机械非同步化对左心室功能和冠状动脉灌注的急性影响。

IF 4.8 3区 工程技术 Q1 BIOTECHNOLOGY & APPLIED MICROBIOLOGY
Frontiers in Bioengineering and Biotechnology Pub Date : 2025-09-12 eCollection Date: 2025-01-01 DOI:10.3389/fbioe.2025.1630854
Jenny S Choy, Lei Fan, Yousif Awakeem, Chenghan Cai, Farshad Raissi, Lik Chuan Lee, Ghassan S Kassab
{"title":"机械非同步化对左心室功能和冠状动脉灌注的急性影响。","authors":"Jenny S Choy, Lei Fan, Yousif Awakeem, Chenghan Cai, Farshad Raissi, Lik Chuan Lee, Ghassan S Kassab","doi":"10.3389/fbioe.2025.1630854","DOIUrl":null,"url":null,"abstract":"<p><strong>Background: </strong>Patients with heart failure frequently develop mechanical dyssynchrony, which impairs ventricular function, coronary perfusion and their interactions. The underlying mechanisms, however, remain poorly understood due to numerous confounding factors. The objective of this study was to determine the acute effects of mechanical dyssynchrony on global and regional left ventricular (LV) function, coronary perfusion and their interactions based on experimental and computational approaches.</p><p><strong>Methods: </strong>Mechanical dyssynchrony was created with right ventricular apical pacing in Yorkshire domestic swine (n = 9). The heart was paced at 100 and 140 bpm and the results were compared to right atrial pacing. An inverse finite element computational framework based on an animal-specific geometry of the LV and measurements was developed to investigate the effects of mechanical dyssynchrony on LV function and its correlation with regional coronary perfusion.</p><p><strong>Results: </strong>Cardiac dyssynchrony induced significant decrease in LV pressure, volume, dP/dt<sub>(min)</sub>, stroke volume, ejection fraction, and regional longitudinal and circumferential strain. With mechanical dyssynchrony, passive flow decreased by 70% in the left anterior descending artery (LAD) and 67% in the left circumflex (LCX). An animal-specific inverse finite element computational model predicted that in mechanical dyssynchrony, global and regional LV contractility in the septum and LV free wall (LVFW), and myocardial work done in the septum and LVFW decreased.</p><p><strong>Conclusion: </strong>The computational model predicted reduction in global and regional contractility, and regional myocardial work done in the septum and LVFW with mechanical dyssynchrony are positively correlated with the corresponding decrease in experimentally measured regulated coronary flow in the LAD and LCX. These findings demonstrate that this interrelated mechanism between LV function and coronary flow in mechanical dyssynchrony may affect cardiac resynchronization therapy responder rate.</p>","PeriodicalId":12444,"journal":{"name":"Frontiers in Bioengineering and Biotechnology","volume":"13 ","pages":"1630854"},"PeriodicalIF":4.8000,"publicationDate":"2025-09-12","publicationTypes":"Journal Article","fieldsOfStudy":null,"isOpenAccess":false,"openAccessPdf":"https://www.ncbi.nlm.nih.gov/pmc/articles/PMC12463955/pdf/","citationCount":"0","resultStr":"{\"title\":\"Acute effects of mechanical dyssynchrony on left ventricular function and coronary perfusion.\",\"authors\":\"Jenny S Choy, Lei Fan, Yousif Awakeem, Chenghan Cai, Farshad Raissi, Lik Chuan Lee, Ghassan S Kassab\",\"doi\":\"10.3389/fbioe.2025.1630854\",\"DOIUrl\":null,\"url\":null,\"abstract\":\"<p><strong>Background: </strong>Patients with heart failure frequently develop mechanical dyssynchrony, which impairs ventricular function, coronary perfusion and their interactions. The underlying mechanisms, however, remain poorly understood due to numerous confounding factors. The objective of this study was to determine the acute effects of mechanical dyssynchrony on global and regional left ventricular (LV) function, coronary perfusion and their interactions based on experimental and computational approaches.</p><p><strong>Methods: </strong>Mechanical dyssynchrony was created with right ventricular apical pacing in Yorkshire domestic swine (n = 9). The heart was paced at 100 and 140 bpm and the results were compared to right atrial pacing. An inverse finite element computational framework based on an animal-specific geometry of the LV and measurements was developed to investigate the effects of mechanical dyssynchrony on LV function and its correlation with regional coronary perfusion.</p><p><strong>Results: </strong>Cardiac dyssynchrony induced significant decrease in LV pressure, volume, dP/dt<sub>(min)</sub>, stroke volume, ejection fraction, and regional longitudinal and circumferential strain. With mechanical dyssynchrony, passive flow decreased by 70% in the left anterior descending artery (LAD) and 67% in the left circumflex (LCX). An animal-specific inverse finite element computational model predicted that in mechanical dyssynchrony, global and regional LV contractility in the septum and LV free wall (LVFW), and myocardial work done in the septum and LVFW decreased.</p><p><strong>Conclusion: </strong>The computational model predicted reduction in global and regional contractility, and regional myocardial work done in the septum and LVFW with mechanical dyssynchrony are positively correlated with the corresponding decrease in experimentally measured regulated coronary flow in the LAD and LCX. These findings demonstrate that this interrelated mechanism between LV function and coronary flow in mechanical dyssynchrony may affect cardiac resynchronization therapy responder rate.</p>\",\"PeriodicalId\":12444,\"journal\":{\"name\":\"Frontiers in Bioengineering and Biotechnology\",\"volume\":\"13 \",\"pages\":\"1630854\"},\"PeriodicalIF\":4.8000,\"publicationDate\":\"2025-09-12\",\"publicationTypes\":\"Journal Article\",\"fieldsOfStudy\":null,\"isOpenAccess\":false,\"openAccessPdf\":\"https://www.ncbi.nlm.nih.gov/pmc/articles/PMC12463955/pdf/\",\"citationCount\":\"0\",\"resultStr\":null,\"platform\":\"Semanticscholar\",\"paperid\":null,\"PeriodicalName\":\"Frontiers in Bioengineering and Biotechnology\",\"FirstCategoryId\":\"5\",\"ListUrlMain\":\"https://doi.org/10.3389/fbioe.2025.1630854\",\"RegionNum\":3,\"RegionCategory\":\"工程技术\",\"ArticlePicture\":[],\"TitleCN\":null,\"AbstractTextCN\":null,\"PMCID\":null,\"EPubDate\":\"2025/1/1 0:00:00\",\"PubModel\":\"eCollection\",\"JCR\":\"Q1\",\"JCRName\":\"BIOTECHNOLOGY & APPLIED MICROBIOLOGY\",\"Score\":null,\"Total\":0}","platform":"Semanticscholar","paperid":null,"PeriodicalName":"Frontiers in Bioengineering and Biotechnology","FirstCategoryId":"5","ListUrlMain":"https://doi.org/10.3389/fbioe.2025.1630854","RegionNum":3,"RegionCategory":"工程技术","ArticlePicture":[],"TitleCN":null,"AbstractTextCN":null,"PMCID":null,"EPubDate":"2025/1/1 0:00:00","PubModel":"eCollection","JCR":"Q1","JCRName":"BIOTECHNOLOGY & APPLIED MICROBIOLOGY","Score":null,"Total":0}
引用次数: 0

摘要

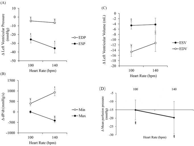
背景:心力衰竭患者经常发生机械非同步化,这损害了心室功能、冠状动脉灌注及其相互作用。然而,由于许多混杂因素,其潜在机制仍然知之甚少。本研究的目的是基于实验和计算方法确定机械非同步化对整体和局部左室(LV)功能、冠状动脉灌注的急性影响及其相互作用。方法:约克郡家猪(n = 9)右心室起搏产生机械非同步运动。心率分别为每分钟100次和每分钟140次,并与右心房起搏结果进行比较。基于动物特定的左室几何形状和测量,开发了一个逆有限元计算框架,以研究机械非同步化对左室功能的影响及其与局部冠状动脉灌注的相关性。结果:心脏非同步化运动导致左室压、容积、dP/dt(min)、卒中容积、射血分数和区域纵、周应变显著降低。机械不同步时,左前降支(LAD)被动血流减少70%,左旋支(LCX)减少67%。动物特异性逆有限元计算模型预测,在机械不同步时,室间隔和左室自由壁(LVFW)的整体和局部左室收缩力下降,室间隔和左室自由壁的心肌做功下降。结论:计算模型预测了整体和局部收缩力的降低,并且在机械不同步的中隔和LVFW中进行的局部心肌功与LAD和LCX中实验测量的调节冠状动脉血流的相应降低正相关。这些发现表明,机械非同步化时左室功能和冠状动脉血流之间的相关机制可能影响心脏再同步化治疗的应答率。
本文章由计算机程序翻译,如有差异,请以英文原文为准。

Acute effects of mechanical dyssynchrony on left ventricular function and coronary perfusion.

Acute effects of mechanical dyssynchrony on left ventricular function and coronary perfusion.

Acute effects of mechanical dyssynchrony on left ventricular function and coronary perfusion.

Acute effects of mechanical dyssynchrony on left ventricular function and coronary perfusion.

Background: Patients with heart failure frequently develop mechanical dyssynchrony, which impairs ventricular function, coronary perfusion and their interactions. The underlying mechanisms, however, remain poorly understood due to numerous confounding factors. The objective of this study was to determine the acute effects of mechanical dyssynchrony on global and regional left ventricular (LV) function, coronary perfusion and their interactions based on experimental and computational approaches.

Methods: Mechanical dyssynchrony was created with right ventricular apical pacing in Yorkshire domestic swine (n = 9). The heart was paced at 100 and 140 bpm and the results were compared to right atrial pacing. An inverse finite element computational framework based on an animal-specific geometry of the LV and measurements was developed to investigate the effects of mechanical dyssynchrony on LV function and its correlation with regional coronary perfusion.

Results: Cardiac dyssynchrony induced significant decrease in LV pressure, volume, dP/dt(min), stroke volume, ejection fraction, and regional longitudinal and circumferential strain. With mechanical dyssynchrony, passive flow decreased by 70% in the left anterior descending artery (LAD) and 67% in the left circumflex (LCX). An animal-specific inverse finite element computational model predicted that in mechanical dyssynchrony, global and regional LV contractility in the septum and LV free wall (LVFW), and myocardial work done in the septum and LVFW decreased.

Conclusion: The computational model predicted reduction in global and regional contractility, and regional myocardial work done in the septum and LVFW with mechanical dyssynchrony are positively correlated with the corresponding decrease in experimentally measured regulated coronary flow in the LAD and LCX. These findings demonstrate that this interrelated mechanism between LV function and coronary flow in mechanical dyssynchrony may affect cardiac resynchronization therapy responder rate.

求助全文
通过发布文献求助,成功后即可免费获取论文全文。 去求助
来源期刊
Frontiers in Bioengineering and Biotechnology
Frontiers in Bioengineering and Biotechnology Chemical Engineering-Bioengineering
CiteScore
8.30
自引率
5.30%
发文量
2270
审稿时长
12 weeks
期刊介绍: The translation of new discoveries in medicine to clinical routine has never been easy. During the second half of the last century, thanks to the progress in chemistry, biochemistry and pharmacology, we have seen the development and the application of a large number of drugs and devices aimed at the treatment of symptoms, blocking unwanted pathways and, in the case of infectious diseases, fighting the micro-organisms responsible. However, we are facing, today, a dramatic change in the therapeutic approach to pathologies and diseases. Indeed, the challenge of the present and the next decade is to fully restore the physiological status of the diseased organism and to completely regenerate tissue and organs when they are so seriously affected that treatments cannot be limited to the repression of symptoms or to the repair of damage. This is being made possible thanks to the major developments made in basic cell and molecular biology, including stem cell science, growth factor delivery, gene isolation and transfection, the advances in bioengineering and nanotechnology, including development of new biomaterials, biofabrication technologies and use of bioreactors, and the big improvements in diagnostic tools and imaging of cells, tissues and organs. In today`s world, an enhancement of communication between multidisciplinary experts, together with the promotion of joint projects and close collaborations among scientists, engineers, industry people, regulatory agencies and physicians are absolute requirements for the success of any attempt to develop and clinically apply a new biological therapy or an innovative device involving the collective use of biomaterials, cells and/or bioactive molecules. “Frontiers in Bioengineering and Biotechnology” aspires to be a forum for all people involved in the process by bridging the gap too often existing between a discovery in the basic sciences and its clinical application.
×
引用
GB/T 7714-2015
复制
MLA
复制
APA
复制
导出至
BibTeX EndNote RefMan NoteFirst NoteExpress
×
提示
您的信息不完整,为了账户安全,请先补充。
现在去补充
×
提示
您因"违规操作"
具体请查看互助需知
我知道了
×
提示
确定
请完成安全验证×
copy
已复制链接
快去分享给好友吧!
我知道了
右上角分享
点击右上角分享
0
联系我们:info@booksci.cn Book学术提供免费学术资源搜索服务,方便国内外学者检索中英文文献。致力于提供最便捷和优质的服务体验。 Copyright © 2023 布克学术 All rights reserved.
京ICP备2023020795号-1
ghs 京公网安备 11010802042870号
Book学术文献互助
Book学术文献互助群
群 号:604180095
Book学术官方微信