自杀与杏仁核体积减小之间的直接联系:一项回顾性研究。

IF 1.5 4区 医学 Q4 MEDICINE, RESEARCH & EXPERIMENTAL
Journal of International Medical Research Pub Date : 2025-09-01 Epub Date: 2025-09-29 DOI:10.1177/03000605251380424
Elif Emre, Sevler Yildiz, Ayse Rumeysa Yaman Baran, Gulhan Kilicarslan, Suna Aydin, Esra Piril Agirbas, Burcu Sirlier Emir, İbrahim Sahin, Suleyman Aydin
{"title":"自杀与杏仁核体积减小之间的直接联系:一项回顾性研究。","authors":"Elif Emre, Sevler Yildiz, Ayse Rumeysa Yaman Baran, Gulhan Kilicarslan, Suna Aydin, Esra Piril Agirbas, Burcu Sirlier Emir, İbrahim Sahin, Suleyman Aydin","doi":"10.1177/03000605251380424","DOIUrl":null,"url":null,"abstract":"<p><p>ObjectiveThe neurological causes of suicide remain poorly understood. This study sought to ascertain whether there is a correlation between amygdala volume and suicidal behavior.MethodsThis case-control retrospective study included 193 participants-108 healthy controls and 85 individuals with a history of suicide attempts. Sagittal magnetic resonance imaging was conducted for each participant, and cross-sectional areas of the left and right amygdala were determined independently using freehand tracing. The total volume of the amygdala was determined by multiplying the thickness of the slices by the sum of the regions.ResultsPatients with a history of suicide attempts had significantly decreased amygdala volumes on both the right (<i>p </i>=<i> </i>0.018) and left (<i>p </i>=<i> </i>0.036) sides compared with controls. Receiver operating characteristic analysis determined a cutoff value of 1825 mm³ for both hemispheres. The cutoff sensitivity and specificity for the right amygdala were 30.6% and 88%, whereas the values for the left amygdala were 31.8% and 84.3%, respectively.ConclusionsThis is the first study to show that individuals who had attempted suicide had considerably decreased left and right amygdala volumes, with receiver operating characteristic analysis indicating good specificity (84.3%-88%). According to these findings, a reduced amygdala volume might be a useful biomarker for identifying those who are at risk of attempting suicide.</p>","PeriodicalId":16129,"journal":{"name":"Journal of International Medical Research","volume":"53 9","pages":"3000605251380424"},"PeriodicalIF":1.5000,"publicationDate":"2025-09-01","publicationTypes":"Journal Article","fieldsOfStudy":null,"isOpenAccess":false,"openAccessPdf":"https://www.ncbi.nlm.nih.gov/pmc/articles/PMC12480822/pdf/","citationCount":"0","resultStr":"{\"title\":\"A direct association between suicide and reduced amygdala volume: A retrospective study.\",\"authors\":\"Elif Emre, Sevler Yildiz, Ayse Rumeysa Yaman Baran, Gulhan Kilicarslan, Suna Aydin, Esra Piril Agirbas, Burcu Sirlier Emir, İbrahim Sahin, Suleyman Aydin\",\"doi\":\"10.1177/03000605251380424\",\"DOIUrl\":null,\"url\":null,\"abstract\":\"<p><p>ObjectiveThe neurological causes of suicide remain poorly understood. This study sought to ascertain whether there is a correlation between amygdala volume and suicidal behavior.MethodsThis case-control retrospective study included 193 participants-108 healthy controls and 85 individuals with a history of suicide attempts. Sagittal magnetic resonance imaging was conducted for each participant, and cross-sectional areas of the left and right amygdala were determined independently using freehand tracing. The total volume of the amygdala was determined by multiplying the thickness of the slices by the sum of the regions.ResultsPatients with a history of suicide attempts had significantly decreased amygdala volumes on both the right (<i>p </i>=<i> </i>0.018) and left (<i>p </i>=<i> </i>0.036) sides compared with controls. Receiver operating characteristic analysis determined a cutoff value of 1825 mm³ for both hemispheres. The cutoff sensitivity and specificity for the right amygdala were 30.6% and 88%, whereas the values for the left amygdala were 31.8% and 84.3%, respectively.ConclusionsThis is the first study to show that individuals who had attempted suicide had considerably decreased left and right amygdala volumes, with receiver operating characteristic analysis indicating good specificity (84.3%-88%). According to these findings, a reduced amygdala volume might be a useful biomarker for identifying those who are at risk of attempting suicide.</p>\",\"PeriodicalId\":16129,\"journal\":{\"name\":\"Journal of International Medical Research\",\"volume\":\"53 9\",\"pages\":\"3000605251380424\"},\"PeriodicalIF\":1.5000,\"publicationDate\":\"2025-09-01\",\"publicationTypes\":\"Journal Article\",\"fieldsOfStudy\":null,\"isOpenAccess\":false,\"openAccessPdf\":\"https://www.ncbi.nlm.nih.gov/pmc/articles/PMC12480822/pdf/\",\"citationCount\":\"0\",\"resultStr\":null,\"platform\":\"Semanticscholar\",\"paperid\":null,\"PeriodicalName\":\"Journal of International Medical Research\",\"FirstCategoryId\":\"3\",\"ListUrlMain\":\"https://doi.org/10.1177/03000605251380424\",\"RegionNum\":4,\"RegionCategory\":\"医学\",\"ArticlePicture\":[],\"TitleCN\":null,\"AbstractTextCN\":null,\"PMCID\":null,\"EPubDate\":\"2025/9/29 0:00:00\",\"PubModel\":\"Epub\",\"JCR\":\"Q4\",\"JCRName\":\"MEDICINE, RESEARCH & EXPERIMENTAL\",\"Score\":null,\"Total\":0}","platform":"Semanticscholar","paperid":null,"PeriodicalName":"Journal of International Medical Research","FirstCategoryId":"3","ListUrlMain":"https://doi.org/10.1177/03000605251380424","RegionNum":4,"RegionCategory":"医学","ArticlePicture":[],"TitleCN":null,"AbstractTextCN":null,"PMCID":null,"EPubDate":"2025/9/29 0:00:00","PubModel":"Epub","JCR":"Q4","JCRName":"MEDICINE, RESEARCH & EXPERIMENTAL","Score":null,"Total":0}
引用次数: 0

摘要

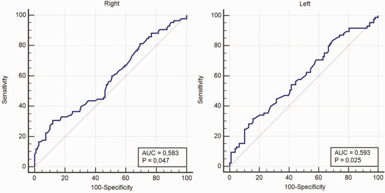
目的自杀的神经学原因仍然知之甚少。这项研究试图确定杏仁核体积和自杀行为之间是否存在关联。方法本研究纳入193例,其中健康对照108例,有自杀企图史者85例。对每个参与者进行矢状面磁共振成像,并使用徒手描摹独立确定左右杏仁核的横截面积。杏仁核的总体积是由切片的厚度乘以区域的总和来确定的。结果与对照组相比,有自杀未遂史的患者右侧和左侧杏仁核体积均显著减小(p = 0.018),左侧杏仁核体积显著减小(p = 0.036)。接收机工作特性分析确定了两个半球的截止值为1825 mm³。右侧杏仁核的灵敏度和特异性分别为30.6%和88%,左侧杏仁核的灵敏度和特异性分别为31.8%和84.3%。这是第一个表明自杀未遂者左右杏仁核体积显著减少的研究,接受者操作特征分析显示了良好的特异性(84.3%-88%)。根据这些发现,减少的杏仁核体积可能是识别那些有自杀倾向的人的一个有用的生物标志物。
本文章由计算机程序翻译,如有差异,请以英文原文为准。

A direct association between suicide and reduced amygdala volume: A retrospective study.

A direct association between suicide and reduced amygdala volume: A retrospective study.

A direct association between suicide and reduced amygdala volume: A retrospective study.

A direct association between suicide and reduced amygdala volume: A retrospective study.

ObjectiveThe neurological causes of suicide remain poorly understood. This study sought to ascertain whether there is a correlation between amygdala volume and suicidal behavior.MethodsThis case-control retrospective study included 193 participants-108 healthy controls and 85 individuals with a history of suicide attempts. Sagittal magnetic resonance imaging was conducted for each participant, and cross-sectional areas of the left and right amygdala were determined independently using freehand tracing. The total volume of the amygdala was determined by multiplying the thickness of the slices by the sum of the regions.ResultsPatients with a history of suicide attempts had significantly decreased amygdala volumes on both the right (p =0.018) and left (p =0.036) sides compared with controls. Receiver operating characteristic analysis determined a cutoff value of 1825 mm³ for both hemispheres. The cutoff sensitivity and specificity for the right amygdala were 30.6% and 88%, whereas the values for the left amygdala were 31.8% and 84.3%, respectively.ConclusionsThis is the first study to show that individuals who had attempted suicide had considerably decreased left and right amygdala volumes, with receiver operating characteristic analysis indicating good specificity (84.3%-88%). According to these findings, a reduced amygdala volume might be a useful biomarker for identifying those who are at risk of attempting suicide.

求助全文
通过发布文献求助,成功后即可免费获取论文全文。 去求助
来源期刊
CiteScore
3.20
自引率
0.00%
发文量
555
审稿时长
1 months
期刊介绍: _Journal of International Medical Research_ is a leading international journal for rapid publication of original medical, pre-clinical and clinical research, reviews, preliminary and pilot studies on a page charge basis. As a service to authors, every article accepted by peer review will be given a full technical edit to make papers as accessible and readable to the international medical community as rapidly as possible. Once the technical edit queries have been answered to the satisfaction of the journal, the paper will be published and made available freely to everyone under a creative commons licence. Symposium proceedings, summaries of presentations or collections of medical, pre-clinical or clinical data on a specific topic are welcome for publication as supplements. Print ISSN: 0300-0605
×
引用
GB/T 7714-2015
复制
MLA
复制
APA
复制
导出至
BibTeX EndNote RefMan NoteFirst NoteExpress
×
提示
您的信息不完整,为了账户安全,请先补充。
现在去补充
×
提示
您因"违规操作"
具体请查看互助需知
我知道了
×
提示
确定
请完成安全验证×
copy
已复制链接
快去分享给好友吧!
我知道了
右上角分享
点击右上角分享
0
联系我们:info@booksci.cn Book学术提供免费学术资源搜索服务,方便国内外学者检索中英文文献。致力于提供最便捷和优质的服务体验。 Copyright © 2023 布克学术 All rights reserved.
京ICP备2023020795号-1
ghs 京公网安备 11010802042870号
Book学术文献互助
Book学术文献互助群
群 号:604180095
Book学术官方微信