MolGraph-xLSTM是一个基于图的双层xLSTM框架,用于增强分子表示和可解释性。

IF 6.2 2区 化学 Q1 CHEMISTRY, MULTIDISCIPLINARY
Yan Sun, Yutong Lu, Yan Yi Li, Zihao Jing, Carson K Leung, Pingzhao Hu
{"title":"MolGraph-xLSTM是一个基于图的双层xLSTM框架,用于增强分子表示和可解释性。","authors":"Yan Sun, Yutong Lu, Yan Yi Li, Zihao Jing, Carson K Leung, Pingzhao Hu","doi":"10.1038/s42004-025-01683-z","DOIUrl":null,"url":null,"abstract":"<p><p>Predicting molecular properties is essential for drug discovery, and computational methods can greatly enhance this process. Molecular graphs have become a focus for representation learning, with Graph Neural Networks (GNNs) widely used. However, GNNs often struggle with capturing long-range dependencies. To address this, we propose MolGraph-xLSTM, a novel graph-based xLSTM model that enhances feature extraction and effectively models molecule long-range interactions. Our approach processes molecular graphs at two scales: atom-level and motif-level. For atom-level graphs, a GNN-based xLSTM framework with jumping knowledge extracts local features and aggregates multilayer information to capture both local and global patterns effectively. Motif-level graphs provide complementary structural information for a broader molecular view. Embeddings from both scales are refined via a multi-head mixture of experts (MHMoE), further enhancing expressiveness and performance. We validate MolGraph-xLSTM on 21 datasets from the MoleculeNet and Therapeutics Data Commons (TDC) benchmarks, covering both classification and regression tasks. On the MoleculeNet benchmark, our model achieves an average AUROC improvement of 3.18% for classification tasks and an RMSE reduction of 3.83% for regression tasks compared to baseline methods. On the TDC benchmark, MolGraph-xLSTM improves AUROC by 2.56%, while reducing RMSE by 3.71% on average. These results confirm the effectiveness of our model in learning generalizable molecular representations for drug discovery.</p>","PeriodicalId":10529,"journal":{"name":"Communications Chemistry","volume":"8 1","pages":"286"},"PeriodicalIF":6.2000,"publicationDate":"2025-09-29","publicationTypes":"Journal Article","fieldsOfStudy":null,"isOpenAccess":false,"openAccessPdf":"https://www.ncbi.nlm.nih.gov/pmc/articles/PMC12480901/pdf/","citationCount":"0","resultStr":"{\"title\":\"MolGraph-xLSTM as a graph-based dual-level xLSTM framework for enhanced molecular representation and interpretability.\",\"authors\":\"Yan Sun, Yutong Lu, Yan Yi Li, Zihao Jing, Carson K Leung, Pingzhao Hu\",\"doi\":\"10.1038/s42004-025-01683-z\",\"DOIUrl\":null,\"url\":null,\"abstract\":\"<p><p>Predicting molecular properties is essential for drug discovery, and computational methods can greatly enhance this process. Molecular graphs have become a focus for representation learning, with Graph Neural Networks (GNNs) widely used. However, GNNs often struggle with capturing long-range dependencies. To address this, we propose MolGraph-xLSTM, a novel graph-based xLSTM model that enhances feature extraction and effectively models molecule long-range interactions. Our approach processes molecular graphs at two scales: atom-level and motif-level. For atom-level graphs, a GNN-based xLSTM framework with jumping knowledge extracts local features and aggregates multilayer information to capture both local and global patterns effectively. Motif-level graphs provide complementary structural information for a broader molecular view. Embeddings from both scales are refined via a multi-head mixture of experts (MHMoE), further enhancing expressiveness and performance. We validate MolGraph-xLSTM on 21 datasets from the MoleculeNet and Therapeutics Data Commons (TDC) benchmarks, covering both classification and regression tasks. On the MoleculeNet benchmark, our model achieves an average AUROC improvement of 3.18% for classification tasks and an RMSE reduction of 3.83% for regression tasks compared to baseline methods. On the TDC benchmark, MolGraph-xLSTM improves AUROC by 2.56%, while reducing RMSE by 3.71% on average. These results confirm the effectiveness of our model in learning generalizable molecular representations for drug discovery.</p>\",\"PeriodicalId\":10529,\"journal\":{\"name\":\"Communications Chemistry\",\"volume\":\"8 1\",\"pages\":\"286\"},\"PeriodicalIF\":6.2000,\"publicationDate\":\"2025-09-29\",\"publicationTypes\":\"Journal Article\",\"fieldsOfStudy\":null,\"isOpenAccess\":false,\"openAccessPdf\":\"https://www.ncbi.nlm.nih.gov/pmc/articles/PMC12480901/pdf/\",\"citationCount\":\"0\",\"resultStr\":null,\"platform\":\"Semanticscholar\",\"paperid\":null,\"PeriodicalName\":\"Communications Chemistry\",\"FirstCategoryId\":\"92\",\"ListUrlMain\":\"https://doi.org/10.1038/s42004-025-01683-z\",\"RegionNum\":2,\"RegionCategory\":\"化学\",\"ArticlePicture\":[],\"TitleCN\":null,\"AbstractTextCN\":null,\"PMCID\":null,\"EPubDate\":\"\",\"PubModel\":\"\",\"JCR\":\"Q1\",\"JCRName\":\"CHEMISTRY, MULTIDISCIPLINARY\",\"Score\":null,\"Total\":0}","platform":"Semanticscholar","paperid":null,"PeriodicalName":"Communications Chemistry","FirstCategoryId":"92","ListUrlMain":"https://doi.org/10.1038/s42004-025-01683-z","RegionNum":2,"RegionCategory":"化学","ArticlePicture":[],"TitleCN":null,"AbstractTextCN":null,"PMCID":null,"EPubDate":"","PubModel":"","JCR":"Q1","JCRName":"CHEMISTRY, MULTIDISCIPLINARY","Score":null,"Total":0}
引用次数: 0

摘要

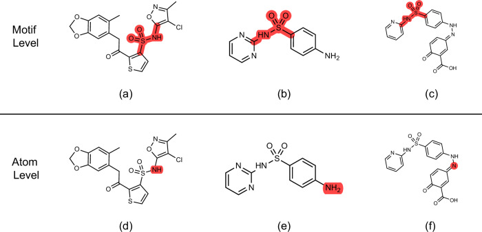
预测分子性质对药物发现至关重要,而计算方法可以大大提高这一过程。随着图神经网络(gnn)的广泛应用,分子图已成为表征学习的一个热点。然而,gnn常常难以捕获远程依赖关系。为了解决这个问题,我们提出了MolGraph-xLSTM,这是一种新的基于图的xLSTM模型,它增强了特征提取并有效地模拟了分子的远程相互作用。我们的方法在两个尺度上处理分子图:原子水平和基序水平。对于原子级图,基于gnn的跳跃知识xLSTM框架提取局部特征,聚合多层信息,有效捕获局部和全局模式。基序级图为更广泛的分子视图提供了互补的结构信息。来自两个尺度的嵌入通过多头混合专家(MHMoE)进行改进,进一步增强了表现力和性能。我们在分子网络和治疗数据共享(TDC)基准测试的21个数据集上验证了MolGraph-xLSTM,涵盖了分类和回归任务。在MoleculeNet基准测试上,与基线方法相比,我们的模型在分类任务上的平均AUROC提高了3.18%,在回归任务上的平均RMSE降低了3.83%。在TDC基准测试中,MolGraph-xLSTM将AUROC提高了2.56%,同时平均降低了3.71%的RMSE。这些结果证实了我们的模型在学习药物发现的可推广分子表征方面的有效性。
本文章由计算机程序翻译,如有差异,请以英文原文为准。

MolGraph-xLSTM as a graph-based dual-level xLSTM framework for enhanced molecular representation and interpretability.

MolGraph-xLSTM as a graph-based dual-level xLSTM framework for enhanced molecular representation and interpretability.

MolGraph-xLSTM as a graph-based dual-level xLSTM framework for enhanced molecular representation and interpretability.

MolGraph-xLSTM as a graph-based dual-level xLSTM framework for enhanced molecular representation and interpretability.

Predicting molecular properties is essential for drug discovery, and computational methods can greatly enhance this process. Molecular graphs have become a focus for representation learning, with Graph Neural Networks (GNNs) widely used. However, GNNs often struggle with capturing long-range dependencies. To address this, we propose MolGraph-xLSTM, a novel graph-based xLSTM model that enhances feature extraction and effectively models molecule long-range interactions. Our approach processes molecular graphs at two scales: atom-level and motif-level. For atom-level graphs, a GNN-based xLSTM framework with jumping knowledge extracts local features and aggregates multilayer information to capture both local and global patterns effectively. Motif-level graphs provide complementary structural information for a broader molecular view. Embeddings from both scales are refined via a multi-head mixture of experts (MHMoE), further enhancing expressiveness and performance. We validate MolGraph-xLSTM on 21 datasets from the MoleculeNet and Therapeutics Data Commons (TDC) benchmarks, covering both classification and regression tasks. On the MoleculeNet benchmark, our model achieves an average AUROC improvement of 3.18% for classification tasks and an RMSE reduction of 3.83% for regression tasks compared to baseline methods. On the TDC benchmark, MolGraph-xLSTM improves AUROC by 2.56%, while reducing RMSE by 3.71% on average. These results confirm the effectiveness of our model in learning generalizable molecular representations for drug discovery.

求助全文
通过发布文献求助,成功后即可免费获取论文全文。 去求助
来源期刊
Communications Chemistry
Communications Chemistry Chemistry-General Chemistry
CiteScore
7.70
自引率
1.70%
发文量
146
审稿时长
13 weeks
期刊介绍: Communications Chemistry is an open access journal from Nature Research publishing high-quality research, reviews and commentary in all areas of the chemical sciences. Research papers published by the journal represent significant advances bringing new chemical insight to a specialized area of research. We also aim to provide a community forum for issues of importance to all chemists, regardless of sub-discipline.
×
引用
GB/T 7714-2015
复制
MLA
复制
APA
复制
导出至
BibTeX EndNote RefMan NoteFirst NoteExpress
×
提示
您的信息不完整,为了账户安全,请先补充。
现在去补充
×
提示
您因"违规操作"
具体请查看互助需知
我知道了
×
提示
确定
请完成安全验证×
copy
已复制链接
快去分享给好友吧!
我知道了
右上角分享
点击右上角分享
0
联系我们:info@booksci.cn Book学术提供免费学术资源搜索服务,方便国内外学者检索中英文文献。致力于提供最便捷和优质的服务体验。 Copyright © 2023 布克学术 All rights reserved.
京ICP备2023020795号-1
ghs 京公网安备 11010802042870号
Book学术文献互助
Book学术文献互助群
群 号:604180095
Book学术官方微信