鉴别胰腺与壶腹周围非胰腺癌:利用CT成像的一种基于图的预测模型。

IF 3.5 2区 医学 Q2 ONCOLOGY
Xiaohuan Zhang, Junqing Wang, Wenjuan Wu, Zhuiyang Zhang, Fangming Chen, Lei Zhang
{"title":"鉴别胰腺与壶腹周围非胰腺癌:利用CT成像的一种基于图的预测模型。","authors":"Xiaohuan Zhang, Junqing Wang, Wenjuan Wu, Zhuiyang Zhang, Fangming Chen, Lei Zhang","doi":"10.1186/s40644-025-00917-6","DOIUrl":null,"url":null,"abstract":"<p><strong>Background: </strong>To develop a predictive nomogram for differentiating pancreatic cancer from periampullary non-pancreatic cancers based on computed tomography (CT) imaging features.</p><p><strong>Methods: </strong>This retrospective study included 171 patients diagnosed with periampullary carcinoma (90 pancreatic cancer and 81 non-pancreatic cancer). Variables assessed included CT imaging features along with relevant clinical data. Statistically significant variables were identified through multivariable logistic regression analysis, and a predictive nomogram was developed and internally validated based on these factors.</p><p><strong>Results: </strong>Multivariable analysis identified the following independent risk factors: the distance from the distal end of the dilated pancreatic duct to the medial wall of the papilla (DPDP) (odds ratio [OR] 8.76, P < 0.05), the distance from the distal end of the dilated bile duct to the medial wall of the papilla (DBDP) (OR 31.83, P < 0.05), papillary enlargement (OR 0.03, P < 0.05), and visibility of pancreatic and/or bile ducts between the tumor and the papilla (VPBD) (OR 3.97, P < 0.05). A nomogram was constructed based on these four significant features. In both the development and validation cohorts, the nomogram demonstrated robust predictive performance, with areas under the receiver operating characteristic curve (AUCs) of 0.84 (95% CI, 0.77-0.91) and 0.81 (95% CI, 0.67-0.96), respectively.</p><p><strong>Conclusions: </strong>This study underscores the value of CT imaging features in distinguishing pancreatic cancer from periampullary non-pancreatic cancers. The identification of key imaging markers with significant diagnostic value facilitated the development and validation of a nomogram that integrates these features, providing a more reliable tool for clinical decision-making.</p>","PeriodicalId":9548,"journal":{"name":"Cancer Imaging","volume":"25 1","pages":"114"},"PeriodicalIF":3.5000,"publicationDate":"2025-09-29","publicationTypes":"Journal Article","fieldsOfStudy":null,"isOpenAccess":false,"openAccessPdf":"https://www.ncbi.nlm.nih.gov/pmc/articles/PMC12482259/pdf/","citationCount":"0","resultStr":"{\"title\":\"Differentiating pancreatic from periampullary non-pancreatic cancer: a nomogram-based prediction model utilizing CT imaging.\",\"authors\":\"Xiaohuan Zhang, Junqing Wang, Wenjuan Wu, Zhuiyang Zhang, Fangming Chen, Lei Zhang\",\"doi\":\"10.1186/s40644-025-00917-6\",\"DOIUrl\":null,\"url\":null,\"abstract\":\"<p><strong>Background: </strong>To develop a predictive nomogram for differentiating pancreatic cancer from periampullary non-pancreatic cancers based on computed tomography (CT) imaging features.</p><p><strong>Methods: </strong>This retrospective study included 171 patients diagnosed with periampullary carcinoma (90 pancreatic cancer and 81 non-pancreatic cancer). Variables assessed included CT imaging features along with relevant clinical data. Statistically significant variables were identified through multivariable logistic regression analysis, and a predictive nomogram was developed and internally validated based on these factors.</p><p><strong>Results: </strong>Multivariable analysis identified the following independent risk factors: the distance from the distal end of the dilated pancreatic duct to the medial wall of the papilla (DPDP) (odds ratio [OR] 8.76, P < 0.05), the distance from the distal end of the dilated bile duct to the medial wall of the papilla (DBDP) (OR 31.83, P < 0.05), papillary enlargement (OR 0.03, P < 0.05), and visibility of pancreatic and/or bile ducts between the tumor and the papilla (VPBD) (OR 3.97, P < 0.05). A nomogram was constructed based on these four significant features. In both the development and validation cohorts, the nomogram demonstrated robust predictive performance, with areas under the receiver operating characteristic curve (AUCs) of 0.84 (95% CI, 0.77-0.91) and 0.81 (95% CI, 0.67-0.96), respectively.</p><p><strong>Conclusions: </strong>This study underscores the value of CT imaging features in distinguishing pancreatic cancer from periampullary non-pancreatic cancers. The identification of key imaging markers with significant diagnostic value facilitated the development and validation of a nomogram that integrates these features, providing a more reliable tool for clinical decision-making.</p>\",\"PeriodicalId\":9548,\"journal\":{\"name\":\"Cancer Imaging\",\"volume\":\"25 1\",\"pages\":\"114\"},\"PeriodicalIF\":3.5000,\"publicationDate\":\"2025-09-29\",\"publicationTypes\":\"Journal Article\",\"fieldsOfStudy\":null,\"isOpenAccess\":false,\"openAccessPdf\":\"https://www.ncbi.nlm.nih.gov/pmc/articles/PMC12482259/pdf/\",\"citationCount\":\"0\",\"resultStr\":null,\"platform\":\"Semanticscholar\",\"paperid\":null,\"PeriodicalName\":\"Cancer Imaging\",\"FirstCategoryId\":\"3\",\"ListUrlMain\":\"https://doi.org/10.1186/s40644-025-00917-6\",\"RegionNum\":2,\"RegionCategory\":\"医学\",\"ArticlePicture\":[],\"TitleCN\":null,\"AbstractTextCN\":null,\"PMCID\":null,\"EPubDate\":\"\",\"PubModel\":\"\",\"JCR\":\"Q2\",\"JCRName\":\"ONCOLOGY\",\"Score\":null,\"Total\":0}","platform":"Semanticscholar","paperid":null,"PeriodicalName":"Cancer Imaging","FirstCategoryId":"3","ListUrlMain":"https://doi.org/10.1186/s40644-025-00917-6","RegionNum":2,"RegionCategory":"医学","ArticlePicture":[],"TitleCN":null,"AbstractTextCN":null,"PMCID":null,"EPubDate":"","PubModel":"","JCR":"Q2","JCRName":"ONCOLOGY","Score":null,"Total":0}
引用次数: 0

摘要

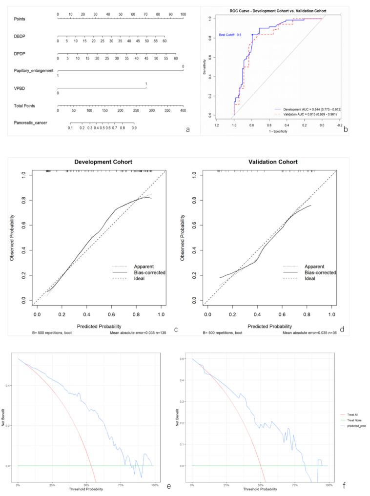
背景:建立基于计算机断层扫描(CT)成像特征的胰腺癌与壶腹周围非胰腺癌的预测图。方法:本回顾性研究纳入171例壶腹周围癌患者(90例胰腺癌,81例非胰腺癌)。评估的变量包括CT影像特征和相关临床数据。通过多变量逻辑回归分析确定具有统计学意义的变量,并根据这些因素建立预测模态图并进行内部验证。结果:多变量分析确定了以下独立危险因素:胰管扩张远端到乳头内侧壁的距离(DPDP)(优势比[OR] 8.76, P)。结论:本研究强调了CT影像学特征在鉴别胰腺癌与壶腹周围非胰腺癌中的价值。具有重要诊断价值的关键影像标记的识别促进了整合这些特征的nomogram的开发和验证,为临床决策提供了更可靠的工具。
本文章由计算机程序翻译,如有差异,请以英文原文为准。

Differentiating pancreatic from periampullary non-pancreatic cancer: a nomogram-based prediction model utilizing CT imaging.

Differentiating pancreatic from periampullary non-pancreatic cancer: a nomogram-based prediction model utilizing CT imaging.

Differentiating pancreatic from periampullary non-pancreatic cancer: a nomogram-based prediction model utilizing CT imaging.

Differentiating pancreatic from periampullary non-pancreatic cancer: a nomogram-based prediction model utilizing CT imaging.

Background: To develop a predictive nomogram for differentiating pancreatic cancer from periampullary non-pancreatic cancers based on computed tomography (CT) imaging features.

Methods: This retrospective study included 171 patients diagnosed with periampullary carcinoma (90 pancreatic cancer and 81 non-pancreatic cancer). Variables assessed included CT imaging features along with relevant clinical data. Statistically significant variables were identified through multivariable logistic regression analysis, and a predictive nomogram was developed and internally validated based on these factors.

Results: Multivariable analysis identified the following independent risk factors: the distance from the distal end of the dilated pancreatic duct to the medial wall of the papilla (DPDP) (odds ratio [OR] 8.76, P < 0.05), the distance from the distal end of the dilated bile duct to the medial wall of the papilla (DBDP) (OR 31.83, P < 0.05), papillary enlargement (OR 0.03, P < 0.05), and visibility of pancreatic and/or bile ducts between the tumor and the papilla (VPBD) (OR 3.97, P < 0.05). A nomogram was constructed based on these four significant features. In both the development and validation cohorts, the nomogram demonstrated robust predictive performance, with areas under the receiver operating characteristic curve (AUCs) of 0.84 (95% CI, 0.77-0.91) and 0.81 (95% CI, 0.67-0.96), respectively.

Conclusions: This study underscores the value of CT imaging features in distinguishing pancreatic cancer from periampullary non-pancreatic cancers. The identification of key imaging markers with significant diagnostic value facilitated the development and validation of a nomogram that integrates these features, providing a more reliable tool for clinical decision-making.

求助全文
通过发布文献求助,成功后即可免费获取论文全文。 去求助
来源期刊
Cancer Imaging
Cancer Imaging ONCOLOGY-RADIOLOGY, NUCLEAR MEDICINE & MEDICAL IMAGING
CiteScore
7.00
自引率
0.00%
发文量
66
审稿时长
>12 weeks
期刊介绍: Cancer Imaging is an open access, peer-reviewed journal publishing original articles, reviews and editorials written by expert international radiologists working in oncology. The journal encompasses CT, MR, PET, ultrasound, radionuclide and multimodal imaging in all kinds of malignant tumours, plus new developments, techniques and innovations. Topics of interest include: Breast Imaging Chest Complications of treatment Ear, Nose & Throat Gastrointestinal Hepatobiliary & Pancreatic Imaging biomarkers Interventional Lymphoma Measurement of tumour response Molecular functional imaging Musculoskeletal Neuro oncology Nuclear Medicine Paediatric.
×
引用
GB/T 7714-2015
复制
MLA
复制
APA
复制
导出至
BibTeX EndNote RefMan NoteFirst NoteExpress
×
提示
您的信息不完整,为了账户安全,请先补充。
现在去补充
×
提示
您因"违规操作"
具体请查看互助需知
我知道了
×
提示
确定
请完成安全验证×
copy
已复制链接
快去分享给好友吧!
我知道了
右上角分享
点击右上角分享
0
联系我们:info@booksci.cn Book学术提供免费学术资源搜索服务,方便国内外学者检索中英文文献。致力于提供最便捷和优质的服务体验。 Copyright © 2023 布克学术 All rights reserved.
京ICP备2023020795号-1
ghs 京公网安备 11010802042870号
Book学术文献互助
Book学术文献互助群
群 号:604180095
Book学术官方微信