磺胺二甲氧嘧啶、磺胺嘧啶和磺胺甲恶唑与甲氧苄啶联用在猪体内的药代动力学模型。

IF 5.2 2区 农林科学 Q1 VETERINARY SCIENCES
Veterinary Quarterly Pub Date : 2025-12-01 Epub Date: 2025-09-29 DOI:10.1080/01652176.2025.2565351
Marine Boulanger, Jean-François Taillandier, Jérôme Henri, Mathias Devreese, Siegrid De Baere, Marlène Lacroix, Aude A Ferran, Alexis Viel
{"title":"磺胺二甲氧嘧啶、磺胺嘧啶和磺胺甲恶唑与甲氧苄啶联用在猪体内的药代动力学模型。","authors":"Marine Boulanger, Jean-François Taillandier, Jérôme Henri, Mathias Devreese, Siegrid De Baere, Marlène Lacroix, Aude A Ferran, Alexis Viel","doi":"10.1080/01652176.2025.2565351","DOIUrl":null,"url":null,"abstract":"<p><p>Sulfonamides (S) are old antibiotics combined with trimethoprim (TMP) for synergistic effects against pathogens responsible for a variety of infections in food-producing animals. In growing pigs, the TMP:S ratio is 1:5 based on human TMP/sulfamethoxazole (SMX) dosing which aims to obtain an <i>in vivo</i> ratio concentration of 1:19 considered as optimal against human pathogens. However, different sulfonamides with different pharmacokinetic profiles are used in pigs limiting this direct extrapolation from human. The aim was to conduct a PK study in pigs for three commonly used TMP/S combinations and to analyze data using population pharmacokinetic modeling. We found that a 2-compartment structural model fitted best the four drug PK data. TMP has the highest clearance values (0.48 L/h/kg) compared to SMX (0.21 L/h/kg), SDZ (0.12 L/h/kg) and SDMX (0.015 L/h/kg). SDMX has the longest plasma elimination half-life (14.8 h), followed by SDZ (3.7 h), TMP (2.9 h) and SMX (2.2 h). Monte Carlo simulations (<i>n</i> = 50,000 pigs) showed that only for 8.8%, 46.8%, and 76.5% of pigs for TMP/SMX, TMP/SDZ and TMP/SDMX, respectively, the free plasma concentration ratio fell within the range of 1:10-1:50 at the marketed doses administered. These results should be further linked to pharmacodynamics to optimize the use of these important antimicrobials drugs in veterinary medicine.</p>","PeriodicalId":51207,"journal":{"name":"Veterinary Quarterly","volume":"45 1","pages":"2565351"},"PeriodicalIF":5.2000,"publicationDate":"2025-12-01","publicationTypes":"Journal Article","fieldsOfStudy":null,"isOpenAccess":false,"openAccessPdf":"https://www.ncbi.nlm.nih.gov/pmc/articles/PMC12481524/pdf/","citationCount":"0","resultStr":"{\"title\":\"Population pharmacokinetic modeling of sulfadimethoxine, sulfadiazine and sulfamethoxazole combined to trimethoprim in pigs.\",\"authors\":\"Marine Boulanger, Jean-François Taillandier, Jérôme Henri, Mathias Devreese, Siegrid De Baere, Marlène Lacroix, Aude A Ferran, Alexis Viel\",\"doi\":\"10.1080/01652176.2025.2565351\",\"DOIUrl\":null,\"url\":null,\"abstract\":\"<p><p>Sulfonamides (S) are old antibiotics combined with trimethoprim (TMP) for synergistic effects against pathogens responsible for a variety of infections in food-producing animals. In growing pigs, the TMP:S ratio is 1:5 based on human TMP/sulfamethoxazole (SMX) dosing which aims to obtain an <i>in vivo</i> ratio concentration of 1:19 considered as optimal against human pathogens. However, different sulfonamides with different pharmacokinetic profiles are used in pigs limiting this direct extrapolation from human. The aim was to conduct a PK study in pigs for three commonly used TMP/S combinations and to analyze data using population pharmacokinetic modeling. We found that a 2-compartment structural model fitted best the four drug PK data. TMP has the highest clearance values (0.48 L/h/kg) compared to SMX (0.21 L/h/kg), SDZ (0.12 L/h/kg) and SDMX (0.015 L/h/kg). SDMX has the longest plasma elimination half-life (14.8 h), followed by SDZ (3.7 h), TMP (2.9 h) and SMX (2.2 h). Monte Carlo simulations (<i>n</i> = 50,000 pigs) showed that only for 8.8%, 46.8%, and 76.5% of pigs for TMP/SMX, TMP/SDZ and TMP/SDMX, respectively, the free plasma concentration ratio fell within the range of 1:10-1:50 at the marketed doses administered. These results should be further linked to pharmacodynamics to optimize the use of these important antimicrobials drugs in veterinary medicine.</p>\",\"PeriodicalId\":51207,\"journal\":{\"name\":\"Veterinary Quarterly\",\"volume\":\"45 1\",\"pages\":\"2565351\"},\"PeriodicalIF\":5.2000,\"publicationDate\":\"2025-12-01\",\"publicationTypes\":\"Journal Article\",\"fieldsOfStudy\":null,\"isOpenAccess\":false,\"openAccessPdf\":\"https://www.ncbi.nlm.nih.gov/pmc/articles/PMC12481524/pdf/\",\"citationCount\":\"0\",\"resultStr\":null,\"platform\":\"Semanticscholar\",\"paperid\":null,\"PeriodicalName\":\"Veterinary Quarterly\",\"FirstCategoryId\":\"97\",\"ListUrlMain\":\"https://doi.org/10.1080/01652176.2025.2565351\",\"RegionNum\":2,\"RegionCategory\":\"农林科学\",\"ArticlePicture\":[],\"TitleCN\":null,\"AbstractTextCN\":null,\"PMCID\":null,\"EPubDate\":\"2025/9/29 0:00:00\",\"PubModel\":\"Epub\",\"JCR\":\"Q1\",\"JCRName\":\"VETERINARY SCIENCES\",\"Score\":null,\"Total\":0}","platform":"Semanticscholar","paperid":null,"PeriodicalName":"Veterinary Quarterly","FirstCategoryId":"97","ListUrlMain":"https://doi.org/10.1080/01652176.2025.2565351","RegionNum":2,"RegionCategory":"农林科学","ArticlePicture":[],"TitleCN":null,"AbstractTextCN":null,"PMCID":null,"EPubDate":"2025/9/29 0:00:00","PubModel":"Epub","JCR":"Q1","JCRName":"VETERINARY SCIENCES","Score":null,"Total":0}
引用次数: 0

摘要

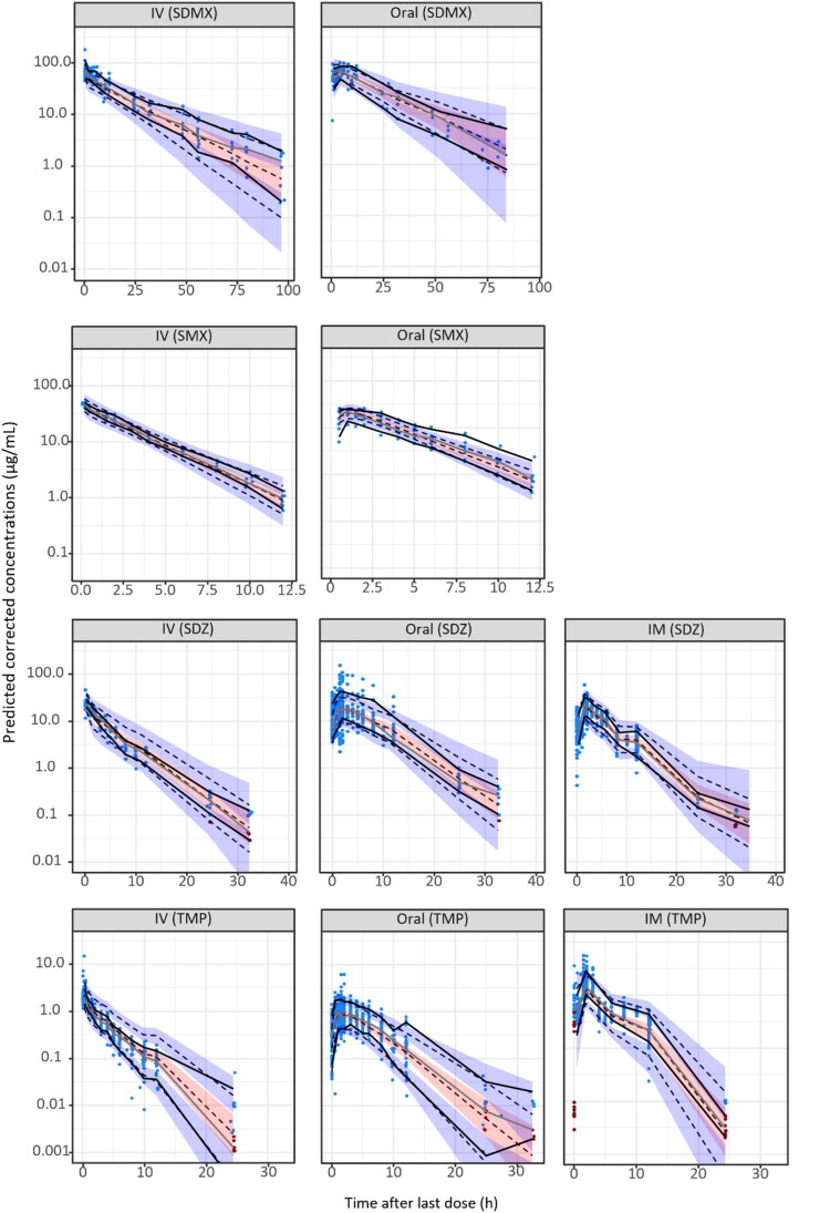
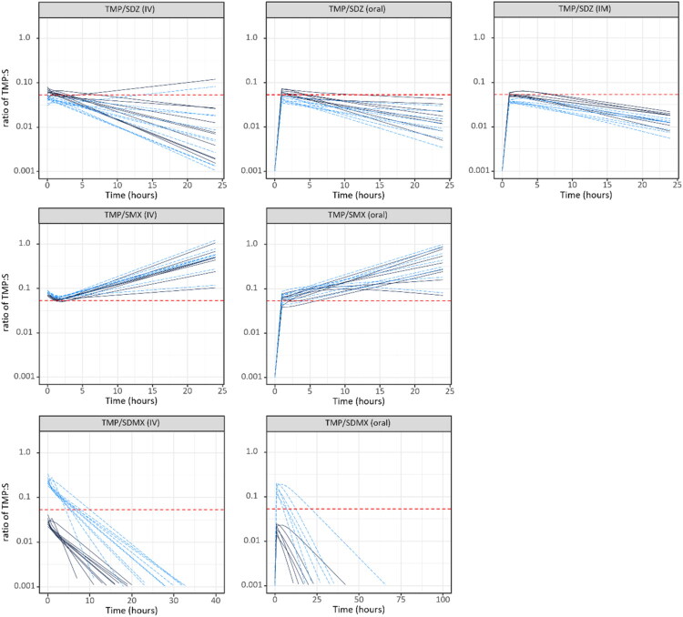
磺胺类抗生素(S)是一种古老的抗生素,与甲氧苄啶(TMP)联合使用,具有协同作用,可对抗导致食源性动物多种感染的病原体。在生长猪中,根据人TMP/磺胺甲恶唑(SMX)的剂量,TMP:S比为1:5,目的是获得1:19的体内比例浓度,这被认为是对抗人类病原体的最佳浓度。然而,在猪身上使用的具有不同药代动力学特征的不同磺胺类药物限制了这种从人身上直接推断出来的结果。目的是对三种常用的TMP/S组合进行猪的PK研究,并使用群体药代动力学建模分析数据。我们发现2室结构模型最适合四种药物的PK数据。与SMX (0.21 L/h/kg)、SDZ (0.12 L/h/kg)和SDMX (0.015 L/h/kg)相比,TMP的清除率最高(0.48 L/h/kg)。SDMX的血浆消除半衰期最长(14.8 h),其次是SDZ (3.7 h)、TMP (2.9 h)和SMX (2.2 h)。蒙特卡罗模拟(n = 5万头猪)显示,在市售剂量下,分别只有8.8%、46.8%和76.5%的TMP/SMX、TMP/SDZ和TMP/SDMX的游离血浆浓度比落在1:10-1:50的范围内。这些结果应进一步与药效学联系起来,以优化这些重要的抗微生物药物在兽药中的使用。
本文章由计算机程序翻译,如有差异,请以英文原文为准。

Population pharmacokinetic modeling of sulfadimethoxine, sulfadiazine and sulfamethoxazole combined to trimethoprim in pigs.

Population pharmacokinetic modeling of sulfadimethoxine, sulfadiazine and sulfamethoxazole combined to trimethoprim in pigs.

Population pharmacokinetic modeling of sulfadimethoxine, sulfadiazine and sulfamethoxazole combined to trimethoprim in pigs.

Population pharmacokinetic modeling of sulfadimethoxine, sulfadiazine and sulfamethoxazole combined to trimethoprim in pigs.

Sulfonamides (S) are old antibiotics combined with trimethoprim (TMP) for synergistic effects against pathogens responsible for a variety of infections in food-producing animals. In growing pigs, the TMP:S ratio is 1:5 based on human TMP/sulfamethoxazole (SMX) dosing which aims to obtain an in vivo ratio concentration of 1:19 considered as optimal against human pathogens. However, different sulfonamides with different pharmacokinetic profiles are used in pigs limiting this direct extrapolation from human. The aim was to conduct a PK study in pigs for three commonly used TMP/S combinations and to analyze data using population pharmacokinetic modeling. We found that a 2-compartment structural model fitted best the four drug PK data. TMP has the highest clearance values (0.48 L/h/kg) compared to SMX (0.21 L/h/kg), SDZ (0.12 L/h/kg) and SDMX (0.015 L/h/kg). SDMX has the longest plasma elimination half-life (14.8 h), followed by SDZ (3.7 h), TMP (2.9 h) and SMX (2.2 h). Monte Carlo simulations (n = 50,000 pigs) showed that only for 8.8%, 46.8%, and 76.5% of pigs for TMP/SMX, TMP/SDZ and TMP/SDMX, respectively, the free plasma concentration ratio fell within the range of 1:10-1:50 at the marketed doses administered. These results should be further linked to pharmacodynamics to optimize the use of these important antimicrobials drugs in veterinary medicine.

求助全文
通过发布文献求助,成功后即可免费获取论文全文。 去求助
来源期刊
Veterinary Quarterly
Veterinary Quarterly VETERINARY SCIENCES-
CiteScore
13.10
自引率
1.60%
发文量
18
审稿时长
>24 weeks
期刊介绍: Veterinary Quarterly is an international open access journal which publishes high quality review articles and original research in the field of veterinary science and animal diseases. The journal publishes research on a range of different animal species and topics including: - Economically important species such as domesticated and non-domesticated farm animals, including avian and poultry diseases; - Companion animals (dogs, cats, horses, pocket pets and exotics); - Wildlife species; - Infectious diseases; - Diagnosis; - Treatment including pharmacology and vaccination
×
引用
GB/T 7714-2015
复制
MLA
复制
APA
复制
导出至
BibTeX EndNote RefMan NoteFirst NoteExpress
×
提示
您的信息不完整,为了账户安全,请先补充。
现在去补充
×
提示
您因"违规操作"
具体请查看互助需知
我知道了
×
提示
确定
请完成安全验证×
copy
已复制链接
快去分享给好友吧!
我知道了
右上角分享
点击右上角分享
0
联系我们:info@booksci.cn Book学术提供免费学术资源搜索服务,方便国内外学者检索中英文文献。致力于提供最便捷和优质的服务体验。 Copyright © 2023 布克学术 All rights reserved.
京ICP备2023020795号-1
ghs 京公网安备 11010802042870号
Book学术文献互助
Book学术文献互助群
群 号:604180095
Book学术官方微信