评估SARS-CoV-2刺突突变对抗体结合的影响:在多重Luminex试验中对武汉和JN.1变异全长刺突的比较评估

IF 3.5 3区 医学 Q2 VIROLOGY
Viruses-Basel Pub Date : 2025-09-16 DOI:10.3390/v17091248
Gerald Waweru, Ruth Nyakundi, Bernadette Kutima, Sharon Owuor, Gloria Konyino, John Gitonga, Doreen Lugano, Angela Maina, Jennifer Musyoki, Lucy Ochola, Martin Omondi, Christopher K Kariuki, Paul Ogongo, Christina Mwachari, Faiz Shee, Charles Agoti, Charles Sande, Sophie Uyoga, Eunice Kagucia, Ambrose Agweyu, Philip Bejon, J Anthony G Scott, George M Warimwe, L Isabella Ochola-Oyier, James Nyagwange
{"title":"评估SARS-CoV-2刺突突变对抗体结合的影响:在多重Luminex试验中对武汉和JN.1变异全长刺突的比较评估","authors":"Gerald Waweru, Ruth Nyakundi, Bernadette Kutima, Sharon Owuor, Gloria Konyino, John Gitonga, Doreen Lugano, Angela Maina, Jennifer Musyoki, Lucy Ochola, Martin Omondi, Christopher K Kariuki, Paul Ogongo, Christina Mwachari, Faiz Shee, Charles Agoti, Charles Sande, Sophie Uyoga, Eunice Kagucia, Ambrose Agweyu, Philip Bejon, J Anthony G Scott, George M Warimwe, L Isabella Ochola-Oyier, James Nyagwange","doi":"10.3390/v17091248","DOIUrl":null,"url":null,"abstract":"<p><p>Severe Acute Respiratory Syndrome Coronavirus 2 (SARS-CoV-2) continues to evolve, with mutations leading to the emergence of new variants. JN.1, a subvariant of omicron BA.2.86, has demonstrated marked immune escape and is now included in updated vaccine formulations. While reduced sensitivity has been reported for antibody assays using ancestral spike protein subunits to detect omicron-induced responses, the performance of full-length spike-based assays against omicron sublineages remains unclear. We aimed to compare the sensitivity of ELISA and Luminex assays using full-length spike proteins from the ancestral Wuhan strain and the JN.1 variant.</p><p><strong>Methods: </strong>Wuhan and JN.1 full-length spike protein constructs were designed and expressed in Expi293F mammalian cells. In-house ELISAs based on previously validated protocols were used to measure anti-spike IgG levels. Additionally, a Luminex-based assay for anti-spike antibody detection was developed and validated. Both assays were applied to the following sample groups: pre-pandemic samples (designated \"gold standard negatives\"); PCR confirmed 2020 positives (\"gold standard wildtype positives\"); PCR confirmed 2024 positives (\"gold standard omicron positives\"); 2022 vaccinated individuals with verbal confirmed infection (\"gold standard hybrid positives\"); and 2024 household samples (\"unknowns\").</p><p><strong>Results: </strong>Wuhan spike protein showed a sensitivity of 100% (95% CI: 0.88-1.0) in detecting omicron-specific antibodies using gold standard omicron positives with JN.1 spike protein as a reference assay. Overall, across all samples, in ELISA, the Wuhan antigen had a sensitivity of 0.93 (95% CI: 0.89-0.95) and a specificity of 0.98 (95% CI: 0.94-0.99). The JN.1 antigen showed a sensitivity of 0.91 (95% CI: 0.87-0.94) and a specificity of 0.97 (95% CI: 0.93-0.99). In Luminex, sensitivity was 0.95 (95% CI: 0.91-0.97) for Wuhan and 0.94 (95% CI: 0.91-0.96) for JN.1. Specificity for both antigens in Luminex was 0.98 (95% CI: 0.94-0.99).</p><p><strong>Conclusions: </strong>Both ELISA and Luminex assays showed comparable sensitivity and specificity for both Wuhan and JN.1 antigens, indicating that mutations in the JN.1 variant do not significantly impact assay performance. This suggests preserved antigenic recognition across variants.</p>","PeriodicalId":49328,"journal":{"name":"Viruses-Basel","volume":"17 9","pages":""},"PeriodicalIF":3.5000,"publicationDate":"2025-09-16","publicationTypes":"Journal Article","fieldsOfStudy":null,"isOpenAccess":false,"openAccessPdf":"https://www.ncbi.nlm.nih.gov/pmc/articles/PMC12474121/pdf/","citationCount":"0","resultStr":"{\"title\":\"Assessing the Impact of SARS-CoV-2 Spike Mutations on Antibody Binding: A Comparative Assessment of the Wuhan and JN.1 Variants' Full-Length Spikes in a Multiplex Luminex Assay.\",\"authors\":\"Gerald Waweru, Ruth Nyakundi, Bernadette Kutima, Sharon Owuor, Gloria Konyino, John Gitonga, Doreen Lugano, Angela Maina, Jennifer Musyoki, Lucy Ochola, Martin Omondi, Christopher K Kariuki, Paul Ogongo, Christina Mwachari, Faiz Shee, Charles Agoti, Charles Sande, Sophie Uyoga, Eunice Kagucia, Ambrose Agweyu, Philip Bejon, J Anthony G Scott, George M Warimwe, L Isabella Ochola-Oyier, James Nyagwange\",\"doi\":\"10.3390/v17091248\",\"DOIUrl\":null,\"url\":null,\"abstract\":\"<p><p>Severe Acute Respiratory Syndrome Coronavirus 2 (SARS-CoV-2) continues to evolve, with mutations leading to the emergence of new variants. JN.1, a subvariant of omicron BA.2.86, has demonstrated marked immune escape and is now included in updated vaccine formulations. While reduced sensitivity has been reported for antibody assays using ancestral spike protein subunits to detect omicron-induced responses, the performance of full-length spike-based assays against omicron sublineages remains unclear. We aimed to compare the sensitivity of ELISA and Luminex assays using full-length spike proteins from the ancestral Wuhan strain and the JN.1 variant.</p><p><strong>Methods: </strong>Wuhan and JN.1 full-length spike protein constructs were designed and expressed in Expi293F mammalian cells. In-house ELISAs based on previously validated protocols were used to measure anti-spike IgG levels. Additionally, a Luminex-based assay for anti-spike antibody detection was developed and validated. Both assays were applied to the following sample groups: pre-pandemic samples (designated \\\"gold standard negatives\\\"); PCR confirmed 2020 positives (\\\"gold standard wildtype positives\\\"); PCR confirmed 2024 positives (\\\"gold standard omicron positives\\\"); 2022 vaccinated individuals with verbal confirmed infection (\\\"gold standard hybrid positives\\\"); and 2024 household samples (\\\"unknowns\\\").</p><p><strong>Results: </strong>Wuhan spike protein showed a sensitivity of 100% (95% CI: 0.88-1.0) in detecting omicron-specific antibodies using gold standard omicron positives with JN.1 spike protein as a reference assay. Overall, across all samples, in ELISA, the Wuhan antigen had a sensitivity of 0.93 (95% CI: 0.89-0.95) and a specificity of 0.98 (95% CI: 0.94-0.99). The JN.1 antigen showed a sensitivity of 0.91 (95% CI: 0.87-0.94) and a specificity of 0.97 (95% CI: 0.93-0.99). In Luminex, sensitivity was 0.95 (95% CI: 0.91-0.97) for Wuhan and 0.94 (95% CI: 0.91-0.96) for JN.1. Specificity for both antigens in Luminex was 0.98 (95% CI: 0.94-0.99).</p><p><strong>Conclusions: </strong>Both ELISA and Luminex assays showed comparable sensitivity and specificity for both Wuhan and JN.1 antigens, indicating that mutations in the JN.1 variant do not significantly impact assay performance. This suggests preserved antigenic recognition across variants.</p>\",\"PeriodicalId\":49328,\"journal\":{\"name\":\"Viruses-Basel\",\"volume\":\"17 9\",\"pages\":\"\"},\"PeriodicalIF\":3.5000,\"publicationDate\":\"2025-09-16\",\"publicationTypes\":\"Journal Article\",\"fieldsOfStudy\":null,\"isOpenAccess\":false,\"openAccessPdf\":\"https://www.ncbi.nlm.nih.gov/pmc/articles/PMC12474121/pdf/\",\"citationCount\":\"0\",\"resultStr\":null,\"platform\":\"Semanticscholar\",\"paperid\":null,\"PeriodicalName\":\"Viruses-Basel\",\"FirstCategoryId\":\"3\",\"ListUrlMain\":\"https://doi.org/10.3390/v17091248\",\"RegionNum\":3,\"RegionCategory\":\"医学\",\"ArticlePicture\":[],\"TitleCN\":null,\"AbstractTextCN\":null,\"PMCID\":null,\"EPubDate\":\"\",\"PubModel\":\"\",\"JCR\":\"Q2\",\"JCRName\":\"VIROLOGY\",\"Score\":null,\"Total\":0}","platform":"Semanticscholar","paperid":null,"PeriodicalName":"Viruses-Basel","FirstCategoryId":"3","ListUrlMain":"https://doi.org/10.3390/v17091248","RegionNum":3,"RegionCategory":"医学","ArticlePicture":[],"TitleCN":null,"AbstractTextCN":null,"PMCID":null,"EPubDate":"","PubModel":"","JCR":"Q2","JCRName":"VIROLOGY","Score":null,"Total":0}
引用次数: 0

摘要

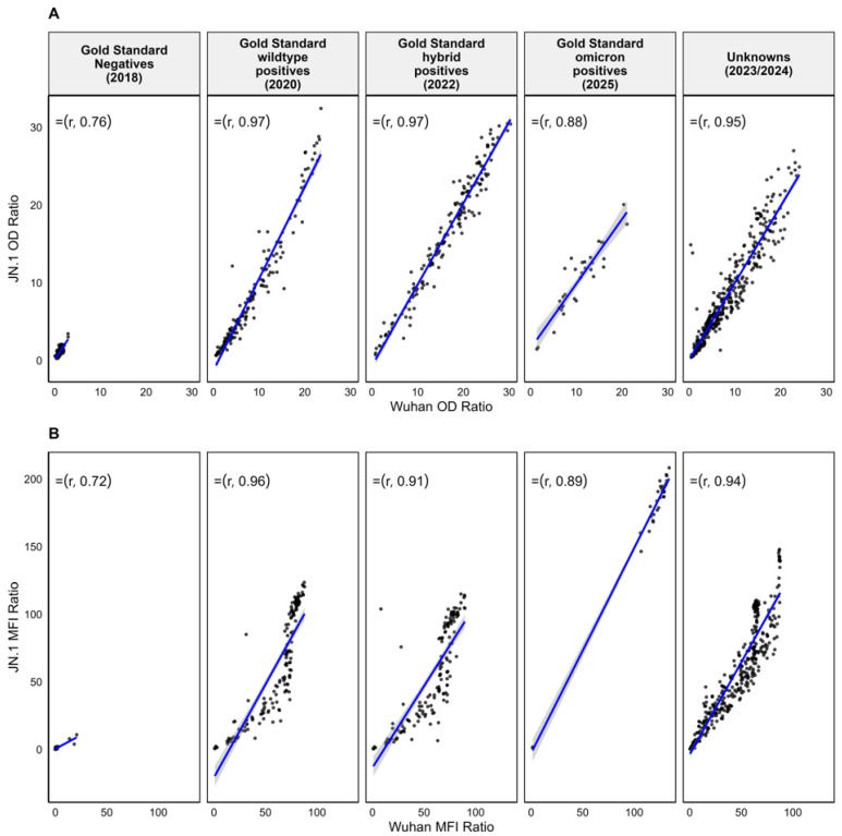
严重急性呼吸综合征冠状病毒2 (SARS-CoV-2)继续进化,突变导致新变体的出现。jn1是组粒BA.2.86的一个亚变体,已经显示出明显的免疫逃逸,现在被包括在更新的疫苗配方中。虽然有报道称使用祖先刺突蛋白亚基检测组粒诱导反应的抗体检测灵敏度降低,但基于全长刺突的检测组粒亚谱系的性能仍不清楚。我们的目的是比较ELISA和Luminex检测武汉祖传菌株和JN.1变异的全长刺突蛋白的敏感性。方法:设计武汉和JN.1全长刺突蛋白构建体,并在Expi293F哺乳动物细胞中表达。基于先前验证方案的内部elisa用于测量抗刺突IgG水平。此外,开发并验证了一种基于luminex的抗刺突抗体检测方法。两种检测方法均应用于以下样本组:大流行前样本(指定为“金标准阴性”);PCR确认2020年阳性(“金标准野生型阳性”);PCR确认2024例阳性(“金标准组微米阳性”);2022年口头确诊感染的个人接种了疫苗(“金标准杂交阳性”);以及2024个家庭样本(“未知”)。结果:以JN.1刺突蛋白为参比,武汉刺突蛋白检测组微粒特异性抗体的灵敏度为100% (95% CI: 0.88 ~ 1.0)。总体而言,在所有样本中,在ELISA中,武汉抗原的敏感性为0.93 (95% CI: 0.89-0.95),特异性为0.98 (95% CI: 0.94-0.99)。JN.1抗原敏感性为0.91 (95% CI: 0.87-0.94),特异性为0.97 (95% CI: 0.93-0.99)。在Luminex中,武汉的敏感性为0.95 (95% CI: 0.91-0.97), JN.1的敏感性为0.94 (95% CI: 0.91-0.96)。两种抗原在Luminex中的特异性为0.98 (95% CI: 0.94-0.99)。结论:ELISA和Luminex检测武汉和JN.1抗原的敏感性和特异性相当,表明JN.1变异的突变对检测性能没有显著影响。这表明在不同的变异中保留了抗原识别。
本文章由计算机程序翻译,如有差异,请以英文原文为准。

Assessing the Impact of SARS-CoV-2 Spike Mutations on Antibody Binding: A Comparative Assessment of the Wuhan and JN.1 Variants' Full-Length Spikes in a Multiplex Luminex Assay.

Assessing the Impact of SARS-CoV-2 Spike Mutations on Antibody Binding: A Comparative Assessment of the Wuhan and JN.1 Variants' Full-Length Spikes in a Multiplex Luminex Assay.

Assessing the Impact of SARS-CoV-2 Spike Mutations on Antibody Binding: A Comparative Assessment of the Wuhan and JN.1 Variants' Full-Length Spikes in a Multiplex Luminex Assay.

Assessing the Impact of SARS-CoV-2 Spike Mutations on Antibody Binding: A Comparative Assessment of the Wuhan and JN.1 Variants' Full-Length Spikes in a Multiplex Luminex Assay.

Severe Acute Respiratory Syndrome Coronavirus 2 (SARS-CoV-2) continues to evolve, with mutations leading to the emergence of new variants. JN.1, a subvariant of omicron BA.2.86, has demonstrated marked immune escape and is now included in updated vaccine formulations. While reduced sensitivity has been reported for antibody assays using ancestral spike protein subunits to detect omicron-induced responses, the performance of full-length spike-based assays against omicron sublineages remains unclear. We aimed to compare the sensitivity of ELISA and Luminex assays using full-length spike proteins from the ancestral Wuhan strain and the JN.1 variant.

Methods: Wuhan and JN.1 full-length spike protein constructs were designed and expressed in Expi293F mammalian cells. In-house ELISAs based on previously validated protocols were used to measure anti-spike IgG levels. Additionally, a Luminex-based assay for anti-spike antibody detection was developed and validated. Both assays were applied to the following sample groups: pre-pandemic samples (designated "gold standard negatives"); PCR confirmed 2020 positives ("gold standard wildtype positives"); PCR confirmed 2024 positives ("gold standard omicron positives"); 2022 vaccinated individuals with verbal confirmed infection ("gold standard hybrid positives"); and 2024 household samples ("unknowns").

Results: Wuhan spike protein showed a sensitivity of 100% (95% CI: 0.88-1.0) in detecting omicron-specific antibodies using gold standard omicron positives with JN.1 spike protein as a reference assay. Overall, across all samples, in ELISA, the Wuhan antigen had a sensitivity of 0.93 (95% CI: 0.89-0.95) and a specificity of 0.98 (95% CI: 0.94-0.99). The JN.1 antigen showed a sensitivity of 0.91 (95% CI: 0.87-0.94) and a specificity of 0.97 (95% CI: 0.93-0.99). In Luminex, sensitivity was 0.95 (95% CI: 0.91-0.97) for Wuhan and 0.94 (95% CI: 0.91-0.96) for JN.1. Specificity for both antigens in Luminex was 0.98 (95% CI: 0.94-0.99).

Conclusions: Both ELISA and Luminex assays showed comparable sensitivity and specificity for both Wuhan and JN.1 antigens, indicating that mutations in the JN.1 variant do not significantly impact assay performance. This suggests preserved antigenic recognition across variants.

求助全文
通过发布文献求助,成功后即可免费获取论文全文。 去求助
来源期刊
Viruses-Basel
Viruses-Basel VIROLOGY-
CiteScore
7.30
自引率
12.80%
发文量
2445
审稿时长
1 months
期刊介绍: Viruses (ISSN 1999-4915) is an open access journal which provides an advanced forum for studies of viruses. It publishes reviews, regular research papers, communications, conference reports and short notes. Our aim is to encourage scientists to publish their experimental and theoretical results in as much detail as possible. There is no restriction on the length of the papers. The full experimental details must be provided so that the results can be reproduced. We also encourage the publication of timely reviews and commentaries on topics of interest to the virology community and feature highlights from the virology literature in the ''News and Views'' section. Electronic files or software regarding the full details of the calculation and experimental procedure, if unable to be published in a normal way, can be deposited as supplementary material.
×
引用
GB/T 7714-2015
复制
MLA
复制
APA
复制
导出至
BibTeX EndNote RefMan NoteFirst NoteExpress
×
提示
您的信息不完整,为了账户安全,请先补充。
现在去补充
×
提示
您因"违规操作"
具体请查看互助需知
我知道了
×
提示
确定
请完成安全验证×
copy
已复制链接
快去分享给好友吧!
我知道了
右上角分享
点击右上角分享
0
联系我们:info@booksci.cn Book学术提供免费学术资源搜索服务,方便国内外学者检索中英文文献。致力于提供最便捷和优质的服务体验。 Copyright © 2023 布克学术 All rights reserved.
京ICP备2023020795号-1
ghs 京公网安备 11010802042870号
Book学术文献互助
Book学术文献互助群
群 号:604180095
Book学术官方微信