甘油三酯-葡萄糖指数及其联合肥胖指数与心-肾-代谢多病的关系:德黑兰脂质和葡萄糖研究的20年随访

IF 10.6 1区 医学 Q1 CARDIAC & CARDIOVASCULAR SYSTEMS
Soroush Soraneh, Navid Ebrahimi, Soroush Masrouri, Maryam Tohidi, Fereidoun Azizi, Farzad Hadaegh
{"title":"甘油三酯-葡萄糖指数及其联合肥胖指数与心-肾-代谢多病的关系:德黑兰脂质和葡萄糖研究的20年随访","authors":"Soroush Soraneh, Navid Ebrahimi, Soroush Masrouri, Maryam Tohidi, Fereidoun Azizi, Farzad Hadaegh","doi":"10.1186/s12933-025-02944-w","DOIUrl":null,"url":null,"abstract":"<p><strong>Objective: </strong>To investigate the associations between the triglyceride-glucose (TyG) index and its obesity-related derivatives with the risk of incident cardio-renal-metabolic multimorbidity (CRMM) in a Middle Eastern adult population initially free of cardiovascular disease (CVD), type 2 diabetes mellitus (T2DM), and chronic kidney disease (CKD).</p><p><strong>Methods: </strong>In this prospective cohort analysis of 5845 Iranian adults from the Tehran Lipid and Glucose Study, we evaluated the associations of the TyG index and its combinations with body mass index (BMI), waist circumference (WC), waist-height ratio (WHtR), and waist-hip ratio (WHR) with the incidence of CRMM. Multivariable Cox proportional hazards models were used to estimate the associations between TyG indices and CRMM risk. The Wald test was used to formally compare the effect sizes of each TyG-related index with that of the TyG index in multivariable models. The predictive performance of these indices was evaluated using Harrell's C-index and the integrated discrimination improvement (IDI).</p><p><strong>Results: </strong>Over a median follow-up of 15.3 years (IQR: 11.9-16.4), 344 individuals (5.9%) developed CRMM. Restricted cubic spline models demonstrated significant linear associations between TyG indices and CRMM risk. The corresponding HRs (95% CI) per 1-SD increase were 1.41 (1.24-1.60) for the TyG index, 1.52 (1.36-1.71) for TyG-BMI, 1.57 (1.38-1.78) for TyG-WC, 1.57 (1.38-1.78) for TyG-WHtR, and 1.42 (1.24-1.63) for TyG-WHR (all P < 0.001). The inclusion of anthropometric measures alongside the TyG index did not substantially enhance its association with CRMM risk (all P for differences ≥ 0.05). Incremental predictive performance analyses showed modest but statistically significant improvements when adding TyG and TyG-obesity indices to conventional risk factors (all P < 0.05), whereas incorporating anthropometric-based indices to a model already containing TyG did not yield additional predictive improvement (all P > 0.05). The majority of associations remained robust after adjustment for homeostatic model assessment of insulin resistance and in sensitivity analyses. The association between TyG-WHR and CRMM was more pronounced among non-obese than obese individuals (P for interaction < 0.001).</p><p><strong>Conclusions: </strong>Higher levels of TyG and TyG-obesity indices were independently associated with an increased risk of CRMM; however, incorporating obesity indices did not confer substantial improvement over the TyG index alone.</p>","PeriodicalId":9374,"journal":{"name":"Cardiovascular Diabetology","volume":"24 1","pages":"369"},"PeriodicalIF":10.6000,"publicationDate":"2025-09-29","publicationTypes":"Journal Article","fieldsOfStudy":null,"isOpenAccess":false,"openAccessPdf":"https://www.ncbi.nlm.nih.gov/pmc/articles/PMC12482255/pdf/","citationCount":"0","resultStr":"{\"title\":\"Association of the triglyceride-glucose index and its combination with obesity indices with cardio-renal-metabolic multimorbidity: two decades of follow-up in the Tehran Lipid and Glucose Study.\",\"authors\":\"Soroush Soraneh, Navid Ebrahimi, Soroush Masrouri, Maryam Tohidi, Fereidoun Azizi, Farzad Hadaegh\",\"doi\":\"10.1186/s12933-025-02944-w\",\"DOIUrl\":null,\"url\":null,\"abstract\":\"<p><strong>Objective: </strong>To investigate the associations between the triglyceride-glucose (TyG) index and its obesity-related derivatives with the risk of incident cardio-renal-metabolic multimorbidity (CRMM) in a Middle Eastern adult population initially free of cardiovascular disease (CVD), type 2 diabetes mellitus (T2DM), and chronic kidney disease (CKD).</p><p><strong>Methods: </strong>In this prospective cohort analysis of 5845 Iranian adults from the Tehran Lipid and Glucose Study, we evaluated the associations of the TyG index and its combinations with body mass index (BMI), waist circumference (WC), waist-height ratio (WHtR), and waist-hip ratio (WHR) with the incidence of CRMM. Multivariable Cox proportional hazards models were used to estimate the associations between TyG indices and CRMM risk. The Wald test was used to formally compare the effect sizes of each TyG-related index with that of the TyG index in multivariable models. The predictive performance of these indices was evaluated using Harrell's C-index and the integrated discrimination improvement (IDI).</p><p><strong>Results: </strong>Over a median follow-up of 15.3 years (IQR: 11.9-16.4), 344 individuals (5.9%) developed CRMM. Restricted cubic spline models demonstrated significant linear associations between TyG indices and CRMM risk. The corresponding HRs (95% CI) per 1-SD increase were 1.41 (1.24-1.60) for the TyG index, 1.52 (1.36-1.71) for TyG-BMI, 1.57 (1.38-1.78) for TyG-WC, 1.57 (1.38-1.78) for TyG-WHtR, and 1.42 (1.24-1.63) for TyG-WHR (all P < 0.001). The inclusion of anthropometric measures alongside the TyG index did not substantially enhance its association with CRMM risk (all P for differences ≥ 0.05). Incremental predictive performance analyses showed modest but statistically significant improvements when adding TyG and TyG-obesity indices to conventional risk factors (all P < 0.05), whereas incorporating anthropometric-based indices to a model already containing TyG did not yield additional predictive improvement (all P > 0.05). The majority of associations remained robust after adjustment for homeostatic model assessment of insulin resistance and in sensitivity analyses. The association between TyG-WHR and CRMM was more pronounced among non-obese than obese individuals (P for interaction < 0.001).</p><p><strong>Conclusions: </strong>Higher levels of TyG and TyG-obesity indices were independently associated with an increased risk of CRMM; however, incorporating obesity indices did not confer substantial improvement over the TyG index alone.</p>\",\"PeriodicalId\":9374,\"journal\":{\"name\":\"Cardiovascular Diabetology\",\"volume\":\"24 1\",\"pages\":\"369\"},\"PeriodicalIF\":10.6000,\"publicationDate\":\"2025-09-29\",\"publicationTypes\":\"Journal Article\",\"fieldsOfStudy\":null,\"isOpenAccess\":false,\"openAccessPdf\":\"https://www.ncbi.nlm.nih.gov/pmc/articles/PMC12482255/pdf/\",\"citationCount\":\"0\",\"resultStr\":null,\"platform\":\"Semanticscholar\",\"paperid\":null,\"PeriodicalName\":\"Cardiovascular Diabetology\",\"FirstCategoryId\":\"3\",\"ListUrlMain\":\"https://doi.org/10.1186/s12933-025-02944-w\",\"RegionNum\":1,\"RegionCategory\":\"医学\",\"ArticlePicture\":[],\"TitleCN\":null,\"AbstractTextCN\":null,\"PMCID\":null,\"EPubDate\":\"\",\"PubModel\":\"\",\"JCR\":\"Q1\",\"JCRName\":\"CARDIAC & CARDIOVASCULAR SYSTEMS\",\"Score\":null,\"Total\":0}","platform":"Semanticscholar","paperid":null,"PeriodicalName":"Cardiovascular Diabetology","FirstCategoryId":"3","ListUrlMain":"https://doi.org/10.1186/s12933-025-02944-w","RegionNum":1,"RegionCategory":"医学","ArticlePicture":[],"TitleCN":null,"AbstractTextCN":null,"PMCID":null,"EPubDate":"","PubModel":"","JCR":"Q1","JCRName":"CARDIAC & CARDIOVASCULAR SYSTEMS","Score":null,"Total":0}
引用次数: 0

摘要

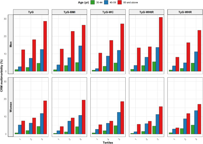
目的:研究中东成人初始无心血管疾病(CVD)、2型糖尿病(T2DM)和慢性肾脏疾病(CKD)的人群中,甘油三酯-葡萄糖(TyG)指数及其肥胖相关衍生物与心血管-肾脏代谢多病(CRMM)发生风险的关系。方法:在这项来自德黑兰脂质和葡萄糖研究的5845名伊朗成年人的前瞻性队列分析中,我们评估了TyG指数及其与体重指数(BMI)、腰围(WC)、腰高比(WHtR)和腰臀比(WHR)的组合与CRMM发病率的关系。采用多变量Cox比例风险模型估计TyG指数与CRMM风险之间的相关性。采用Wald检验将各TyG相关指标与多变量模型中TyG指数的效应量进行形式化比较。采用Harrell’sc指数和综合判别改进(IDI)对这些指标的预测性能进行评价。结果:中位随访15.3年(IQR: 11.9-16.4), 344人(5.9%)发展为CRMM。限制三次样条模型显示TyG指数与CRMM风险之间存在显著的线性关联。TyG指数每增加1-SD对应的hr (95% CI)为1.41 (1.24-1.60),TyG- bmi为1.52 (1.36-1.71),TyG- wc为1.57 (1.38-1.78),TyG- whtr为1.57 (1.38-1.78),TyG- whr为1.42(1.24-1.63)(均P < 0.05)。在调整了胰岛素抵抗的稳态模型评估和敏感性分析后,大多数相关性仍然很强。结论:较高水平的TyG和TyG-obesity指数与CRMM风险增加独立相关;然而,与单独的TyG指数相比,合并肥胖指数并没有带来实质性的改善。
本文章由计算机程序翻译,如有差异,请以英文原文为准。

Association of the triglyceride-glucose index and its combination with obesity indices with cardio-renal-metabolic multimorbidity: two decades of follow-up in the Tehran Lipid and Glucose Study.

Association of the triglyceride-glucose index and its combination with obesity indices with cardio-renal-metabolic multimorbidity: two decades of follow-up in the Tehran Lipid and Glucose Study.

Association of the triglyceride-glucose index and its combination with obesity indices with cardio-renal-metabolic multimorbidity: two decades of follow-up in the Tehran Lipid and Glucose Study.

Association of the triglyceride-glucose index and its combination with obesity indices with cardio-renal-metabolic multimorbidity: two decades of follow-up in the Tehran Lipid and Glucose Study.

Objective: To investigate the associations between the triglyceride-glucose (TyG) index and its obesity-related derivatives with the risk of incident cardio-renal-metabolic multimorbidity (CRMM) in a Middle Eastern adult population initially free of cardiovascular disease (CVD), type 2 diabetes mellitus (T2DM), and chronic kidney disease (CKD).

Methods: In this prospective cohort analysis of 5845 Iranian adults from the Tehran Lipid and Glucose Study, we evaluated the associations of the TyG index and its combinations with body mass index (BMI), waist circumference (WC), waist-height ratio (WHtR), and waist-hip ratio (WHR) with the incidence of CRMM. Multivariable Cox proportional hazards models were used to estimate the associations between TyG indices and CRMM risk. The Wald test was used to formally compare the effect sizes of each TyG-related index with that of the TyG index in multivariable models. The predictive performance of these indices was evaluated using Harrell's C-index and the integrated discrimination improvement (IDI).

Results: Over a median follow-up of 15.3 years (IQR: 11.9-16.4), 344 individuals (5.9%) developed CRMM. Restricted cubic spline models demonstrated significant linear associations between TyG indices and CRMM risk. The corresponding HRs (95% CI) per 1-SD increase were 1.41 (1.24-1.60) for the TyG index, 1.52 (1.36-1.71) for TyG-BMI, 1.57 (1.38-1.78) for TyG-WC, 1.57 (1.38-1.78) for TyG-WHtR, and 1.42 (1.24-1.63) for TyG-WHR (all P < 0.001). The inclusion of anthropometric measures alongside the TyG index did not substantially enhance its association with CRMM risk (all P for differences ≥ 0.05). Incremental predictive performance analyses showed modest but statistically significant improvements when adding TyG and TyG-obesity indices to conventional risk factors (all P < 0.05), whereas incorporating anthropometric-based indices to a model already containing TyG did not yield additional predictive improvement (all P > 0.05). The majority of associations remained robust after adjustment for homeostatic model assessment of insulin resistance and in sensitivity analyses. The association between TyG-WHR and CRMM was more pronounced among non-obese than obese individuals (P for interaction < 0.001).

Conclusions: Higher levels of TyG and TyG-obesity indices were independently associated with an increased risk of CRMM; however, incorporating obesity indices did not confer substantial improvement over the TyG index alone.

求助全文
通过发布文献求助,成功后即可免费获取论文全文。 去求助
来源期刊
Cardiovascular Diabetology
Cardiovascular Diabetology 医学-内分泌学与代谢
CiteScore
12.30
自引率
15.10%
发文量
240
审稿时长
1 months
期刊介绍: Cardiovascular Diabetology is a journal that welcomes manuscripts exploring various aspects of the relationship between diabetes, cardiovascular health, and the metabolic syndrome. We invite submissions related to clinical studies, genetic investigations, experimental research, pharmacological studies, epidemiological analyses, and molecular biology research in this field.
×
引用
GB/T 7714-2015
复制
MLA
复制
APA
复制
导出至
BibTeX EndNote RefMan NoteFirst NoteExpress
×
提示
您的信息不完整,为了账户安全,请先补充。
现在去补充
×
提示
您因"违规操作"
具体请查看互助需知
我知道了
×
提示
确定
请完成安全验证×
copy
已复制链接
快去分享给好友吧!
我知道了
右上角分享
点击右上角分享
0
联系我们:info@booksci.cn Book学术提供免费学术资源搜索服务,方便国内外学者检索中英文文献。致力于提供最便捷和优质的服务体验。 Copyright © 2023 布克学术 All rights reserved.
京ICP备2023020795号-1
ghs 京公网安备 11010802042870号
Book学术文献互助
Book学术文献互助群
群 号:604180095
Book学术官方微信