心力衰竭伴射血分数降低合并贫血和高尿酸血症患者的性别差异:回顾性病例研究。

IF 2 4区 医学 Q2 MEDICINE, GENERAL & INTERNAL
International Journal of General Medicine Pub Date : 2025-09-22 eCollection Date: 2025-01-01 DOI:10.2147/IJGM.S536026
Zhengjiang Liu, Bixia Yan, Ronghua Huang, Yi Zhou, Xingshou Pan
{"title":"心力衰竭伴射血分数降低合并贫血和高尿酸血症患者的性别差异:回顾性病例研究。","authors":"Zhengjiang Liu, Bixia Yan, Ronghua Huang, Yi Zhou, Xingshou Pan","doi":"10.2147/IJGM.S536026","DOIUrl":null,"url":null,"abstract":"<p><strong>Objective: </strong>Heart failure with reduced ejection fraction (HFrEF) is associated with high mortality and morbidity. This study aimed to investigate sex differences in clinical characteristics, ventricular remodeling, cardiovascular risk factors, and prognosis among patients with HFrEF complicated by anemia and hyperuricemia.</p><p><strong>Subjects and methods: </strong>We analyzed data from patients with HFrEF admitted to the Affiliated Hospital of Youjiang Medical University for Nationalities between January 1, 2018, and September 1, 2022. A total of 185 patients with HFrEF, anemia, and hyperuricemia (HU) were included. Laboratory and echocardiographic parameters were examined, and Cox regression analysis was used to identify prognostic risk factors. Clinical characteristics and prognostic factors were compared between sexes.</p><p><strong>Results: </strong>Female patients had lower body weight, smaller body size, more severe anemia, and fewer ischemic causes of ventricular remodeling compared with male patients. Male patients had a higher prevalence of smoking and renal insufficiency. Serum uric acid predicted lower extremity venous thrombosis (area under the curve = 0.736). During a median follow-up of 21.78 months, no significant sex difference in cardiovascular events was observed. However, multivariate Cox proportional hazards analysis demonstrated sex-specific prognostic factors. The independent risk factors in males were body weight (HR = 1.035, 95% CI: 1.016-1.054, <i>P</i> = 0.001), total protein (HR = 0.965, 95% CI: 0.934-0.997, <i>P</i> = 0.031), albumin/globulin ratio (HR = 2.024, 95% CI: 1.093-3.749, <i>P</i> = 0.025), and atrial fibrillation (HR = 0.399, 95% CI: 0.254-0.627, <i>P</i> = 0.001). Independent risk factor in females was MCHC (HR = 1.037, 95% CI: 1.011-1.064, <i>P</i> = 0.005).</p><p><strong>Conclusion: </strong>In patients with HFrEF, anemia, and HU, males and females exhibited distinct clinical characteristics and cardiovascular risk factors, despite having similar survival outcomes. These findings underscore the importance of addressing sex-specific risk profiles in the clinical management of HFrEF.</p>","PeriodicalId":14131,"journal":{"name":"International Journal of General Medicine","volume":"18 ","pages":"5755-5763"},"PeriodicalIF":2.0000,"publicationDate":"2025-09-22","publicationTypes":"Journal Article","fieldsOfStudy":null,"isOpenAccess":false,"openAccessPdf":"https://www.ncbi.nlm.nih.gov/pmc/articles/PMC12466588/pdf/","citationCount":"0","resultStr":"{\"title\":\"Sex Differences in Patients with Heart Failure with Reduced Ejection Fraction Combined with Anemia and Hyperuricemia: A Retrospective Case Study.\",\"authors\":\"Zhengjiang Liu, Bixia Yan, Ronghua Huang, Yi Zhou, Xingshou Pan\",\"doi\":\"10.2147/IJGM.S536026\",\"DOIUrl\":null,\"url\":null,\"abstract\":\"<p><strong>Objective: </strong>Heart failure with reduced ejection fraction (HFrEF) is associated with high mortality and morbidity. This study aimed to investigate sex differences in clinical characteristics, ventricular remodeling, cardiovascular risk factors, and prognosis among patients with HFrEF complicated by anemia and hyperuricemia.</p><p><strong>Subjects and methods: </strong>We analyzed data from patients with HFrEF admitted to the Affiliated Hospital of Youjiang Medical University for Nationalities between January 1, 2018, and September 1, 2022. A total of 185 patients with HFrEF, anemia, and hyperuricemia (HU) were included. Laboratory and echocardiographic parameters were examined, and Cox regression analysis was used to identify prognostic risk factors. Clinical characteristics and prognostic factors were compared between sexes.</p><p><strong>Results: </strong>Female patients had lower body weight, smaller body size, more severe anemia, and fewer ischemic causes of ventricular remodeling compared with male patients. Male patients had a higher prevalence of smoking and renal insufficiency. Serum uric acid predicted lower extremity venous thrombosis (area under the curve = 0.736). During a median follow-up of 21.78 months, no significant sex difference in cardiovascular events was observed. However, multivariate Cox proportional hazards analysis demonstrated sex-specific prognostic factors. The independent risk factors in males were body weight (HR = 1.035, 95% CI: 1.016-1.054, <i>P</i> = 0.001), total protein (HR = 0.965, 95% CI: 0.934-0.997, <i>P</i> = 0.031), albumin/globulin ratio (HR = 2.024, 95% CI: 1.093-3.749, <i>P</i> = 0.025), and atrial fibrillation (HR = 0.399, 95% CI: 0.254-0.627, <i>P</i> = 0.001). Independent risk factor in females was MCHC (HR = 1.037, 95% CI: 1.011-1.064, <i>P</i> = 0.005).</p><p><strong>Conclusion: </strong>In patients with HFrEF, anemia, and HU, males and females exhibited distinct clinical characteristics and cardiovascular risk factors, despite having similar survival outcomes. These findings underscore the importance of addressing sex-specific risk profiles in the clinical management of HFrEF.</p>\",\"PeriodicalId\":14131,\"journal\":{\"name\":\"International Journal of General Medicine\",\"volume\":\"18 \",\"pages\":\"5755-5763\"},\"PeriodicalIF\":2.0000,\"publicationDate\":\"2025-09-22\",\"publicationTypes\":\"Journal Article\",\"fieldsOfStudy\":null,\"isOpenAccess\":false,\"openAccessPdf\":\"https://www.ncbi.nlm.nih.gov/pmc/articles/PMC12466588/pdf/\",\"citationCount\":\"0\",\"resultStr\":null,\"platform\":\"Semanticscholar\",\"paperid\":null,\"PeriodicalName\":\"International Journal of General Medicine\",\"FirstCategoryId\":\"3\",\"ListUrlMain\":\"https://doi.org/10.2147/IJGM.S536026\",\"RegionNum\":4,\"RegionCategory\":\"医学\",\"ArticlePicture\":[],\"TitleCN\":null,\"AbstractTextCN\":null,\"PMCID\":null,\"EPubDate\":\"2025/1/1 0:00:00\",\"PubModel\":\"eCollection\",\"JCR\":\"Q2\",\"JCRName\":\"MEDICINE, GENERAL & INTERNAL\",\"Score\":null,\"Total\":0}","platform":"Semanticscholar","paperid":null,"PeriodicalName":"International Journal of General Medicine","FirstCategoryId":"3","ListUrlMain":"https://doi.org/10.2147/IJGM.S536026","RegionNum":4,"RegionCategory":"医学","ArticlePicture":[],"TitleCN":null,"AbstractTextCN":null,"PMCID":null,"EPubDate":"2025/1/1 0:00:00","PubModel":"eCollection","JCR":"Q2","JCRName":"MEDICINE, GENERAL & INTERNAL","Score":null,"Total":0}
引用次数: 0

摘要

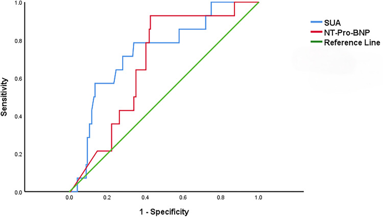
目的:心力衰竭伴射血分数降低(HFrEF)与高死亡率和发病率相关。本研究旨在探讨HFrEF合并贫血和高尿酸血症患者在临床特征、心室重构、心血管危险因素和预后方面的性别差异。对象和方法:我们分析了2018年1月1日至2022年9月1日在右江民族医学院附属医院住院的HFrEF患者的数据。共纳入185例HFrEF、贫血和高尿酸血症(HU)患者。检查实验室和超声心动图参数,并使用Cox回归分析确定预后危险因素。性别间比较临床特征及预后因素。结果:与男性患者相比,女性患者体重更低,体型更小,贫血更严重,心室重构的缺血性原因更少。男性患者吸烟和肾功能不全的患病率较高。血清尿酸预测下肢静脉血栓形成(曲线下面积= 0.736)。在21.78个月的中位随访期间,没有观察到心血管事件的显著性别差异。然而,多变量Cox比例风险分析显示了性别特异性预后因素。男性的独立危险因素为体重(HR = 1.035, 95% CI: 1.016 ~ 1.054, P = 0.001)、总蛋白(HR = 0.965, 95% CI: 0.934 ~ 0.997, P = 0.031)、白蛋白/球蛋白比(HR = 2.024, 95% CI: 1.093 ~ 3.749, P = 0.025)、房颤(HR = 0.399, 95% CI: 0.254 ~ 0.627, P = 0.001)。女性的独立危险因素为MCHC (HR = 1.037, 95% CI: 1.011 ~ 1.064, P = 0.005)。结论:在HFrEF、贫血和HU患者中,尽管生存结果相似,但男性和女性表现出不同的临床特征和心血管危险因素。这些发现强调了在HFrEF的临床管理中处理性别特异性风险概况的重要性。
本文章由计算机程序翻译,如有差异,请以英文原文为准。

Sex Differences in Patients with Heart Failure with Reduced Ejection Fraction Combined with Anemia and Hyperuricemia: A Retrospective Case Study.

Sex Differences in Patients with Heart Failure with Reduced Ejection Fraction Combined with Anemia and Hyperuricemia: A Retrospective Case Study.

Sex Differences in Patients with Heart Failure with Reduced Ejection Fraction Combined with Anemia and Hyperuricemia: A Retrospective Case Study.

Sex Differences in Patients with Heart Failure with Reduced Ejection Fraction Combined with Anemia and Hyperuricemia: A Retrospective Case Study.

Objective: Heart failure with reduced ejection fraction (HFrEF) is associated with high mortality and morbidity. This study aimed to investigate sex differences in clinical characteristics, ventricular remodeling, cardiovascular risk factors, and prognosis among patients with HFrEF complicated by anemia and hyperuricemia.

Subjects and methods: We analyzed data from patients with HFrEF admitted to the Affiliated Hospital of Youjiang Medical University for Nationalities between January 1, 2018, and September 1, 2022. A total of 185 patients with HFrEF, anemia, and hyperuricemia (HU) were included. Laboratory and echocardiographic parameters were examined, and Cox regression analysis was used to identify prognostic risk factors. Clinical characteristics and prognostic factors were compared between sexes.

Results: Female patients had lower body weight, smaller body size, more severe anemia, and fewer ischemic causes of ventricular remodeling compared with male patients. Male patients had a higher prevalence of smoking and renal insufficiency. Serum uric acid predicted lower extremity venous thrombosis (area under the curve = 0.736). During a median follow-up of 21.78 months, no significant sex difference in cardiovascular events was observed. However, multivariate Cox proportional hazards analysis demonstrated sex-specific prognostic factors. The independent risk factors in males were body weight (HR = 1.035, 95% CI: 1.016-1.054, P = 0.001), total protein (HR = 0.965, 95% CI: 0.934-0.997, P = 0.031), albumin/globulin ratio (HR = 2.024, 95% CI: 1.093-3.749, P = 0.025), and atrial fibrillation (HR = 0.399, 95% CI: 0.254-0.627, P = 0.001). Independent risk factor in females was MCHC (HR = 1.037, 95% CI: 1.011-1.064, P = 0.005).

Conclusion: In patients with HFrEF, anemia, and HU, males and females exhibited distinct clinical characteristics and cardiovascular risk factors, despite having similar survival outcomes. These findings underscore the importance of addressing sex-specific risk profiles in the clinical management of HFrEF.

求助全文
通过发布文献求助,成功后即可免费获取论文全文。 去求助
来源期刊
International Journal of General Medicine
International Journal of General Medicine Medicine-General Medicine
自引率
0.00%
发文量
1113
审稿时长
16 weeks
期刊介绍: The International Journal of General Medicine is an international, peer-reviewed, open access journal that focuses on general and internal medicine, pathogenesis, epidemiology, diagnosis, monitoring and treatment protocols. The journal is characterized by the rapid reporting of reviews, original research and clinical studies across all disease areas. A key focus of the journal is the elucidation of disease processes and management protocols resulting in improved outcomes for the patient. Patient perspectives such as satisfaction, quality of life, health literacy and communication and their role in developing new healthcare programs and optimizing clinical outcomes are major areas of interest for the journal. As of 1st April 2019, the International Journal of General Medicine will no longer consider meta-analyses for publication.
×
引用
GB/T 7714-2015
复制
MLA
复制
APA
复制
导出至
BibTeX EndNote RefMan NoteFirst NoteExpress
×
提示
您的信息不完整,为了账户安全,请先补充。
现在去补充
×
提示
您因"违规操作"
具体请查看互助需知
我知道了
×
提示
确定
请完成安全验证×
copy
已复制链接
快去分享给好友吧!
我知道了
右上角分享
点击右上角分享
0
联系我们:info@booksci.cn Book学术提供免费学术资源搜索服务,方便国内外学者检索中英文文献。致力于提供最便捷和优质的服务体验。 Copyright © 2023 布克学术 All rights reserved.
京ICP备2023020795号-1
ghs 京公网安备 11010802042870号
Book学术文献互助
Book学术文献互助群
群 号:604180095
Book学术官方微信