NAC转录因子ATAF2促进拟南芥生长早期生物量和叶绿素a积累。

IF 1.7 Q2 MULTIDISCIPLINARY SCIENCES
Hao Peng, Ying Zhai, Michael M Neff
{"title":"NAC转录因子ATAF2促进拟南芥生长早期生物量和叶绿素a积累。","authors":"Hao Peng, Ying Zhai, Michael M Neff","doi":"10.1186/s13104-025-07421-x","DOIUrl":null,"url":null,"abstract":"<p><strong>Objective: </strong>The Arabidopsis thaliana NAC-family transcription factor ATAF2 plays extensive regulatory roles in plant disease resistance, abiotic stress tolerance, leaf senescence, hormone metabolism, and seedling photomorphogenesis. Using Arabidopsis seedlings as the investigation platform, we previously demonstrated that ATAF2 overexpression can increase the endogenous levels of the growth-promoting hormone brassinosteroids (BRs) and suppress the expression of the chlorophyll b (Chl-b) reductase NYC1, which catalyzes the initial step of the degradation of light-harvesting chlorophyll a/b-protein complex of photosystem II (LHCII). ATAF2 also promotes the expression of NIT2, which is involved in the biosynthesis of the auxin indole-3-acetic acid (IAA). Here, we further examined the effects of elevated BR/IAA levels and reduced NYC1 expression on biomass and Chl-a/b accumulations, respectively.</p><p><strong>Results: </strong>Twelve-day-old plants were harvested for biomass and Chl-a/b measurements. While no significant difference of biomass or Chl-a/b accumulations was observed between the wild-type Col-0 and the loss-of-function ataf2-1/2 plants, all three ATAF2 overexpression lines (ATAF2ox-1/2/3) exhibited much higher biomass and Chl-a accumulations as compared to Col-0 and ataf2-1/2, which can at least be partially interpreted as the consequences of higher endogenous BR/IAA levels and reduced NYC1 expression, respectively. The results demonstrate the positive regulatory role of ATAF2 in biomass and Chl-a accumulations. Notably, ATAF2 overexpression does not increase Arabidopsis biomass accumulation at later growth stages, indicating its functional nature of developmental timing acceleration.</p>","PeriodicalId":9234,"journal":{"name":"BMC Research Notes","volume":"18 1","pages":"388"},"PeriodicalIF":1.7000,"publicationDate":"2025-09-29","publicationTypes":"Journal Article","fieldsOfStudy":null,"isOpenAccess":false,"openAccessPdf":"https://www.ncbi.nlm.nih.gov/pmc/articles/PMC12482471/pdf/","citationCount":"0","resultStr":"{\"title\":\"The NAC transcription factor ATAF2 enhances Arabidopsis biomass and chlorophyll a accumulations at the early growth stage.\",\"authors\":\"Hao Peng, Ying Zhai, Michael M Neff\",\"doi\":\"10.1186/s13104-025-07421-x\",\"DOIUrl\":null,\"url\":null,\"abstract\":\"<p><strong>Objective: </strong>The Arabidopsis thaliana NAC-family transcription factor ATAF2 plays extensive regulatory roles in plant disease resistance, abiotic stress tolerance, leaf senescence, hormone metabolism, and seedling photomorphogenesis. Using Arabidopsis seedlings as the investigation platform, we previously demonstrated that ATAF2 overexpression can increase the endogenous levels of the growth-promoting hormone brassinosteroids (BRs) and suppress the expression of the chlorophyll b (Chl-b) reductase NYC1, which catalyzes the initial step of the degradation of light-harvesting chlorophyll a/b-protein complex of photosystem II (LHCII). ATAF2 also promotes the expression of NIT2, which is involved in the biosynthesis of the auxin indole-3-acetic acid (IAA). Here, we further examined the effects of elevated BR/IAA levels and reduced NYC1 expression on biomass and Chl-a/b accumulations, respectively.</p><p><strong>Results: </strong>Twelve-day-old plants were harvested for biomass and Chl-a/b measurements. While no significant difference of biomass or Chl-a/b accumulations was observed between the wild-type Col-0 and the loss-of-function ataf2-1/2 plants, all three ATAF2 overexpression lines (ATAF2ox-1/2/3) exhibited much higher biomass and Chl-a accumulations as compared to Col-0 and ataf2-1/2, which can at least be partially interpreted as the consequences of higher endogenous BR/IAA levels and reduced NYC1 expression, respectively. The results demonstrate the positive regulatory role of ATAF2 in biomass and Chl-a accumulations. Notably, ATAF2 overexpression does not increase Arabidopsis biomass accumulation at later growth stages, indicating its functional nature of developmental timing acceleration.</p>\",\"PeriodicalId\":9234,\"journal\":{\"name\":\"BMC Research Notes\",\"volume\":\"18 1\",\"pages\":\"388\"},\"PeriodicalIF\":1.7000,\"publicationDate\":\"2025-09-29\",\"publicationTypes\":\"Journal Article\",\"fieldsOfStudy\":null,\"isOpenAccess\":false,\"openAccessPdf\":\"https://www.ncbi.nlm.nih.gov/pmc/articles/PMC12482471/pdf/\",\"citationCount\":\"0\",\"resultStr\":null,\"platform\":\"Semanticscholar\",\"paperid\":null,\"PeriodicalName\":\"BMC Research Notes\",\"FirstCategoryId\":\"1085\",\"ListUrlMain\":\"https://doi.org/10.1186/s13104-025-07421-x\",\"RegionNum\":0,\"RegionCategory\":null,\"ArticlePicture\":[],\"TitleCN\":null,\"AbstractTextCN\":null,\"PMCID\":null,\"EPubDate\":\"\",\"PubModel\":\"\",\"JCR\":\"Q2\",\"JCRName\":\"MULTIDISCIPLINARY SCIENCES\",\"Score\":null,\"Total\":0}","platform":"Semanticscholar","paperid":null,"PeriodicalName":"BMC Research Notes","FirstCategoryId":"1085","ListUrlMain":"https://doi.org/10.1186/s13104-025-07421-x","RegionNum":0,"RegionCategory":null,"ArticlePicture":[],"TitleCN":null,"AbstractTextCN":null,"PMCID":null,"EPubDate":"","PubModel":"","JCR":"Q2","JCRName":"MULTIDISCIPLINARY SCIENCES","Score":null,"Total":0}
引用次数: 0

摘要

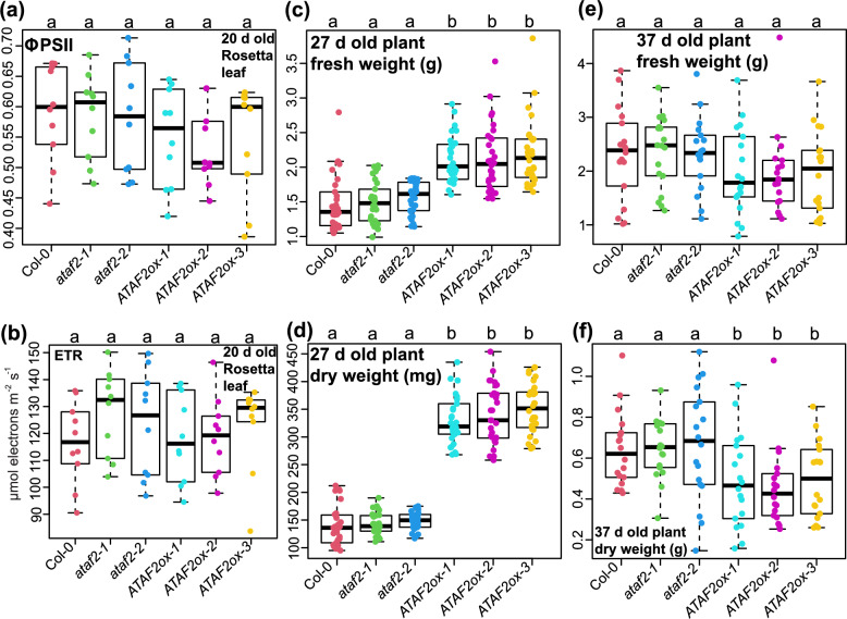
目的:拟南芥nac家族转录因子ATAF2在植物抗病、抗非生物胁迫、叶片衰老、激素代谢和幼苗光形态发生等方面发挥着广泛的调控作用。我们之前以拟南芥幼苗为研究平台,证明了ATAF2过表达可以增加内源性促生长激素油菜素内酯(BRs)的水平,抑制叶绿素b (Chl-b)还原酶NYC1的表达,该酶催化光系统II (LHCII)的光收集叶绿素a/b蛋白复合物降解的第一步。ATAF2还促进NIT2的表达,而NIT2参与生长素吲哚-3-乙酸(IAA)的生物合成。在这里,我们进一步研究了BR/IAA水平升高和NYC1表达降低对生物量和Chl-a/b积累的影响。结果:收集12 d龄植株进行生物量和Chl-a/b测量。虽然野生型Col-0和丧失功能的ATAF2 -1/2植株之间的生物量和Chl-a/b积累没有显著差异,但与Col-0和ATAF2 -1/2相比,所有3个ATAF2过表达系(atafox -1/2/3)的生物量和Chl-a积累都要高得多,这至少可以部分解释为内源BR/IAA水平升高和NYC1表达降低的结果。结果表明,ATAF2对生物量和Chl-a积累具有正向调节作用。值得注意的是,ATAF2过表达并未增加拟南芥生长后期的生物量积累,表明其发育时序加速的功能本质。
本文章由计算机程序翻译,如有差异,请以英文原文为准。

The NAC transcription factor ATAF2 enhances Arabidopsis biomass and chlorophyll a accumulations at the early growth stage.

The NAC transcription factor ATAF2 enhances Arabidopsis biomass and chlorophyll a accumulations at the early growth stage.

The NAC transcription factor ATAF2 enhances Arabidopsis biomass and chlorophyll a accumulations at the early growth stage.

The NAC transcription factor ATAF2 enhances Arabidopsis biomass and chlorophyll a accumulations at the early growth stage.

Objective: The Arabidopsis thaliana NAC-family transcription factor ATAF2 plays extensive regulatory roles in plant disease resistance, abiotic stress tolerance, leaf senescence, hormone metabolism, and seedling photomorphogenesis. Using Arabidopsis seedlings as the investigation platform, we previously demonstrated that ATAF2 overexpression can increase the endogenous levels of the growth-promoting hormone brassinosteroids (BRs) and suppress the expression of the chlorophyll b (Chl-b) reductase NYC1, which catalyzes the initial step of the degradation of light-harvesting chlorophyll a/b-protein complex of photosystem II (LHCII). ATAF2 also promotes the expression of NIT2, which is involved in the biosynthesis of the auxin indole-3-acetic acid (IAA). Here, we further examined the effects of elevated BR/IAA levels and reduced NYC1 expression on biomass and Chl-a/b accumulations, respectively.

Results: Twelve-day-old plants were harvested for biomass and Chl-a/b measurements. While no significant difference of biomass or Chl-a/b accumulations was observed between the wild-type Col-0 and the loss-of-function ataf2-1/2 plants, all three ATAF2 overexpression lines (ATAF2ox-1/2/3) exhibited much higher biomass and Chl-a accumulations as compared to Col-0 and ataf2-1/2, which can at least be partially interpreted as the consequences of higher endogenous BR/IAA levels and reduced NYC1 expression, respectively. The results demonstrate the positive regulatory role of ATAF2 in biomass and Chl-a accumulations. Notably, ATAF2 overexpression does not increase Arabidopsis biomass accumulation at later growth stages, indicating its functional nature of developmental timing acceleration.

求助全文
通过发布文献求助,成功后即可免费获取论文全文。 去求助
来源期刊
BMC Research Notes
BMC Research Notes Biochemistry, Genetics and Molecular Biology-Biochemistry, Genetics and Molecular Biology (all)
CiteScore
3.60
自引率
0.00%
发文量
363
审稿时长
15 weeks
期刊介绍: BMC Research Notes publishes scientifically valid research outputs that cannot be considered as full research or methodology articles. We support the research community across all scientific and clinical disciplines by providing an open access forum for sharing data and useful information; this includes, but is not limited to, updates to previous work, additions to established methods, short publications, null results, research proposals and data management plans.
×
引用
GB/T 7714-2015
复制
MLA
复制
APA
复制
导出至
BibTeX EndNote RefMan NoteFirst NoteExpress
×
提示
您的信息不完整,为了账户安全,请先补充。
现在去补充
×
提示
您因"违规操作"
具体请查看互助需知
我知道了
×
提示
确定
请完成安全验证×
copy
已复制链接
快去分享给好友吧!
我知道了
右上角分享
点击右上角分享
0
联系我们:info@booksci.cn Book学术提供免费学术资源搜索服务,方便国内外学者检索中英文文献。致力于提供最便捷和优质的服务体验。 Copyright © 2023 布克学术 All rights reserved.
京ICP备2023020795号-1
ghs 京公网安备 11010802042870号
Book学术文献互助
Book学术文献互助群
群 号:604180095
Book学术官方微信