人类和法学硕士认为,在复杂的推理任务中,深思熟虑优于直觉。

Wim De Neys, Matthieu Raoelison
{"title":"人类和法学硕士认为,在复杂的推理任务中,深思熟虑优于直觉。","authors":"Wim De Neys, Matthieu Raoelison","doi":"10.1038/s44271-025-00320-8","DOIUrl":null,"url":null,"abstract":"<p><p>Influential models conceive human thinking as an interplay between intuition and deliberation. Yet, it's unclear how people actually perceive these types of reasoning. Across 13 studies (n = 239, 241, 240, 240, 241, 240, 184, 482, 479, 240 and 240 for Studies 1, 2, 3, 4, 5, 6, 7, 10, 11, 12 and 13, respectively), we examined whether humans favor intuition or deliberation and if this replicates in LLMs. Participants rated individuals' reasoning quality in short vignettes that varied by reasoning type (fast-intuitive vs. slow-deliberative) and past accuracy (high, low, unspecified). Consistently, participants rated deliberative reasoning as superior to intuition, even when accounting for accuracy. Deliberative thinkers were seen as smarter and more trustworthy-a preference that held under time pressure and cognitive load, suggesting it arises intuitively. Studies with LLMs (ChatGPT 3.5 and 4) replicated the human preference pattern, indicating that AI language models capture human folk beliefs about reasoning. These findings suggest humans intuitively link deliberation with reliability and have implications for public trust in human and AI recommendations.</p>","PeriodicalId":501698,"journal":{"name":"Communications Psychology","volume":"3 1","pages":"141"},"PeriodicalIF":0.0000,"publicationDate":"2025-09-29","publicationTypes":"Journal Article","fieldsOfStudy":null,"isOpenAccess":false,"openAccessPdf":"https://www.ncbi.nlm.nih.gov/pmc/articles/PMC12480527/pdf/","citationCount":"0","resultStr":"{\"title\":\"Humans and LLMs rate deliberation as superior to intuition on complex reasoning tasks.\",\"authors\":\"Wim De Neys, Matthieu Raoelison\",\"doi\":\"10.1038/s44271-025-00320-8\",\"DOIUrl\":null,\"url\":null,\"abstract\":\"<p><p>Influential models conceive human thinking as an interplay between intuition and deliberation. Yet, it's unclear how people actually perceive these types of reasoning. Across 13 studies (n = 239, 241, 240, 240, 241, 240, 184, 482, 479, 240 and 240 for Studies 1, 2, 3, 4, 5, 6, 7, 10, 11, 12 and 13, respectively), we examined whether humans favor intuition or deliberation and if this replicates in LLMs. Participants rated individuals' reasoning quality in short vignettes that varied by reasoning type (fast-intuitive vs. slow-deliberative) and past accuracy (high, low, unspecified). Consistently, participants rated deliberative reasoning as superior to intuition, even when accounting for accuracy. Deliberative thinkers were seen as smarter and more trustworthy-a preference that held under time pressure and cognitive load, suggesting it arises intuitively. Studies with LLMs (ChatGPT 3.5 and 4) replicated the human preference pattern, indicating that AI language models capture human folk beliefs about reasoning. These findings suggest humans intuitively link deliberation with reliability and have implications for public trust in human and AI recommendations.</p>\",\"PeriodicalId\":501698,\"journal\":{\"name\":\"Communications Psychology\",\"volume\":\"3 1\",\"pages\":\"141\"},\"PeriodicalIF\":0.0000,\"publicationDate\":\"2025-09-29\",\"publicationTypes\":\"Journal Article\",\"fieldsOfStudy\":null,\"isOpenAccess\":false,\"openAccessPdf\":\"https://www.ncbi.nlm.nih.gov/pmc/articles/PMC12480527/pdf/\",\"citationCount\":\"0\",\"resultStr\":null,\"platform\":\"Semanticscholar\",\"paperid\":null,\"PeriodicalName\":\"Communications Psychology\",\"FirstCategoryId\":\"1085\",\"ListUrlMain\":\"https://doi.org/10.1038/s44271-025-00320-8\",\"RegionNum\":0,\"RegionCategory\":null,\"ArticlePicture\":[],\"TitleCN\":null,\"AbstractTextCN\":null,\"PMCID\":null,\"EPubDate\":\"\",\"PubModel\":\"\",\"JCR\":\"\",\"JCRName\":\"\",\"Score\":null,\"Total\":0}","platform":"Semanticscholar","paperid":null,"PeriodicalName":"Communications Psychology","FirstCategoryId":"1085","ListUrlMain":"https://doi.org/10.1038/s44271-025-00320-8","RegionNum":0,"RegionCategory":null,"ArticlePicture":[],"TitleCN":null,"AbstractTextCN":null,"PMCID":null,"EPubDate":"","PubModel":"","JCR":"","JCRName":"","Score":null,"Total":0}
引用次数: 0

摘要

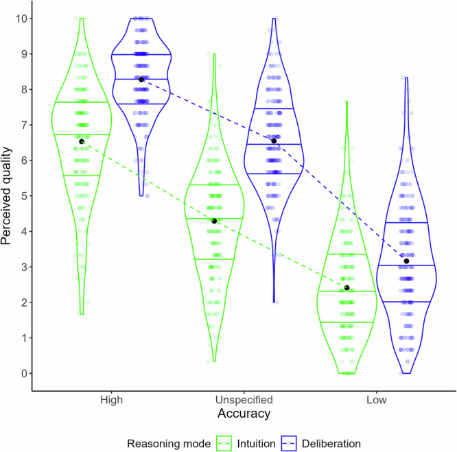
有影响力的模型认为,人类的思维是直觉和深思熟虑之间的相互作用。然而,目前还不清楚人们是如何理解这些类型的推理的。在13项研究中(n = 239、241、240、240、241、240、184、482、479、240和240分别为研究1、2、3、4、5、6、7、10、11、12和13),我们检验了人类倾向于直觉还是深思熟虑,以及这是否在法学硕士中重复。参与者根据推理类型(快速直觉vs缓慢深思熟虑)和过去的准确性(高、低、未指明)对个人的推理质量进行了短视频评分。参与者一致认为审慎推理优于直觉,即使考虑到准确性也是如此。深思熟虑的思考者被认为更聪明、更值得信赖——这是在时间压力和认知负荷下的偏好,表明它是直觉产生的。法学硕士的研究(ChatGPT 3.5和4)复制了人类的偏好模式,表明人工智能语言模型捕捉了人类对推理的民间信仰。这些发现表明,人类本能地将深思熟虑与可靠性联系起来,并对公众对人类和人工智能建议的信任产生了影响。
本文章由计算机程序翻译,如有差异,请以英文原文为准。

Humans and LLMs rate deliberation as superior to intuition on complex reasoning tasks.

Humans and LLMs rate deliberation as superior to intuition on complex reasoning tasks.

Humans and LLMs rate deliberation as superior to intuition on complex reasoning tasks.

Influential models conceive human thinking as an interplay between intuition and deliberation. Yet, it's unclear how people actually perceive these types of reasoning. Across 13 studies (n = 239, 241, 240, 240, 241, 240, 184, 482, 479, 240 and 240 for Studies 1, 2, 3, 4, 5, 6, 7, 10, 11, 12 and 13, respectively), we examined whether humans favor intuition or deliberation and if this replicates in LLMs. Participants rated individuals' reasoning quality in short vignettes that varied by reasoning type (fast-intuitive vs. slow-deliberative) and past accuracy (high, low, unspecified). Consistently, participants rated deliberative reasoning as superior to intuition, even when accounting for accuracy. Deliberative thinkers were seen as smarter and more trustworthy-a preference that held under time pressure and cognitive load, suggesting it arises intuitively. Studies with LLMs (ChatGPT 3.5 and 4) replicated the human preference pattern, indicating that AI language models capture human folk beliefs about reasoning. These findings suggest humans intuitively link deliberation with reliability and have implications for public trust in human and AI recommendations.

求助全文
通过发布文献求助,成功后即可免费获取论文全文。 去求助
来源期刊
自引率
0.00%
发文量
0
×
引用
GB/T 7714-2015
复制
MLA
复制
APA
复制
导出至
BibTeX EndNote RefMan NoteFirst NoteExpress
×
提示
您的信息不完整,为了账户安全,请先补充。
现在去补充
×
提示
您因"违规操作"
具体请查看互助需知
我知道了
×
提示
确定
请完成安全验证×
copy
已复制链接
快去分享给好友吧!
我知道了
右上角分享
点击右上角分享
0
联系我们:info@booksci.cn Book学术提供免费学术资源搜索服务,方便国内外学者检索中英文文献。致力于提供最便捷和优质的服务体验。 Copyright © 2023 布克学术 All rights reserved.
京ICP备2023020795号-1
ghs 京公网安备 11010802042870号
Book学术文献互助
Book学术文献互助群
群 号:604180095
Book学术官方微信