康复对体弱老年人6分钟步行测试和住院时间的影响:随机对照试验的荟萃分析

3区 综合性期刊
María López-González, Celia Álvarez-Bueno, Beatriz Rodríguez-Martín, Patricia Lorenzo-García, Marta Carolina Ruiz-Grao, Susana Priego-Jiménez
{"title":"康复对体弱老年人6分钟步行测试和住院时间的影响:随机对照试验的荟萃分析","authors":"María López-González, Celia Álvarez-Bueno, Beatriz Rodríguez-Martín, Patricia Lorenzo-García, Marta Carolina Ruiz-Grao, Susana Priego-Jiménez","doi":"10.3390/ijerph22091381","DOIUrl":null,"url":null,"abstract":"<p><p>Frailty reduces resilience to surgical stress, increasing vulnerability to adverse outcomes. While recovery efforts traditionally focus on the postoperative phase, the preoperative period offers better opportunities for lifestyle interventions. Prehabilitation aims to increase functional reserve and surgical tolerance, especially in frail older adults. This systematic review and meta-analysis of randomized controlled trials (RCTs) evaluated the effectiveness of multimodal prehabilitation on aerobic capacity-measured by the 6 min walk test (6MWT)-and the length of hospital stay (LOS). A literature search was conducted up to August 2025. Eligible RCTs reported the effects of prehabilitation on functional capacity and LOS. A pairwise meta-analysis was used to calculate pooled mean differences (p-MDs) with 95% confidence intervals (CIs). The risk of bias was assessed via the Cochrane RoB tool, and evidence quality was assessed via the GRADE system. Five studies involving 400 participants were included. The p-MD for the 6MWT showed no significant improvement at any time point: (T1-T2) 9.71 (CI: -38.92; 58.36), (T2-T3) -3.27 (CI: -71.21; 64.65), and (T1-T3) 15.01 (CI: -22.05; 52.07). The LOS was also not significantly reduced (p-MD: -0.464, CI: -0.960; 0.031). Prehabilitation did not significantly improve aerobic capacity or reduce hospital stay. Future research should explore long-term benefits and adherence.</p>","PeriodicalId":49056,"journal":{"name":"International Journal of Environmental Research and Public Health","volume":"22 9","pages":""},"PeriodicalIF":0.0000,"publicationDate":"2025-09-03","publicationTypes":"Journal Article","fieldsOfStudy":null,"isOpenAccess":false,"openAccessPdf":"https://www.ncbi.nlm.nih.gov/pmc/articles/PMC12469502/pdf/","citationCount":"0","resultStr":"{\"title\":\"Effect of Prehabilitation on the 6-Minute Walk Test and Length of Hospital Stay in Frail Older People: A Meta-Analysis of Randomized Controlled Trials.\",\"authors\":\"María López-González, Celia Álvarez-Bueno, Beatriz Rodríguez-Martín, Patricia Lorenzo-García, Marta Carolina Ruiz-Grao, Susana Priego-Jiménez\",\"doi\":\"10.3390/ijerph22091381\",\"DOIUrl\":null,\"url\":null,\"abstract\":\"<p><p>Frailty reduces resilience to surgical stress, increasing vulnerability to adverse outcomes. While recovery efforts traditionally focus on the postoperative phase, the preoperative period offers better opportunities for lifestyle interventions. Prehabilitation aims to increase functional reserve and surgical tolerance, especially in frail older adults. This systematic review and meta-analysis of randomized controlled trials (RCTs) evaluated the effectiveness of multimodal prehabilitation on aerobic capacity-measured by the 6 min walk test (6MWT)-and the length of hospital stay (LOS). A literature search was conducted up to August 2025. Eligible RCTs reported the effects of prehabilitation on functional capacity and LOS. A pairwise meta-analysis was used to calculate pooled mean differences (p-MDs) with 95% confidence intervals (CIs). The risk of bias was assessed via the Cochrane RoB tool, and evidence quality was assessed via the GRADE system. Five studies involving 400 participants were included. The p-MD for the 6MWT showed no significant improvement at any time point: (T1-T2) 9.71 (CI: -38.92; 58.36), (T2-T3) -3.27 (CI: -71.21; 64.65), and (T1-T3) 15.01 (CI: -22.05; 52.07). The LOS was also not significantly reduced (p-MD: -0.464, CI: -0.960; 0.031). Prehabilitation did not significantly improve aerobic capacity or reduce hospital stay. Future research should explore long-term benefits and adherence.</p>\",\"PeriodicalId\":49056,\"journal\":{\"name\":\"International Journal of Environmental Research and Public Health\",\"volume\":\"22 9\",\"pages\":\"\"},\"PeriodicalIF\":0.0000,\"publicationDate\":\"2025-09-03\",\"publicationTypes\":\"Journal Article\",\"fieldsOfStudy\":null,\"isOpenAccess\":false,\"openAccessPdf\":\"https://www.ncbi.nlm.nih.gov/pmc/articles/PMC12469502/pdf/\",\"citationCount\":\"0\",\"resultStr\":null,\"platform\":\"Semanticscholar\",\"paperid\":null,\"PeriodicalName\":\"International Journal of Environmental Research and Public Health\",\"FirstCategoryId\":\"103\",\"ListUrlMain\":\"https://doi.org/10.3390/ijerph22091381\",\"RegionNum\":3,\"RegionCategory\":\"综合性期刊\",\"ArticlePicture\":[],\"TitleCN\":null,\"AbstractTextCN\":null,\"PMCID\":null,\"EPubDate\":\"\",\"PubModel\":\"\",\"JCR\":\"\",\"JCRName\":\"\",\"Score\":null,\"Total\":0}","platform":"Semanticscholar","paperid":null,"PeriodicalName":"International Journal of Environmental Research and Public Health","FirstCategoryId":"103","ListUrlMain":"https://doi.org/10.3390/ijerph22091381","RegionNum":3,"RegionCategory":"综合性期刊","ArticlePicture":[],"TitleCN":null,"AbstractTextCN":null,"PMCID":null,"EPubDate":"","PubModel":"","JCR":"","JCRName":"","Score":null,"Total":0}
引用次数: 0

摘要

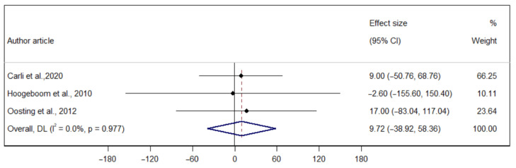
虚弱降低了对手术压力的适应能力,增加了对不良结果的脆弱性。虽然传统上的恢复工作主要集中在术后阶段,但术前阶段为生活方式干预提供了更好的机会。预康复的目的是增加功能储备和手术耐受性,特别是在体弱的老年人。本系统综述和随机对照试验(rct)的荟萃分析评估了多模式康复对有氧能力(通过6分钟步行试验(6MWT)测量)和住院时间(LOS)的有效性。文献检索截止到2025年8月。符合条件的随机对照试验报告了康复对功能能力和LOS的影响。两两荟萃分析采用95%置信区间(ci)计算合并平均差异(p-MDs)。通过Cochrane RoB工具评估偏倚风险,通过GRADE系统评估证据质量。包括五项涉及400名参与者的研究。6MWT的p-MD在任何时间点均无明显改善:T1-T2为9.71 (CI: -38.92; 58.36), T2-T3为-3.27 (CI: -71.21; 64.65), T1-T3为15.01 (CI: -22.05; 52.07)。LOS也没有显著降低(p-MD: -0.464, CI: -0.960; 0.031)。预康复没有显著提高有氧能力或缩短住院时间。未来的研究应该探索长期的益处和依从性。
本文章由计算机程序翻译,如有差异,请以英文原文为准。

Effect of Prehabilitation on the 6-Minute Walk Test and Length of Hospital Stay in Frail Older People: A Meta-Analysis of Randomized Controlled Trials.

Effect of Prehabilitation on the 6-Minute Walk Test and Length of Hospital Stay in Frail Older People: A Meta-Analysis of Randomized Controlled Trials.

Effect of Prehabilitation on the 6-Minute Walk Test and Length of Hospital Stay in Frail Older People: A Meta-Analysis of Randomized Controlled Trials.

Effect of Prehabilitation on the 6-Minute Walk Test and Length of Hospital Stay in Frail Older People: A Meta-Analysis of Randomized Controlled Trials.

Frailty reduces resilience to surgical stress, increasing vulnerability to adverse outcomes. While recovery efforts traditionally focus on the postoperative phase, the preoperative period offers better opportunities for lifestyle interventions. Prehabilitation aims to increase functional reserve and surgical tolerance, especially in frail older adults. This systematic review and meta-analysis of randomized controlled trials (RCTs) evaluated the effectiveness of multimodal prehabilitation on aerobic capacity-measured by the 6 min walk test (6MWT)-and the length of hospital stay (LOS). A literature search was conducted up to August 2025. Eligible RCTs reported the effects of prehabilitation on functional capacity and LOS. A pairwise meta-analysis was used to calculate pooled mean differences (p-MDs) with 95% confidence intervals (CIs). The risk of bias was assessed via the Cochrane RoB tool, and evidence quality was assessed via the GRADE system. Five studies involving 400 participants were included. The p-MD for the 6MWT showed no significant improvement at any time point: (T1-T2) 9.71 (CI: -38.92; 58.36), (T2-T3) -3.27 (CI: -71.21; 64.65), and (T1-T3) 15.01 (CI: -22.05; 52.07). The LOS was also not significantly reduced (p-MD: -0.464, CI: -0.960; 0.031). Prehabilitation did not significantly improve aerobic capacity or reduce hospital stay. Future research should explore long-term benefits and adherence.

求助全文
通过发布文献求助,成功后即可免费获取论文全文。 去求助
来源期刊
自引率
0.00%
发文量
14422
期刊介绍: International Journal of Environmental Research and Public Health (IJERPH) (ISSN 1660-4601) is a peer-reviewed scientific journal that publishes original articles, critical reviews, research notes, and short communications in the interdisciplinary area of environmental health sciences and public health. It links several scientific disciplines including biology, biochemistry, biotechnology, cellular and molecular biology, chemistry, computer science, ecology, engineering, epidemiology, genetics, immunology, microbiology, oncology, pathology, pharmacology, and toxicology, in an integrated fashion, to address critical issues related to environmental quality and public health. Therefore, IJERPH focuses on the publication of scientific and technical information on the impacts of natural phenomena and anthropogenic factors on the quality of our environment, the interrelationships between environmental health and the quality of life, as well as the socio-cultural, political, economic, and legal considerations related to environmental stewardship and public health. The 2018 IJERPH Outstanding Reviewer Award has been launched! This award acknowledge those who have generously dedicated their time to review manuscripts submitted to IJERPH. See full details at http://www.mdpi.com/journal/ijerph/awards.
×
引用
GB/T 7714-2015
复制
MLA
复制
APA
复制
导出至
BibTeX EndNote RefMan NoteFirst NoteExpress
×
提示
您的信息不完整,为了账户安全,请先补充。
现在去补充
×
提示
您因"违规操作"
具体请查看互助需知
我知道了
×
提示
确定
请完成安全验证×
copy
已复制链接
快去分享给好友吧!
我知道了
右上角分享
点击右上角分享
0
联系我们:info@booksci.cn Book学术提供免费学术资源搜索服务,方便国内外学者检索中英文文献。致力于提供最便捷和优质的服务体验。 Copyright © 2023 布克学术 All rights reserved.
京ICP备2023020795号-1
ghs 京公网安备 11010802042870号
Book学术文献互助
Book学术文献互助群
群 号:604180095
Book学术官方微信