单腔和双腔外周插入中心导管在综合护理背景下接受消化手术患者中的疗效。

IF 1.7 4区 医学 Q3 GASTROENTEROLOGY & HEPATOLOGY
Xiao-Hui Ye, Rong-Hong Cui, Lei Xu, Mei-Jun Wang, Ling-Rong Ye, Ming Jiang
{"title":"单腔和双腔外周插入中心导管在综合护理背景下接受消化手术患者中的疗效。","authors":"Xiao-Hui Ye, Rong-Hong Cui, Lei Xu, Mei-Jun Wang, Ling-Rong Ye, Ming Jiang","doi":"10.4240/wjgs.v17.i9.108621","DOIUrl":null,"url":null,"abstract":"<p><strong>Background: </strong>Peripherally inserted central catheters (PICCs) are crucial for patients requiring long-term intravenous therapy, especially within digestive surgery under bundled care protocols.</p><p><strong>Aim: </strong>To evaluate and compare the efficacy, safety, and patient-reported outcomes of single-lumen <i>vs</i> double-lumen PICCs among patients undergoing digestive surgery within a structured bundled care framework.</p><p><strong>Methods: </strong>This retrospective cohort study analyzed data from 249 patients who underwent digestive surgery and utilized either single-lumen (<i>n</i> = 117) or double-lumen (<i>n</i> = 132) PICCs between January 2021 and June 2024. Clinical outcomes, patient satisfaction, catheterization duration, and complication rates were compared using statistical analysis <i>via</i> SPSS (version 29.0). The bundled care protocol was consistently applied, focusing on standardized procedures, staff training, and patient support.</p><p><strong>Results: </strong>Single-lumen PICCs were associated with a significantly lower thrombosis rate (0.85%) than double-lumen PICCs (6.82%, <i>P</i> = 0.039). The single-lumen group experienced shorter catheterization durations (12.5 ± 3.14 days <i>vs</i> 13.6 ± 4.50 days, <i>P</i> = 0.025) and higher successful infusion rates (92.7% ± 5.32% <i>vs</i> 90.4% ± 6.60%, <i>P</i> = 0.003). This group also reported higher comfort scores (8.40 ± 1.20 <i>vs</i> 7.90 ± 1.50, <i>P</i> = 0.004) and lower pain levels (2.90 ± 0.70 <i>vs</i> 3.20 ± 0.80, <i>P</i> = 0.002). Aside from thrombosis, complication rates showed no significant difference between the groups.</p><p><strong>Conclusion: </strong>Within bundled care context, single-lumen PICCs demonstrated advantages in reducing thrombosis risk, procedural efficiency, patient comfort, and satisfaction compared with double-lumen PICCs. The findings underscore the importance of considering patient-specific needs and clinical scenarios in catheter choice.</p>","PeriodicalId":23759,"journal":{"name":"World Journal of Gastrointestinal Surgery","volume":"17 9","pages":"108621"},"PeriodicalIF":1.7000,"publicationDate":"2025-09-27","publicationTypes":"Journal Article","fieldsOfStudy":null,"isOpenAccess":false,"openAccessPdf":"https://www.ncbi.nlm.nih.gov/pmc/articles/PMC12476737/pdf/","citationCount":"0","resultStr":"{\"title\":\"Efficacy of single-lumen and double-lumen peripherally inserted central catheters in patients undergoing digestive surgery within bundled care contexts.\",\"authors\":\"Xiao-Hui Ye, Rong-Hong Cui, Lei Xu, Mei-Jun Wang, Ling-Rong Ye, Ming Jiang\",\"doi\":\"10.4240/wjgs.v17.i9.108621\",\"DOIUrl\":null,\"url\":null,\"abstract\":\"<p><strong>Background: </strong>Peripherally inserted central catheters (PICCs) are crucial for patients requiring long-term intravenous therapy, especially within digestive surgery under bundled care protocols.</p><p><strong>Aim: </strong>To evaluate and compare the efficacy, safety, and patient-reported outcomes of single-lumen <i>vs</i> double-lumen PICCs among patients undergoing digestive surgery within a structured bundled care framework.</p><p><strong>Methods: </strong>This retrospective cohort study analyzed data from 249 patients who underwent digestive surgery and utilized either single-lumen (<i>n</i> = 117) or double-lumen (<i>n</i> = 132) PICCs between January 2021 and June 2024. Clinical outcomes, patient satisfaction, catheterization duration, and complication rates were compared using statistical analysis <i>via</i> SPSS (version 29.0). The bundled care protocol was consistently applied, focusing on standardized procedures, staff training, and patient support.</p><p><strong>Results: </strong>Single-lumen PICCs were associated with a significantly lower thrombosis rate (0.85%) than double-lumen PICCs (6.82%, <i>P</i> = 0.039). The single-lumen group experienced shorter catheterization durations (12.5 ± 3.14 days <i>vs</i> 13.6 ± 4.50 days, <i>P</i> = 0.025) and higher successful infusion rates (92.7% ± 5.32% <i>vs</i> 90.4% ± 6.60%, <i>P</i> = 0.003). This group also reported higher comfort scores (8.40 ± 1.20 <i>vs</i> 7.90 ± 1.50, <i>P</i> = 0.004) and lower pain levels (2.90 ± 0.70 <i>vs</i> 3.20 ± 0.80, <i>P</i> = 0.002). Aside from thrombosis, complication rates showed no significant difference between the groups.</p><p><strong>Conclusion: </strong>Within bundled care context, single-lumen PICCs demonstrated advantages in reducing thrombosis risk, procedural efficiency, patient comfort, and satisfaction compared with double-lumen PICCs. The findings underscore the importance of considering patient-specific needs and clinical scenarios in catheter choice.</p>\",\"PeriodicalId\":23759,\"journal\":{\"name\":\"World Journal of Gastrointestinal Surgery\",\"volume\":\"17 9\",\"pages\":\"108621\"},\"PeriodicalIF\":1.7000,\"publicationDate\":\"2025-09-27\",\"publicationTypes\":\"Journal Article\",\"fieldsOfStudy\":null,\"isOpenAccess\":false,\"openAccessPdf\":\"https://www.ncbi.nlm.nih.gov/pmc/articles/PMC12476737/pdf/\",\"citationCount\":\"0\",\"resultStr\":null,\"platform\":\"Semanticscholar\",\"paperid\":null,\"PeriodicalName\":\"World Journal of Gastrointestinal Surgery\",\"FirstCategoryId\":\"3\",\"ListUrlMain\":\"https://doi.org/10.4240/wjgs.v17.i9.108621\",\"RegionNum\":4,\"RegionCategory\":\"医学\",\"ArticlePicture\":[],\"TitleCN\":null,\"AbstractTextCN\":null,\"PMCID\":null,\"EPubDate\":\"\",\"PubModel\":\"\",\"JCR\":\"Q3\",\"JCRName\":\"GASTROENTEROLOGY & HEPATOLOGY\",\"Score\":null,\"Total\":0}","platform":"Semanticscholar","paperid":null,"PeriodicalName":"World Journal of Gastrointestinal Surgery","FirstCategoryId":"3","ListUrlMain":"https://doi.org/10.4240/wjgs.v17.i9.108621","RegionNum":4,"RegionCategory":"医学","ArticlePicture":[],"TitleCN":null,"AbstractTextCN":null,"PMCID":null,"EPubDate":"","PubModel":"","JCR":"Q3","JCRName":"GASTROENTEROLOGY & HEPATOLOGY","Score":null,"Total":0}
引用次数: 0

摘要

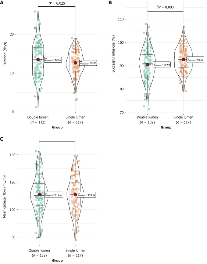
背景:外周插入中心导管(PICCs)对于需要长期静脉治疗的患者至关重要,特别是在综合护理方案下的消化手术中。目的:评估和比较在结构化捆绑护理框架下接受消化手术的患者中单腔PICCs与双腔PICCs的疗效、安全性和患者报告的结果。方法:本回顾性队列研究分析了2021年1月至2024年6月期间接受消化手术并使用单腔PICCs (n = 117)或双腔PICCs (n = 132)的249例患者的数据。采用SPSS(29.0版)软件对临床结果、患者满意度、置管时间、并发症发生率进行统计分析。始终采用捆绑式护理方案,重点是标准化程序、工作人员培训和患者支持。结果:单腔PICCs的血栓形成率(0.85%)明显低于双腔PICCs (6.82%, P = 0.039)。单腔组置管时间较短(12.5±3.14天vs 13.6±4.50天,P = 0.025),输注成功率较高(92.7%±5.32% vs 90.4%±6.60%,P = 0.003)。该组舒适度评分较高(8.40±1.20 vs 7.90±1.50,P = 0.004),疼痛水平较低(2.90±0.70 vs 3.20±0.80,P = 0.002)。除血栓形成外,两组间并发症发生率无显著差异。结论:在捆绑式护理中,与双腔picc相比,单腔picc在降低血栓形成风险、手术效率、患者舒适度和满意度方面具有优势。研究结果强调了在选择导管时考虑患者特定需求和临床情况的重要性。
本文章由计算机程序翻译,如有差异,请以英文原文为准。

Efficacy of single-lumen and double-lumen peripherally inserted central catheters in patients undergoing digestive surgery within bundled care contexts.

Efficacy of single-lumen and double-lumen peripherally inserted central catheters in patients undergoing digestive surgery within bundled care contexts.

Efficacy of single-lumen and double-lumen peripherally inserted central catheters in patients undergoing digestive surgery within bundled care contexts.

Background: Peripherally inserted central catheters (PICCs) are crucial for patients requiring long-term intravenous therapy, especially within digestive surgery under bundled care protocols.

Aim: To evaluate and compare the efficacy, safety, and patient-reported outcomes of single-lumen vs double-lumen PICCs among patients undergoing digestive surgery within a structured bundled care framework.

Methods: This retrospective cohort study analyzed data from 249 patients who underwent digestive surgery and utilized either single-lumen (n = 117) or double-lumen (n = 132) PICCs between January 2021 and June 2024. Clinical outcomes, patient satisfaction, catheterization duration, and complication rates were compared using statistical analysis via SPSS (version 29.0). The bundled care protocol was consistently applied, focusing on standardized procedures, staff training, and patient support.

Results: Single-lumen PICCs were associated with a significantly lower thrombosis rate (0.85%) than double-lumen PICCs (6.82%, P = 0.039). The single-lumen group experienced shorter catheterization durations (12.5 ± 3.14 days vs 13.6 ± 4.50 days, P = 0.025) and higher successful infusion rates (92.7% ± 5.32% vs 90.4% ± 6.60%, P = 0.003). This group also reported higher comfort scores (8.40 ± 1.20 vs 7.90 ± 1.50, P = 0.004) and lower pain levels (2.90 ± 0.70 vs 3.20 ± 0.80, P = 0.002). Aside from thrombosis, complication rates showed no significant difference between the groups.

Conclusion: Within bundled care context, single-lumen PICCs demonstrated advantages in reducing thrombosis risk, procedural efficiency, patient comfort, and satisfaction compared with double-lumen PICCs. The findings underscore the importance of considering patient-specific needs and clinical scenarios in catheter choice.

求助全文
通过发布文献求助,成功后即可免费获取论文全文。 去求助
来源期刊
自引率
5.00%
发文量
111
×
引用
GB/T 7714-2015
复制
MLA
复制
APA
复制
导出至
BibTeX EndNote RefMan NoteFirst NoteExpress
×
提示
您的信息不完整,为了账户安全,请先补充。
现在去补充
×
提示
您因"违规操作"
具体请查看互助需知
我知道了
×
提示
确定
请完成安全验证×
copy
已复制链接
快去分享给好友吧!
我知道了
右上角分享
点击右上角分享
0
联系我们:info@booksci.cn Book学术提供免费学术资源搜索服务,方便国内外学者检索中英文文献。致力于提供最便捷和优质的服务体验。 Copyright © 2023 布克学术 All rights reserved.
京ICP备2023020795号-1
ghs 京公网安备 11010802042870号
Book学术文献互助
Book学术文献互助群
群 号:604180095
Book学术官方微信