献互助群
群 号:604180095
Book学术官方微信