耦合单自旋和无限配位伊辛链的能谱和量子相变。

IF 2.7 4区 材料科学 Q3 MATERIALS SCIENCE, MULTIDISCIPLINARY
Beilstein Journal of Nanotechnology Pub Date : 2025-09-24 eCollection Date: 2025-01-01 DOI:10.3762/bjnano.16.117
Seidali Seidov, Natalia Pugach, Anatolie Sidorenko
{"title":"耦合单自旋和无限配位伊辛链的能谱和量子相变。","authors":"Seidali Seidov, Natalia Pugach, Anatolie Sidorenko","doi":"10.3762/bjnano.16.117","DOIUrl":null,"url":null,"abstract":"<p><p>In this work we consider a spin model composed of a single spin and connected to an infinitely coordinated Ising chain. Theoretical models of this type arise from various fields of theoretical physics, such as theory of open systems, quantum control, and quantum computations. In the thermodynamic limit of an infinite chain, we map the chain Hamiltonian to the Hamiltonian of the Lipkin-Meshkov-Glik model, and the system as a whole is described by a generalized Rabi Hamiltonian. Next, the effective Hamiltonian is obtained using the Foulton-Gouterman transformation. In the thermodynamic limit we obtain the spectrum of the whole system and study the properties of the ground-state quantum phase transition.</p>","PeriodicalId":8802,"journal":{"name":"Beilstein Journal of Nanotechnology","volume":"16 ","pages":"1668-1676"},"PeriodicalIF":2.7000,"publicationDate":"2025-09-24","publicationTypes":"Journal Article","fieldsOfStudy":null,"isOpenAccess":false,"openAccessPdf":"https://www.ncbi.nlm.nih.gov/pmc/articles/PMC12477900/pdf/","citationCount":"0","resultStr":"{\"title\":\"Energy spectrum and quantum phase transition of the coupled single spin and an infinitely coordinated Ising chain.\",\"authors\":\"Seidali Seidov, Natalia Pugach, Anatolie Sidorenko\",\"doi\":\"10.3762/bjnano.16.117\",\"DOIUrl\":null,\"url\":null,\"abstract\":\"<p><p>In this work we consider a spin model composed of a single spin and connected to an infinitely coordinated Ising chain. Theoretical models of this type arise from various fields of theoretical physics, such as theory of open systems, quantum control, and quantum computations. In the thermodynamic limit of an infinite chain, we map the chain Hamiltonian to the Hamiltonian of the Lipkin-Meshkov-Glik model, and the system as a whole is described by a generalized Rabi Hamiltonian. Next, the effective Hamiltonian is obtained using the Foulton-Gouterman transformation. In the thermodynamic limit we obtain the spectrum of the whole system and study the properties of the ground-state quantum phase transition.</p>\",\"PeriodicalId\":8802,\"journal\":{\"name\":\"Beilstein Journal of Nanotechnology\",\"volume\":\"16 \",\"pages\":\"1668-1676\"},\"PeriodicalIF\":2.7000,\"publicationDate\":\"2025-09-24\",\"publicationTypes\":\"Journal Article\",\"fieldsOfStudy\":null,\"isOpenAccess\":false,\"openAccessPdf\":\"https://www.ncbi.nlm.nih.gov/pmc/articles/PMC12477900/pdf/\",\"citationCount\":\"0\",\"resultStr\":null,\"platform\":\"Semanticscholar\",\"paperid\":null,\"PeriodicalName\":\"Beilstein Journal of Nanotechnology\",\"FirstCategoryId\":\"88\",\"ListUrlMain\":\"https://doi.org/10.3762/bjnano.16.117\",\"RegionNum\":4,\"RegionCategory\":\"材料科学\",\"ArticlePicture\":[],\"TitleCN\":null,\"AbstractTextCN\":null,\"PMCID\":null,\"EPubDate\":\"2025/1/1 0:00:00\",\"PubModel\":\"eCollection\",\"JCR\":\"Q3\",\"JCRName\":\"MATERIALS SCIENCE, MULTIDISCIPLINARY\",\"Score\":null,\"Total\":0}","platform":"Semanticscholar","paperid":null,"PeriodicalName":"Beilstein Journal of Nanotechnology","FirstCategoryId":"88","ListUrlMain":"https://doi.org/10.3762/bjnano.16.117","RegionNum":4,"RegionCategory":"材料科学","ArticlePicture":[],"TitleCN":null,"AbstractTextCN":null,"PMCID":null,"EPubDate":"2025/1/1 0:00:00","PubModel":"eCollection","JCR":"Q3","JCRName":"MATERIALS SCIENCE, MULTIDISCIPLINARY","Score":null,"Total":0}
引用次数: 0

摘要

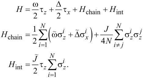
在这项工作中,我们考虑了一个由单个自旋组成并连接到无限协调的伊辛链的自旋模型。这种类型的理论模型出现在理论物理的各个领域,如开放系统理论、量子控制和量子计算。在无限链的热力学极限下,我们将链的哈密顿量映射到Lipkin-Meshkov-Glik模型的哈密顿量,并将整个系统用广义的Rabi哈密顿量来描述。然后利用傅里顿-古特曼变换得到有效哈密顿量。在热力学极限下,我们得到了整个系统的谱,并研究了基态量子相变的性质。
本文章由计算机程序翻译,如有差异,请以英文原文为准。

Energy spectrum and quantum phase transition of the coupled single spin and an infinitely coordinated Ising chain.

Energy spectrum and quantum phase transition of the coupled single spin and an infinitely coordinated Ising chain.

Energy spectrum and quantum phase transition of the coupled single spin and an infinitely coordinated Ising chain.

Energy spectrum and quantum phase transition of the coupled single spin and an infinitely coordinated Ising chain.

In this work we consider a spin model composed of a single spin and connected to an infinitely coordinated Ising chain. Theoretical models of this type arise from various fields of theoretical physics, such as theory of open systems, quantum control, and quantum computations. In the thermodynamic limit of an infinite chain, we map the chain Hamiltonian to the Hamiltonian of the Lipkin-Meshkov-Glik model, and the system as a whole is described by a generalized Rabi Hamiltonian. Next, the effective Hamiltonian is obtained using the Foulton-Gouterman transformation. In the thermodynamic limit we obtain the spectrum of the whole system and study the properties of the ground-state quantum phase transition.

求助全文
通过发布文献求助,成功后即可免费获取论文全文。 去求助
来源期刊
Beilstein Journal of Nanotechnology
Beilstein Journal of Nanotechnology NANOSCIENCE & NANOTECHNOLOGY-MATERIALS SCIENCE, MULTIDISCIPLINARY
CiteScore
5.70
自引率
3.20%
发文量
109
审稿时长
2 months
期刊介绍: The Beilstein Journal of Nanotechnology is an international, peer-reviewed, Open Access journal. It provides a unique platform for rapid publication without any charges (free for author and reader) – Platinum Open Access. The content is freely accessible 365 days a year to any user worldwide. Articles are available online immediately upon publication and are publicly archived in all major repositories. In addition, it provides a platform for publishing thematic issues (theme-based collections of articles) on topical issues in nanoscience and nanotechnology. The journal is published and completely funded by the Beilstein-Institut, a non-profit foundation located in Frankfurt am Main, Germany. The editor-in-chief is Professor Thomas Schimmel – Karlsruhe Institute of Technology. He is supported by more than 20 associate editors who are responsible for a particular subject area within the scope of the journal.
×
引用
GB/T 7714-2015
复制
MLA
复制
APA
复制
导出至
BibTeX EndNote RefMan NoteFirst NoteExpress
×
提示
您的信息不完整,为了账户安全,请先补充。
现在去补充
×
提示
您因"违规操作"
具体请查看互助需知
我知道了
×
提示
确定
请完成安全验证×
copy
已复制链接
快去分享给好友吧!
我知道了
右上角分享
点击右上角分享
0
联系我们:info@booksci.cn Book学术提供免费学术资源搜索服务,方便国内外学者检索中英文文献。致力于提供最便捷和优质的服务体验。 Copyright © 2023 布克学术 All rights reserved.
京ICP备2023020795号-1
ghs 京公网安备 11010802042870号
Book学术文献互助
Book学术文献互助群
群 号:604180095
Book学术官方微信