在虚拟教室中使用不同电子设备时,姿势、颈部角度和身体不适的差异。

3区 综合性期刊
Roongnapa Intaruk, Praphatson Sengsoon
{"title":"在虚拟教室中使用不同电子设备时,姿势、颈部角度和身体不适的差异。","authors":"Roongnapa Intaruk, Praphatson Sengsoon","doi":"10.3390/ijerph22091418","DOIUrl":null,"url":null,"abstract":"<p><strong>Background: </strong>Prolonged use of electronic devices in virtual classrooms can influence posture, neck angle, and body discomfort. Recent evidence suggests that not only \"incorrect\" postures but also sustained static positions, regardless of being ergonomically correct, contribute to musculoskeletal strain. However, limited studies have directly compared posture and discomfort across different types of devices in a virtual classroom setting.</p><p><strong>Objective: </strong>To evaluate differences in posture, neck angle, and body discomfort among female university students during the use of three electronic devices (smartphone, tablet, notebook) in a virtual classroom for 20 min.</p><p><strong>Methods: </strong>Twenty-four healthy female participants (aged 18-23 years) completed three randomized sessions using a smartphone, tablet, or notebook in a virtual classroom task. Posture was assessed using the Rapid Upper Limb Assessment (RULA), neck angle was measured via motion analysis, and body discomfort was rated with a standardized visual analog scale. Statistical analyses were performed using repeated-measures ANOVA with Bonferroni correction, with effect sizes reported.</p><p><strong>Results: </strong>Significant differences were observed in posture (RULA scores: smartphone 5.12 ± 1.26; tablet 4.62 ± 1.35; notebook 4.21 ± 1.32, <i>p</i> < 0.05), neck angle (smartphone 32.48 ± 11.81 and tablet 36.93 ± 7.97, <i>p</i> > 0.05; notebook 39.30 ± 7.82, <i>p</i> > 0.05), and body discomfort of all regions (VAS: smartphone 1.08 ± 1.69; tablet 1.06 ± 1.75; notebook 1.01 ± 1.66, <i>p</i> < 0.05). Although all devices induced discomfort after 20 min of sustained posture, the smartphone condition showed the greatest neck flexion and discomfort.</p><p><strong>Conclusion: </strong>This study demonstrates that sustained posture during virtual classroom activities leads to increased neck angle deviation and body discomfort, with device type influencing the magnitude of these effects. These findings highlight the importance of postural variability and active breaks, rather than relying solely on maintaining a \"correct\" posture, to reduce musculoskeletal strain in technology-based learning environments.</p>","PeriodicalId":49056,"journal":{"name":"International Journal of Environmental Research and Public Health","volume":"22 9","pages":""},"PeriodicalIF":0.0000,"publicationDate":"2025-09-11","publicationTypes":"Journal Article","fieldsOfStudy":null,"isOpenAccess":false,"openAccessPdf":"https://www.ncbi.nlm.nih.gov/pmc/articles/PMC12469765/pdf/","citationCount":"0","resultStr":"{\"title\":\"Differences in Posture, Neck Angle, and Body Discomfort During Various Electronic Device Usage with Virtual Classroom.\",\"authors\":\"Roongnapa Intaruk, Praphatson Sengsoon\",\"doi\":\"10.3390/ijerph22091418\",\"DOIUrl\":null,\"url\":null,\"abstract\":\"<p><strong>Background: </strong>Prolonged use of electronic devices in virtual classrooms can influence posture, neck angle, and body discomfort. Recent evidence suggests that not only \\\"incorrect\\\" postures but also sustained static positions, regardless of being ergonomically correct, contribute to musculoskeletal strain. However, limited studies have directly compared posture and discomfort across different types of devices in a virtual classroom setting.</p><p><strong>Objective: </strong>To evaluate differences in posture, neck angle, and body discomfort among female university students during the use of three electronic devices (smartphone, tablet, notebook) in a virtual classroom for 20 min.</p><p><strong>Methods: </strong>Twenty-four healthy female participants (aged 18-23 years) completed three randomized sessions using a smartphone, tablet, or notebook in a virtual classroom task. Posture was assessed using the Rapid Upper Limb Assessment (RULA), neck angle was measured via motion analysis, and body discomfort was rated with a standardized visual analog scale. Statistical analyses were performed using repeated-measures ANOVA with Bonferroni correction, with effect sizes reported.</p><p><strong>Results: </strong>Significant differences were observed in posture (RULA scores: smartphone 5.12 ± 1.26; tablet 4.62 ± 1.35; notebook 4.21 ± 1.32, <i>p</i> < 0.05), neck angle (smartphone 32.48 ± 11.81 and tablet 36.93 ± 7.97, <i>p</i> > 0.05; notebook 39.30 ± 7.82, <i>p</i> > 0.05), and body discomfort of all regions (VAS: smartphone 1.08 ± 1.69; tablet 1.06 ± 1.75; notebook 1.01 ± 1.66, <i>p</i> < 0.05). Although all devices induced discomfort after 20 min of sustained posture, the smartphone condition showed the greatest neck flexion and discomfort.</p><p><strong>Conclusion: </strong>This study demonstrates that sustained posture during virtual classroom activities leads to increased neck angle deviation and body discomfort, with device type influencing the magnitude of these effects. These findings highlight the importance of postural variability and active breaks, rather than relying solely on maintaining a \\\"correct\\\" posture, to reduce musculoskeletal strain in technology-based learning environments.</p>\",\"PeriodicalId\":49056,\"journal\":{\"name\":\"International Journal of Environmental Research and Public Health\",\"volume\":\"22 9\",\"pages\":\"\"},\"PeriodicalIF\":0.0000,\"publicationDate\":\"2025-09-11\",\"publicationTypes\":\"Journal Article\",\"fieldsOfStudy\":null,\"isOpenAccess\":false,\"openAccessPdf\":\"https://www.ncbi.nlm.nih.gov/pmc/articles/PMC12469765/pdf/\",\"citationCount\":\"0\",\"resultStr\":null,\"platform\":\"Semanticscholar\",\"paperid\":null,\"PeriodicalName\":\"International Journal of Environmental Research and Public Health\",\"FirstCategoryId\":\"103\",\"ListUrlMain\":\"https://doi.org/10.3390/ijerph22091418\",\"RegionNum\":3,\"RegionCategory\":\"综合性期刊\",\"ArticlePicture\":[],\"TitleCN\":null,\"AbstractTextCN\":null,\"PMCID\":null,\"EPubDate\":\"\",\"PubModel\":\"\",\"JCR\":\"\",\"JCRName\":\"\",\"Score\":null,\"Total\":0}","platform":"Semanticscholar","paperid":null,"PeriodicalName":"International Journal of Environmental Research and Public Health","FirstCategoryId":"103","ListUrlMain":"https://doi.org/10.3390/ijerph22091418","RegionNum":3,"RegionCategory":"综合性期刊","ArticlePicture":[],"TitleCN":null,"AbstractTextCN":null,"PMCID":null,"EPubDate":"","PubModel":"","JCR":"","JCRName":"","Score":null,"Total":0}
引用次数: 0

摘要

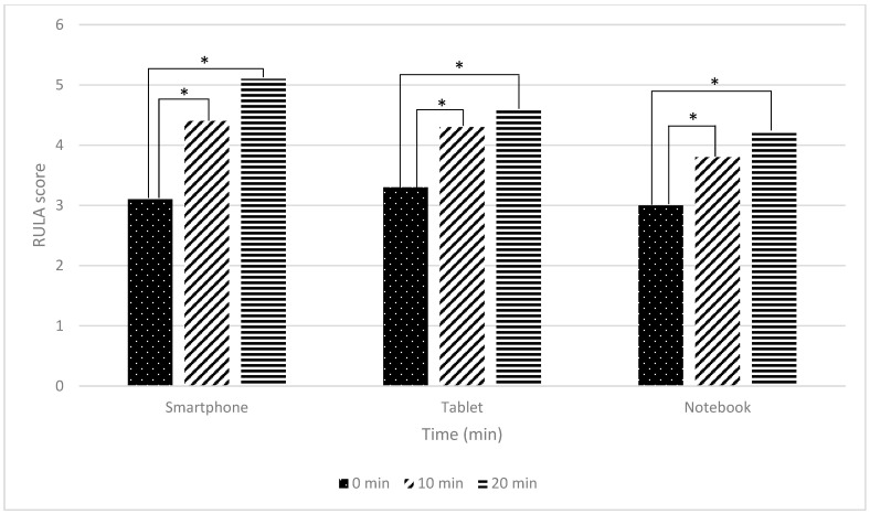
背景:在虚拟教室中长时间使用电子设备会影响姿势、颈部角度和身体不适。最近的证据表明,不仅“不正确”的姿势,而且持续的静态姿势,无论是否符合人体工程学,都会导致肌肉骨骼紧张。然而,有限的研究直接比较了虚拟教室中不同类型设备的姿势和不适。目的:评价女大学生在虚拟教室中使用智能手机、平板电脑、笔记本电脑三种电子设备20分钟时体态、颈部角度及身体不适的差异。方法:24名健康女性参与者(18-23岁)在虚拟课堂任务中使用智能手机、平板电脑或笔记本电脑完成了三个随机会话。采用快速上肢评估(RULA)评估姿态,通过运动分析测量颈部角度,采用标准化视觉模拟量表评定身体不适。采用Bonferroni校正的重复测量方差分析进行统计分析,并报告了效应量。结果:各部位的体位(RULA评分:智能手机5.12±1.26,平板电脑4.62±1.35,笔记本电脑4.21±1.32,p < 0.05)、颈部角度(智能手机32.48±11.81,平板电脑36.93±7.97,p > 0.05;笔记本电脑39.30±7.82,p > 0.05)、身体不适(VAS:智能手机1.08±1.69,平板电脑1.06±1.75,笔记本电脑1.01±1.66,p < 0.05)差异均有统计学意义。尽管所有设备在持续20分钟的姿势后都会引起不适,但智能手机状态显示出最大的颈部弯曲和不适。结论:本研究表明,在虚拟课堂活动中,持续的姿势会导致颈部角度偏差和身体不适的增加,而设备类型会影响这些影响的程度。这些发现强调了姿势变化和主动休息的重要性,而不是仅仅依靠保持“正确”的姿势,以减少基于技术的学习环境中肌肉骨骼的紧张。
本文章由计算机程序翻译,如有差异,请以英文原文为准。

Differences in Posture, Neck Angle, and Body Discomfort During Various Electronic Device Usage with Virtual Classroom.

Differences in Posture, Neck Angle, and Body Discomfort During Various Electronic Device Usage with Virtual Classroom.

Differences in Posture, Neck Angle, and Body Discomfort During Various Electronic Device Usage with Virtual Classroom.

Differences in Posture, Neck Angle, and Body Discomfort During Various Electronic Device Usage with Virtual Classroom.

Background: Prolonged use of electronic devices in virtual classrooms can influence posture, neck angle, and body discomfort. Recent evidence suggests that not only "incorrect" postures but also sustained static positions, regardless of being ergonomically correct, contribute to musculoskeletal strain. However, limited studies have directly compared posture and discomfort across different types of devices in a virtual classroom setting.

Objective: To evaluate differences in posture, neck angle, and body discomfort among female university students during the use of three electronic devices (smartphone, tablet, notebook) in a virtual classroom for 20 min.

Methods: Twenty-four healthy female participants (aged 18-23 years) completed three randomized sessions using a smartphone, tablet, or notebook in a virtual classroom task. Posture was assessed using the Rapid Upper Limb Assessment (RULA), neck angle was measured via motion analysis, and body discomfort was rated with a standardized visual analog scale. Statistical analyses were performed using repeated-measures ANOVA with Bonferroni correction, with effect sizes reported.

Results: Significant differences were observed in posture (RULA scores: smartphone 5.12 ± 1.26; tablet 4.62 ± 1.35; notebook 4.21 ± 1.32, p < 0.05), neck angle (smartphone 32.48 ± 11.81 and tablet 36.93 ± 7.97, p > 0.05; notebook 39.30 ± 7.82, p > 0.05), and body discomfort of all regions (VAS: smartphone 1.08 ± 1.69; tablet 1.06 ± 1.75; notebook 1.01 ± 1.66, p < 0.05). Although all devices induced discomfort after 20 min of sustained posture, the smartphone condition showed the greatest neck flexion and discomfort.

Conclusion: This study demonstrates that sustained posture during virtual classroom activities leads to increased neck angle deviation and body discomfort, with device type influencing the magnitude of these effects. These findings highlight the importance of postural variability and active breaks, rather than relying solely on maintaining a "correct" posture, to reduce musculoskeletal strain in technology-based learning environments.

求助全文
通过发布文献求助,成功后即可免费获取论文全文。 去求助
来源期刊
自引率
0.00%
发文量
14422
期刊介绍: International Journal of Environmental Research and Public Health (IJERPH) (ISSN 1660-4601) is a peer-reviewed scientific journal that publishes original articles, critical reviews, research notes, and short communications in the interdisciplinary area of environmental health sciences and public health. It links several scientific disciplines including biology, biochemistry, biotechnology, cellular and molecular biology, chemistry, computer science, ecology, engineering, epidemiology, genetics, immunology, microbiology, oncology, pathology, pharmacology, and toxicology, in an integrated fashion, to address critical issues related to environmental quality and public health. Therefore, IJERPH focuses on the publication of scientific and technical information on the impacts of natural phenomena and anthropogenic factors on the quality of our environment, the interrelationships between environmental health and the quality of life, as well as the socio-cultural, political, economic, and legal considerations related to environmental stewardship and public health. The 2018 IJERPH Outstanding Reviewer Award has been launched! This award acknowledge those who have generously dedicated their time to review manuscripts submitted to IJERPH. See full details at http://www.mdpi.com/journal/ijerph/awards.
×
引用
GB/T 7714-2015
复制
MLA
复制
APA
复制
导出至
BibTeX EndNote RefMan NoteFirst NoteExpress
×
提示
您的信息不完整,为了账户安全,请先补充。
现在去补充
×
提示
您因"违规操作"
具体请查看互助需知
我知道了
×
提示
确定
请完成安全验证×
copy
已复制链接
快去分享给好友吧!
我知道了
右上角分享
点击右上角分享
0
联系我们:info@booksci.cn Book学术提供免费学术资源搜索服务,方便国内外学者检索中英文文献。致力于提供最便捷和优质的服务体验。 Copyright © 2023 布克学术 All rights reserved.
京ICP备2023020795号-1
ghs 京公网安备 11010802042870号
Book学术文献互助
Book学术文献互助群
群 号:604180095
Book学术官方微信