通过有益菌提高氮素利用率,提高小麦产量,减少对化肥的依赖。

IF 5 1区 农林科学 Q1 AGRONOMY
Rice Pub Date : 2025-09-29 DOI:10.1186/s12284-025-00849-6
Muhammad Shaaban, Aneela Younas, Mirza Abid Mehmood, Zhaoyong Shi, Xiaoling Wang
{"title":"通过有益菌提高氮素利用率,提高小麦产量,减少对化肥的依赖。","authors":"Muhammad Shaaban, Aneela Younas, Mirza Abid Mehmood, Zhaoyong Shi, Xiaoling Wang","doi":"10.1186/s12284-025-00849-6","DOIUrl":null,"url":null,"abstract":"<p><p>Rising food demand has led to heavy use of chemical fertilizers, which are costly and pose serious threats to soil health and the environment. This two-year field study evaluated whether integrating beneficial bacteria with reduced nitrogen (N) fertilizer could improve soil health, wheat productivity, and N use efficiency (NUE), thereby reducing dependence on chemical N inputs. Nine treatments were tested, including combinations of no N (CK), 50% (N50) and 100% (N100) recommended N rates, with or without soil application and seed inoculation using beneficial bacteria (SAB and SIB). Results demonstrated that seed inoculation with beneficial bacteria (particularly N50 + SIB and N100 + SIB) significantly enhanced soil ammonium and nitrate contents, microbial biomass carbon (MBC), dissolved organic carbon (DOC), and soil enzyme activities at critical growth stages compared to uninoculated controls. These improvements in soil health translated into better plant physiological functioning, evidenced by increased chlorophyll content, higher antioxidant enzyme activities (CAT, POD, SOD, GSH), and reduced membrane injury. Consequently, beneficial bacteria inoculated treatments improved N accumulation and translocation efficiencies, with N100 + SIB showing the highest N accumulation at maturity and its contribution to grain. Grain N content and 1000-grain weight were substantially improved with bacterial treatments, with N100 + SIB achieving a 15-20% increase in protein content and the highest grain yield (5705-5760 kg/ha). Notably, N50 + SIB achieved comparable grain yield and quality improvements as N100 alone, highlighting a promising reduction in chemical N dependency. Moreover, bacterial treatments enhanced PFPN, NUPE, and NIE by 16-34% over conventional N treatments, and the N harvest index (NHI) exceeded 67% in N100 + SIB, indicating efficient N partitioning into grain. In summary, seed inoculation with beneficial bacteria significantly improved soil health, plant growth, and N utilization, allowing for reduced application of synthetic N fertilizers without compromising wheat yield or grain quality. This suggests a sustainable and eco-friendly strategy for enhancing N use efficiency in wheat production.</p>","PeriodicalId":21408,"journal":{"name":"Rice","volume":"18 1","pages":"85"},"PeriodicalIF":5.0000,"publicationDate":"2025-09-29","publicationTypes":"Journal Article","fieldsOfStudy":null,"isOpenAccess":false,"openAccessPdf":"https://www.ncbi.nlm.nih.gov/pmc/articles/PMC12480188/pdf/","citationCount":"0","resultStr":"{\"title\":\"Enhancing N use Efficiency, Increasing Wheat Yield and Reducing Chemical Fertilizer Dependence via Beneficial Bacteria.\",\"authors\":\"Muhammad Shaaban, Aneela Younas, Mirza Abid Mehmood, Zhaoyong Shi, Xiaoling Wang\",\"doi\":\"10.1186/s12284-025-00849-6\",\"DOIUrl\":null,\"url\":null,\"abstract\":\"<p><p>Rising food demand has led to heavy use of chemical fertilizers, which are costly and pose serious threats to soil health and the environment. This two-year field study evaluated whether integrating beneficial bacteria with reduced nitrogen (N) fertilizer could improve soil health, wheat productivity, and N use efficiency (NUE), thereby reducing dependence on chemical N inputs. Nine treatments were tested, including combinations of no N (CK), 50% (N50) and 100% (N100) recommended N rates, with or without soil application and seed inoculation using beneficial bacteria (SAB and SIB). Results demonstrated that seed inoculation with beneficial bacteria (particularly N50 + SIB and N100 + SIB) significantly enhanced soil ammonium and nitrate contents, microbial biomass carbon (MBC), dissolved organic carbon (DOC), and soil enzyme activities at critical growth stages compared to uninoculated controls. These improvements in soil health translated into better plant physiological functioning, evidenced by increased chlorophyll content, higher antioxidant enzyme activities (CAT, POD, SOD, GSH), and reduced membrane injury. Consequently, beneficial bacteria inoculated treatments improved N accumulation and translocation efficiencies, with N100 + SIB showing the highest N accumulation at maturity and its contribution to grain. Grain N content and 1000-grain weight were substantially improved with bacterial treatments, with N100 + SIB achieving a 15-20% increase in protein content and the highest grain yield (5705-5760 kg/ha). Notably, N50 + SIB achieved comparable grain yield and quality improvements as N100 alone, highlighting a promising reduction in chemical N dependency. Moreover, bacterial treatments enhanced PFPN, NUPE, and NIE by 16-34% over conventional N treatments, and the N harvest index (NHI) exceeded 67% in N100 + SIB, indicating efficient N partitioning into grain. In summary, seed inoculation with beneficial bacteria significantly improved soil health, plant growth, and N utilization, allowing for reduced application of synthetic N fertilizers without compromising wheat yield or grain quality. This suggests a sustainable and eco-friendly strategy for enhancing N use efficiency in wheat production.</p>\",\"PeriodicalId\":21408,\"journal\":{\"name\":\"Rice\",\"volume\":\"18 1\",\"pages\":\"85\"},\"PeriodicalIF\":5.0000,\"publicationDate\":\"2025-09-29\",\"publicationTypes\":\"Journal Article\",\"fieldsOfStudy\":null,\"isOpenAccess\":false,\"openAccessPdf\":\"https://www.ncbi.nlm.nih.gov/pmc/articles/PMC12480188/pdf/\",\"citationCount\":\"0\",\"resultStr\":null,\"platform\":\"Semanticscholar\",\"paperid\":null,\"PeriodicalName\":\"Rice\",\"FirstCategoryId\":\"97\",\"ListUrlMain\":\"https://doi.org/10.1186/s12284-025-00849-6\",\"RegionNum\":1,\"RegionCategory\":\"农林科学\",\"ArticlePicture\":[],\"TitleCN\":null,\"AbstractTextCN\":null,\"PMCID\":null,\"EPubDate\":\"\",\"PubModel\":\"\",\"JCR\":\"Q1\",\"JCRName\":\"AGRONOMY\",\"Score\":null,\"Total\":0}","platform":"Semanticscholar","paperid":null,"PeriodicalName":"Rice","FirstCategoryId":"97","ListUrlMain":"https://doi.org/10.1186/s12284-025-00849-6","RegionNum":1,"RegionCategory":"农林科学","ArticlePicture":[],"TitleCN":null,"AbstractTextCN":null,"PMCID":null,"EPubDate":"","PubModel":"","JCR":"Q1","JCRName":"AGRONOMY","Score":null,"Total":0}
引用次数: 0

摘要

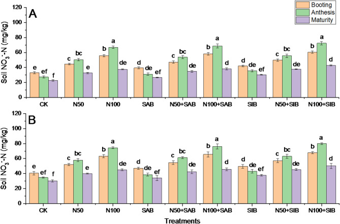
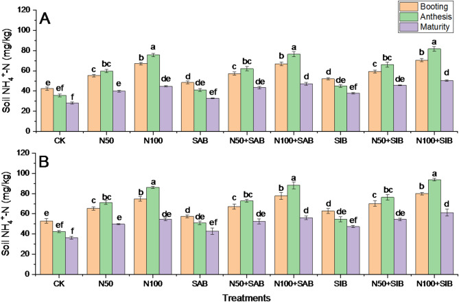
不断增长的粮食需求导致大量使用化肥,化肥价格昂贵,对土壤健康和环境构成严重威胁。这项为期两年的田间研究评估了将有益菌与还原性氮肥结合是否能改善土壤健康、小麦生产力和氮素利用效率,从而减少对化学氮素投入的依赖。试验采用无氮肥(CK)、50% (N50)和100% (N100)推荐施氮量组合、有或无土壤施肥和接种有益菌(SAB和SIB)的9种处理。结果表明,与未接种种子的对照相比,接种有益菌(特别是N50 + SIB和N100 + SIB)显著提高了关键生育期土壤铵态氮和硝态氮含量、微生物生物量碳(MBC)、溶解有机碳(DOC)和土壤酶活性。这些土壤健康的改善转化为更好的植物生理功能,表现为叶绿素含量增加,抗氧化酶(CAT, POD, SOD, GSH)活性提高,膜损伤减少。因此,接种有益菌处理提高了氮素积累和转运效率,其中N100 + SIB在成熟期氮素积累量最高,对籽粒的贡献最大。细菌处理显著提高了籽粒氮含量和千粒重,其中N100 + SIB处理可使籽粒蛋白质含量提高15-20%,籽粒产量最高(5705-5760 kg/ha)。值得注意的是,N50 + SIB与单独施用N100相比,在粮食产量和品质方面取得了相当的改善,这表明有希望减少对化学氮的依赖。细菌处理使PFPN、NUPE和NIE比常规施氮处理提高了16-34%,氮素收获指数(NHI)在N100 + SIB中超过67%,表明氮素在籽粒中的有效分配。综上所述,接种有益菌显著改善了土壤健康、植物生长和氮素利用,在不影响小麦产量和籽粒品质的情况下,减少了合成氮肥的施用。这为提高小麦氮素利用效率提供了可持续和生态友好的策略。
本文章由计算机程序翻译,如有差异,请以英文原文为准。

Enhancing N use Efficiency, Increasing Wheat Yield and Reducing Chemical Fertilizer Dependence via Beneficial Bacteria.

Enhancing N use Efficiency, Increasing Wheat Yield and Reducing Chemical Fertilizer Dependence via Beneficial Bacteria.

Enhancing N use Efficiency, Increasing Wheat Yield and Reducing Chemical Fertilizer Dependence via Beneficial Bacteria.

Enhancing N use Efficiency, Increasing Wheat Yield and Reducing Chemical Fertilizer Dependence via Beneficial Bacteria.

Rising food demand has led to heavy use of chemical fertilizers, which are costly and pose serious threats to soil health and the environment. This two-year field study evaluated whether integrating beneficial bacteria with reduced nitrogen (N) fertilizer could improve soil health, wheat productivity, and N use efficiency (NUE), thereby reducing dependence on chemical N inputs. Nine treatments were tested, including combinations of no N (CK), 50% (N50) and 100% (N100) recommended N rates, with or without soil application and seed inoculation using beneficial bacteria (SAB and SIB). Results demonstrated that seed inoculation with beneficial bacteria (particularly N50 + SIB and N100 + SIB) significantly enhanced soil ammonium and nitrate contents, microbial biomass carbon (MBC), dissolved organic carbon (DOC), and soil enzyme activities at critical growth stages compared to uninoculated controls. These improvements in soil health translated into better plant physiological functioning, evidenced by increased chlorophyll content, higher antioxidant enzyme activities (CAT, POD, SOD, GSH), and reduced membrane injury. Consequently, beneficial bacteria inoculated treatments improved N accumulation and translocation efficiencies, with N100 + SIB showing the highest N accumulation at maturity and its contribution to grain. Grain N content and 1000-grain weight were substantially improved with bacterial treatments, with N100 + SIB achieving a 15-20% increase in protein content and the highest grain yield (5705-5760 kg/ha). Notably, N50 + SIB achieved comparable grain yield and quality improvements as N100 alone, highlighting a promising reduction in chemical N dependency. Moreover, bacterial treatments enhanced PFPN, NUPE, and NIE by 16-34% over conventional N treatments, and the N harvest index (NHI) exceeded 67% in N100 + SIB, indicating efficient N partitioning into grain. In summary, seed inoculation with beneficial bacteria significantly improved soil health, plant growth, and N utilization, allowing for reduced application of synthetic N fertilizers without compromising wheat yield or grain quality. This suggests a sustainable and eco-friendly strategy for enhancing N use efficiency in wheat production.

求助全文
通过发布文献求助,成功后即可免费获取论文全文。 去求助
来源期刊
Rice
Rice AGRONOMY-
CiteScore
10.10
自引率
3.60%
发文量
60
审稿时长
>12 weeks
期刊介绍: Rice aims to fill a glaring void in basic and applied plant science journal publishing. This journal is the world''s only high-quality serial publication for reporting current advances in rice genetics, structural and functional genomics, comparative genomics, molecular biology and physiology, molecular breeding and comparative biology. Rice welcomes review articles and original papers in all of the aforementioned areas and serves as the primary source of newly published information for researchers and students in rice and related research.
×
引用
GB/T 7714-2015
复制
MLA
复制
APA
复制
导出至
BibTeX EndNote RefMan NoteFirst NoteExpress
×
提示
您的信息不完整,为了账户安全,请先补充。
现在去补充
×
提示
您因"违规操作"
具体请查看互助需知
我知道了
×
提示
确定
请完成安全验证×
copy
已复制链接
快去分享给好友吧!
我知道了
右上角分享
点击右上角分享
0
联系我们:info@booksci.cn Book学术提供免费学术资源搜索服务,方便国内外学者检索中英文文献。致力于提供最便捷和优质的服务体验。 Copyright © 2023 布克学术 All rights reserved.
京ICP备2023020795号-1
ghs 京公网安备 11010802042870号
Book学术文献互助
Book学术文献互助群
群 号:604180095
Book学术官方微信