印度人群丙戊酸水平、生物素酶活性和脱发之间关系的研究:一项横断面比较研究。

IF 2 4区 医学 Q3 PSYCHIATRY
Indian Journal of Psychiatry Pub Date : 2025-09-01 Epub Date: 2025-09-16 DOI:10.4103/indianjpsychiatry_1152_24
Anil Kakunje, Ashwini Prabhu, Ravichandra Karkal, K Rahyanath Pookoth, Parmod Kumar, Nitin Gupta, Es Sindhu Priya, Pma Nishad
{"title":"印度人群丙戊酸水平、生物素酶活性和脱发之间关系的研究:一项横断面比较研究。","authors":"Anil Kakunje, Ashwini Prabhu, Ravichandra Karkal, K Rahyanath Pookoth, Parmod Kumar, Nitin Gupta, Es Sindhu Priya, Pma Nishad","doi":"10.4103/indianjpsychiatry_1152_24","DOIUrl":null,"url":null,"abstract":"<p><strong>Background: </strong>Valproic acid (VPA) is the medication prescribed for the treatment of bipolar disorder, epilepsy, and migraine. It is reported that the VPA treatment leads to biotin deficiency due to the low serum biotinidase activity. Alopecia or hair loss is another common side effect of valproate administration.</p><p><strong>Aim: </strong>The study aims to investigate hair loss complaint in people, who are on Valproate and find the association between valproate levels, serum biotinidase activity and hair loss in persons treated with valproate.</p><p><strong>Methods: </strong>This two years cross sectional comparative study involving 150 participants was performed at department of Psychiatry of a tertiary care teaching hospital. The study group had 75 persons taking Valproate compared with 75 persons in the control group. Blood samples were collected for estimation of serum VPA levels and serum biotinidase activity. Quantification of alopecia biomarker Interleukin (IL)-2 was estimated. Data was analyzed by using student T test, Pearson's correlation, and Mann Whitney <i>U</i> test.</p><p><strong>Results: </strong>The study group comprised of 40 males and 35 females with a mean age of 42.04 (±12.85) years. The control group had 39 males and 36 females with a mean age of 38.38 (±14.42) years. Hair loss was reported in 18 (24%) persons of study cohort compared to 2 (2.66%) among the control group. There was a statistically significant difference between biotinidase levels across the participants with hair loss complaint and those without hair loss complaint. (Mean rank of participants with hair loss complaint = 43.30, mean rank of participants without hair loss complaint = 80.45, U = 656.000, <i>P</i> ≤ 0.001). There was a statistically significant difference between the distribution of <i>IL2</i> across the study and control groups. (Mean rank of study group = 57.73, mean rank of control group = 83.27, U = 3,395.00, <i>P</i> = 0.025).</p><p><strong>Conclusion: </strong>It can be concluded that there is an association between Valproate levels, biotinidase activity and hair loss.</p>","PeriodicalId":13345,"journal":{"name":"Indian Journal of Psychiatry","volume":"67 9","pages":"894-899"},"PeriodicalIF":2.0000,"publicationDate":"2025-09-01","publicationTypes":"Journal Article","fieldsOfStudy":null,"isOpenAccess":false,"openAccessPdf":"https://www.ncbi.nlm.nih.gov/pmc/articles/PMC12468814/pdf/","citationCount":"0","resultStr":"{\"title\":\"Study of association between valproic acid levels, biotinidase activity and hair loss in Indian population: A cross-sectional comparative study.\",\"authors\":\"Anil Kakunje, Ashwini Prabhu, Ravichandra Karkal, K Rahyanath Pookoth, Parmod Kumar, Nitin Gupta, Es Sindhu Priya, Pma Nishad\",\"doi\":\"10.4103/indianjpsychiatry_1152_24\",\"DOIUrl\":null,\"url\":null,\"abstract\":\"<p><strong>Background: </strong>Valproic acid (VPA) is the medication prescribed for the treatment of bipolar disorder, epilepsy, and migraine. It is reported that the VPA treatment leads to biotin deficiency due to the low serum biotinidase activity. Alopecia or hair loss is another common side effect of valproate administration.</p><p><strong>Aim: </strong>The study aims to investigate hair loss complaint in people, who are on Valproate and find the association between valproate levels, serum biotinidase activity and hair loss in persons treated with valproate.</p><p><strong>Methods: </strong>This two years cross sectional comparative study involving 150 participants was performed at department of Psychiatry of a tertiary care teaching hospital. The study group had 75 persons taking Valproate compared with 75 persons in the control group. Blood samples were collected for estimation of serum VPA levels and serum biotinidase activity. Quantification of alopecia biomarker Interleukin (IL)-2 was estimated. Data was analyzed by using student T test, Pearson's correlation, and Mann Whitney <i>U</i> test.</p><p><strong>Results: </strong>The study group comprised of 40 males and 35 females with a mean age of 42.04 (±12.85) years. The control group had 39 males and 36 females with a mean age of 38.38 (±14.42) years. Hair loss was reported in 18 (24%) persons of study cohort compared to 2 (2.66%) among the control group. There was a statistically significant difference between biotinidase levels across the participants with hair loss complaint and those without hair loss complaint. (Mean rank of participants with hair loss complaint = 43.30, mean rank of participants without hair loss complaint = 80.45, U = 656.000, <i>P</i> ≤ 0.001). There was a statistically significant difference between the distribution of <i>IL2</i> across the study and control groups. (Mean rank of study group = 57.73, mean rank of control group = 83.27, U = 3,395.00, <i>P</i> = 0.025).</p><p><strong>Conclusion: </strong>It can be concluded that there is an association between Valproate levels, biotinidase activity and hair loss.</p>\",\"PeriodicalId\":13345,\"journal\":{\"name\":\"Indian Journal of Psychiatry\",\"volume\":\"67 9\",\"pages\":\"894-899\"},\"PeriodicalIF\":2.0000,\"publicationDate\":\"2025-09-01\",\"publicationTypes\":\"Journal Article\",\"fieldsOfStudy\":null,\"isOpenAccess\":false,\"openAccessPdf\":\"https://www.ncbi.nlm.nih.gov/pmc/articles/PMC12468814/pdf/\",\"citationCount\":\"0\",\"resultStr\":null,\"platform\":\"Semanticscholar\",\"paperid\":null,\"PeriodicalName\":\"Indian Journal of Psychiatry\",\"FirstCategoryId\":\"3\",\"ListUrlMain\":\"https://doi.org/10.4103/indianjpsychiatry_1152_24\",\"RegionNum\":4,\"RegionCategory\":\"医学\",\"ArticlePicture\":[],\"TitleCN\":null,\"AbstractTextCN\":null,\"PMCID\":null,\"EPubDate\":\"2025/9/16 0:00:00\",\"PubModel\":\"Epub\",\"JCR\":\"Q3\",\"JCRName\":\"PSYCHIATRY\",\"Score\":null,\"Total\":0}","platform":"Semanticscholar","paperid":null,"PeriodicalName":"Indian Journal of Psychiatry","FirstCategoryId":"3","ListUrlMain":"https://doi.org/10.4103/indianjpsychiatry_1152_24","RegionNum":4,"RegionCategory":"医学","ArticlePicture":[],"TitleCN":null,"AbstractTextCN":null,"PMCID":null,"EPubDate":"2025/9/16 0:00:00","PubModel":"Epub","JCR":"Q3","JCRName":"PSYCHIATRY","Score":null,"Total":0}
引用次数: 0

摘要

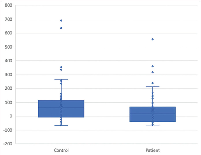
背景:丙戊酸(VPA)是治疗双相情感障碍、癫痫和偏头痛的处方药。据报道,由于血清生物素酶活性低,VPA治疗导致生物素缺乏。脱发是丙戊酸治疗的另一个常见副作用。目的:本研究旨在调查丙戊酸患者的脱发投诉,并发现丙戊酸水平、血清生物素酶活性与丙戊酸患者脱发之间的关系。方法:在某三级教学医院精神科进行为期两年的横断面比较研究,涉及150名参与者。研究组有75人服用丙戊酸盐,对照组为75人。采集血样,测定血清VPA水平和血清生物素酶活性。评估脱发生物标志物白介素(IL)-2的定量。数据分析采用学生T检验、Pearson相关检验和Mann Whitney U检验。结果:研究组男性40例,女性35例,平均年龄42.04(±12.85)岁。对照组男性39例,女性36例,平均年龄38.38(±14.42)岁。研究队列中有18人(24%)报告脱发,而对照组中有2人(2.66%)报告脱发。在有脱发抱怨和没有脱发抱怨的参与者中,生物素酶水平有统计学上的显著差异。(有脱发抱怨者平均排名= 43.30,无脱发抱怨者平均排名= 80.45,U = 656.000, P≤0.001)。il - 2在研究组和对照组之间的分布有统计学上的显著差异。(研究组平均rank = 57.73,对照组平均rank = 83.27, U = 3,395.00, P = 0.025)。结论:丙戊酸水平、生物素酶活性与脱发有一定的相关性。
本文章由计算机程序翻译,如有差异,请以英文原文为准。

Study of association between valproic acid levels, biotinidase activity and hair loss in Indian population: A cross-sectional comparative study.

Study of association between valproic acid levels, biotinidase activity and hair loss in Indian population: A cross-sectional comparative study.

Study of association between valproic acid levels, biotinidase activity and hair loss in Indian population: A cross-sectional comparative study.

Study of association between valproic acid levels, biotinidase activity and hair loss in Indian population: A cross-sectional comparative study.

Background: Valproic acid (VPA) is the medication prescribed for the treatment of bipolar disorder, epilepsy, and migraine. It is reported that the VPA treatment leads to biotin deficiency due to the low serum biotinidase activity. Alopecia or hair loss is another common side effect of valproate administration.

Aim: The study aims to investigate hair loss complaint in people, who are on Valproate and find the association between valproate levels, serum biotinidase activity and hair loss in persons treated with valproate.

Methods: This two years cross sectional comparative study involving 150 participants was performed at department of Psychiatry of a tertiary care teaching hospital. The study group had 75 persons taking Valproate compared with 75 persons in the control group. Blood samples were collected for estimation of serum VPA levels and serum biotinidase activity. Quantification of alopecia biomarker Interleukin (IL)-2 was estimated. Data was analyzed by using student T test, Pearson's correlation, and Mann Whitney U test.

Results: The study group comprised of 40 males and 35 females with a mean age of 42.04 (±12.85) years. The control group had 39 males and 36 females with a mean age of 38.38 (±14.42) years. Hair loss was reported in 18 (24%) persons of study cohort compared to 2 (2.66%) among the control group. There was a statistically significant difference between biotinidase levels across the participants with hair loss complaint and those without hair loss complaint. (Mean rank of participants with hair loss complaint = 43.30, mean rank of participants without hair loss complaint = 80.45, U = 656.000, P ≤ 0.001). There was a statistically significant difference between the distribution of IL2 across the study and control groups. (Mean rank of study group = 57.73, mean rank of control group = 83.27, U = 3,395.00, P = 0.025).

Conclusion: It can be concluded that there is an association between Valproate levels, biotinidase activity and hair loss.

求助全文
通过发布文献求助,成功后即可免费获取论文全文。 去求助
来源期刊
Indian Journal of Psychiatry
Indian Journal of Psychiatry Medicine-Psychiatry and Mental Health
CiteScore
4.40
自引率
3.20%
发文量
130
审稿时长
34 weeks
期刊介绍: The Indian Journal of Psychiatry (ISSN 0019-5545), is an official publication of the Indian Psychiatric Society. It is published Bimonthly with one additional supplement (total 5 issues). The IJP publishes original work in all the fields of psychiatry. All papers are peer-reviewed before publication. The issues are published Bimonthly. An additional supplement is also published annually. Articles can be submitted online from www.journalonweb.com . The journal provides immediate free access to all the published articles. The journal does not charge the authors for submission, processing or publication of the articles.
×
引用
GB/T 7714-2015
复制
MLA
复制
APA
复制
导出至
BibTeX EndNote RefMan NoteFirst NoteExpress
×
提示
您的信息不完整,为了账户安全,请先补充。
现在去补充
×
提示
您因"违规操作"
具体请查看互助需知
我知道了
×
提示
确定
请完成安全验证×
copy
已复制链接
快去分享给好友吧!
我知道了
右上角分享
点击右上角分享
0
联系我们:info@booksci.cn Book学术提供免费学术资源搜索服务,方便国内外学者检索中英文文献。致力于提供最便捷和优质的服务体验。 Copyright © 2023 布克学术 All rights reserved.
京ICP备2023020795号-1
ghs 京公网安备 11010802042870号
Book学术文献互助
Book学术文献互助群
群 号:604180095
Book学术官方微信