乙型肝炎病毒阳性移植物在儿童肝移植中的传播风险:一项现实世界的前瞻性队列研究。

IF 4 3区 医学 Q2 VIROLOGY
Yuting Yang, Guojin Wu, Xiaoke Dai, Tengteng Zhang, Bingqian Tan, Yue Lu, Mingman Zhang, Yao Zhao
{"title":"乙型肝炎病毒阳性移植物在儿童肝移植中的传播风险:一项现实世界的前瞻性队列研究。","authors":"Yuting Yang, Guojin Wu, Xiaoke Dai, Tengteng Zhang, Bingqian Tan, Yue Lu, Mingman Zhang, Yao Zhao","doi":"10.1186/s12985-025-02941-1","DOIUrl":null,"url":null,"abstract":"<p><strong>Background: </strong>The utilization of liver grafts from hepatitis B core antibody (HBcAb)-positive donors is relatively common in regions with high hepatitis B virus (HBV) prevalence. This practice poses a potential risk of HBV transmission. However, the impact of these grafts on pediatric liver transplant recipients is not well-established.</p><p><strong>Method: </strong>To address these knowledge gaps, we conducted a prospective observational cohort study to assess the risk of post-transplant HBV transmission in pediatric recipients of HBcAb-positive grafts. Hepatitis B serology and liver tissue analyses for HBV DNA were performed during post-transplantation follow-up of 188 pediatric recipients.</p><p><strong>Results: </strong>In the cohort study, 43 pediatric recipients (22.9%) received HBcAb-positive grafts, while 145 (77.1%) received HBcAb-negative grafts. Over a median follow-up of 43 weeks, 10 recipients (5.3% of the total cohort) developed HBV infection. The cumulative incidence of de novo HBV infection was significantly higher in recipients of HBcAb-positive grafts (18%, 95% CI: 5-31) compared to recipients of HBcAb-negative grafts (3%, 95% CI: 0-6, p < 0.05). Notably, higher levels of hepatitis B surface antibody (HBsAb ≥ 100mIU/ml) in pediatric recipients were associated with a significantly reduced risk of post-transplant de novo HBV infection (p < 0.05).</p><p><strong>Conclusion: </strong>HBcAb-positive grafts substantially increase HBV transmission risk in pediatric liver transplantation. Elevated HBsAb titers may mitigate infection severity, while occult HBV infections require vigilant monitoring. Strategic enhancement of recipient HBsAb levels and optimized prophylactic protocols are critical for improving outcomes.</p>","PeriodicalId":23616,"journal":{"name":"Virology Journal","volume":"22 1","pages":"312"},"PeriodicalIF":4.0000,"publicationDate":"2025-09-29","publicationTypes":"Journal Article","fieldsOfStudy":null,"isOpenAccess":false,"openAccessPdf":"https://www.ncbi.nlm.nih.gov/pmc/articles/PMC12482531/pdf/","citationCount":"0","resultStr":"{\"title\":\"Risk of HBV transmission from HBcAb-positive grafts in pediatric liver transplantation: a real-world prospective cohort study.\",\"authors\":\"Yuting Yang, Guojin Wu, Xiaoke Dai, Tengteng Zhang, Bingqian Tan, Yue Lu, Mingman Zhang, Yao Zhao\",\"doi\":\"10.1186/s12985-025-02941-1\",\"DOIUrl\":null,\"url\":null,\"abstract\":\"<p><strong>Background: </strong>The utilization of liver grafts from hepatitis B core antibody (HBcAb)-positive donors is relatively common in regions with high hepatitis B virus (HBV) prevalence. This practice poses a potential risk of HBV transmission. However, the impact of these grafts on pediatric liver transplant recipients is not well-established.</p><p><strong>Method: </strong>To address these knowledge gaps, we conducted a prospective observational cohort study to assess the risk of post-transplant HBV transmission in pediatric recipients of HBcAb-positive grafts. Hepatitis B serology and liver tissue analyses for HBV DNA were performed during post-transplantation follow-up of 188 pediatric recipients.</p><p><strong>Results: </strong>In the cohort study, 43 pediatric recipients (22.9%) received HBcAb-positive grafts, while 145 (77.1%) received HBcAb-negative grafts. Over a median follow-up of 43 weeks, 10 recipients (5.3% of the total cohort) developed HBV infection. The cumulative incidence of de novo HBV infection was significantly higher in recipients of HBcAb-positive grafts (18%, 95% CI: 5-31) compared to recipients of HBcAb-negative grafts (3%, 95% CI: 0-6, p < 0.05). Notably, higher levels of hepatitis B surface antibody (HBsAb ≥ 100mIU/ml) in pediatric recipients were associated with a significantly reduced risk of post-transplant de novo HBV infection (p < 0.05).</p><p><strong>Conclusion: </strong>HBcAb-positive grafts substantially increase HBV transmission risk in pediatric liver transplantation. Elevated HBsAb titers may mitigate infection severity, while occult HBV infections require vigilant monitoring. Strategic enhancement of recipient HBsAb levels and optimized prophylactic protocols are critical for improving outcomes.</p>\",\"PeriodicalId\":23616,\"journal\":{\"name\":\"Virology Journal\",\"volume\":\"22 1\",\"pages\":\"312\"},\"PeriodicalIF\":4.0000,\"publicationDate\":\"2025-09-29\",\"publicationTypes\":\"Journal Article\",\"fieldsOfStudy\":null,\"isOpenAccess\":false,\"openAccessPdf\":\"https://www.ncbi.nlm.nih.gov/pmc/articles/PMC12482531/pdf/\",\"citationCount\":\"0\",\"resultStr\":null,\"platform\":\"Semanticscholar\",\"paperid\":null,\"PeriodicalName\":\"Virology Journal\",\"FirstCategoryId\":\"3\",\"ListUrlMain\":\"https://doi.org/10.1186/s12985-025-02941-1\",\"RegionNum\":3,\"RegionCategory\":\"医学\",\"ArticlePicture\":[],\"TitleCN\":null,\"AbstractTextCN\":null,\"PMCID\":null,\"EPubDate\":\"\",\"PubModel\":\"\",\"JCR\":\"Q2\",\"JCRName\":\"VIROLOGY\",\"Score\":null,\"Total\":0}","platform":"Semanticscholar","paperid":null,"PeriodicalName":"Virology Journal","FirstCategoryId":"3","ListUrlMain":"https://doi.org/10.1186/s12985-025-02941-1","RegionNum":3,"RegionCategory":"医学","ArticlePicture":[],"TitleCN":null,"AbstractTextCN":null,"PMCID":null,"EPubDate":"","PubModel":"","JCR":"Q2","JCRName":"VIROLOGY","Score":null,"Total":0}
引用次数: 0

摘要

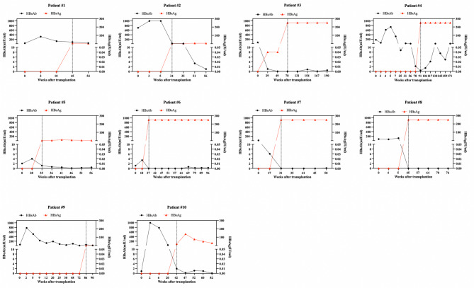
背景:乙型肝炎核心抗体(HBcAb)阳性供者的肝移植在乙型肝炎病毒(HBV)高流行地区相对普遍。这种做法具有HBV传播的潜在风险。然而,这些移植物对儿童肝移植受者的影响尚不明确。方法:为了解决这些知识空白,我们进行了一项前瞻性观察队列研究,以评估hbcab阳性移植儿童受体移植后HBV传播的风险。在188名儿童受体移植后随访期间进行乙肝血清学和肝组织HBV DNA分析。结果:在队列研究中,43名儿童接受hbcab阳性移植(22.9%),145名接受hbcab阴性移植(77.1%)。在43周的中位随访中,10名接受者(占总队列的5.3%)出现HBV感染。乙肝病毒阳性移植受者的累积新发HBV感染发生率(18%,95% CI: 5-31)明显高于乙肝病毒阴性移植受者(3%,95% CI: 0-6, p)。结论:乙肝病毒阳性移植显著增加了儿童肝移植中乙肝病毒传播的风险。HBsAb滴度升高可能减轻感染的严重程度,而隐匿性HBV感染需要警惕监测。战略性地提高受体HBsAb水平和优化预防方案对改善结果至关重要。
本文章由计算机程序翻译,如有差异,请以英文原文为准。

Risk of HBV transmission from HBcAb-positive grafts in pediatric liver transplantation: a real-world prospective cohort study.

Risk of HBV transmission from HBcAb-positive grafts in pediatric liver transplantation: a real-world prospective cohort study.

Risk of HBV transmission from HBcAb-positive grafts in pediatric liver transplantation: a real-world prospective cohort study.

Risk of HBV transmission from HBcAb-positive grafts in pediatric liver transplantation: a real-world prospective cohort study.

Background: The utilization of liver grafts from hepatitis B core antibody (HBcAb)-positive donors is relatively common in regions with high hepatitis B virus (HBV) prevalence. This practice poses a potential risk of HBV transmission. However, the impact of these grafts on pediatric liver transplant recipients is not well-established.

Method: To address these knowledge gaps, we conducted a prospective observational cohort study to assess the risk of post-transplant HBV transmission in pediatric recipients of HBcAb-positive grafts. Hepatitis B serology and liver tissue analyses for HBV DNA were performed during post-transplantation follow-up of 188 pediatric recipients.

Results: In the cohort study, 43 pediatric recipients (22.9%) received HBcAb-positive grafts, while 145 (77.1%) received HBcAb-negative grafts. Over a median follow-up of 43 weeks, 10 recipients (5.3% of the total cohort) developed HBV infection. The cumulative incidence of de novo HBV infection was significantly higher in recipients of HBcAb-positive grafts (18%, 95% CI: 5-31) compared to recipients of HBcAb-negative grafts (3%, 95% CI: 0-6, p < 0.05). Notably, higher levels of hepatitis B surface antibody (HBsAb ≥ 100mIU/ml) in pediatric recipients were associated with a significantly reduced risk of post-transplant de novo HBV infection (p < 0.05).

Conclusion: HBcAb-positive grafts substantially increase HBV transmission risk in pediatric liver transplantation. Elevated HBsAb titers may mitigate infection severity, while occult HBV infections require vigilant monitoring. Strategic enhancement of recipient HBsAb levels and optimized prophylactic protocols are critical for improving outcomes.

求助全文
通过发布文献求助,成功后即可免费获取论文全文。 去求助
来源期刊
Virology Journal
Virology Journal 医学-病毒学
CiteScore
7.40
自引率
2.10%
发文量
186
审稿时长
1 months
期刊介绍: Virology Journal is an open access, peer reviewed journal that considers articles on all aspects of virology, including research on the viruses of animals, plants and microbes. The journal welcomes basic research as well as pre-clinical and clinical studies of novel diagnostic tools, vaccines and anti-viral therapies. The Editorial policy of Virology Journal is to publish all research which is assessed by peer reviewers to be a coherent and sound addition to the scientific literature, and puts less emphasis on interest levels or perceived impact.
×
引用
GB/T 7714-2015
复制
MLA
复制
APA
复制
导出至
BibTeX EndNote RefMan NoteFirst NoteExpress
×
提示
您的信息不完整,为了账户安全,请先补充。
现在去补充
×
提示
您因"违规操作"
具体请查看互助需知
我知道了
×
提示
确定
请完成安全验证×
copy
已复制链接
快去分享给好友吧!
我知道了
右上角分享
点击右上角分享
0
联系我们:info@booksci.cn Book学术提供免费学术资源搜索服务,方便国内外学者检索中英文文献。致力于提供最便捷和优质的服务体验。 Copyright © 2023 布克学术 All rights reserved.
京ICP备2023020795号-1
ghs 京公网安备 11010802042870号
Book学术文献互助
Book学术文献互助群
群 号:604180095
Book学术官方微信