FDG-PET/CT在儿童急性白血病中的独特骨髓表现:与炎性疾病的比较

IF 2.1 4区 医学 Q2 PEDIATRICS
Yuta Suenaga, Kazuo Kubota, Motohiro Matsui, Atsushi Makimoto, Junko Yamanaka, Shinji Mochizuki, Masatoshi Hotta, Miyako Morooka Chikanishi, Hiroyuki Shichino
{"title":"FDG-PET/CT在儿童急性白血病中的独特骨髓表现:与炎性疾病的比较","authors":"Yuta Suenaga, Kazuo Kubota, Motohiro Matsui, Atsushi Makimoto, Junko Yamanaka, Shinji Mochizuki, Masatoshi Hotta, Miyako Morooka Chikanishi, Hiroyuki Shichino","doi":"10.3390/children12091218","DOIUrl":null,"url":null,"abstract":"<p><p><b>Background/Objectives:</b> Fluorine-18 fluorodeoxyglucose positron emission tomography/computed tomography (FDG-PET/CT) is a valuable imaging modality for detecting malignancies and diagnosing fever of unknown origin (FUO). However, data regarding FDG accumulation in bone marrow among pediatric acute leukemia (AL) cases are limited. In this study, we aimed to compare FDG-PET/CT findings between children with AL and those with inflammatory diseases (IDs), including FUO, and develop a scoring system for differential diagnoses. <b>Methods:</b> We retrospectively analyzed FDG-PET/CT findings in six children with AL and 22 with IDs. The maximum standardized uptake value (SUV max), visual score (VS), and spread score (SS) were evaluated across various bone marrow sites, including vertebrae, pelvic bone, humerus, forearm, and femur. Statistical analysis consisted of Mann-Whitney U test for group comparisons and receiver operating characteristic curve (ROC)/area under the curve (AUC) analyses to assess diagnostic performance. <b>Results:</b> SUV max, VS, and SS were significantly higher in children with AL across all evaluated sites. The combined VS + SS scoring system yielded the highest diagnostic accuracy. A simplified version using only the VS of the middle humerus and femur plus the SS showed comparable effectiveness. <b>Conclusions:</b> FDG-PET/CT in children with AL showed high FDG accumulation in bone marrow areas in the whole body. The simple scoring system, which comprises FDG accumulation in the middle portion of the extremities and the whole body, appears to be helpful in distinguishing AL from IDs in children. FDG-PET/CT-based visual scoring may provide supportive information alongside conventional diagnostics in pediatric acute leukemia.</p>","PeriodicalId":48588,"journal":{"name":"Children-Basel","volume":"12 9","pages":""},"PeriodicalIF":2.1000,"publicationDate":"2025-09-11","publicationTypes":"Journal Article","fieldsOfStudy":null,"isOpenAccess":false,"openAccessPdf":"https://www.ncbi.nlm.nih.gov/pmc/articles/PMC12468208/pdf/","citationCount":"0","resultStr":"{\"title\":\"Unique Bone Marrow Findings of FDG-PET/CT in Acute Leukemia in Children: Comparison to Inflammatory Diseases.\",\"authors\":\"Yuta Suenaga, Kazuo Kubota, Motohiro Matsui, Atsushi Makimoto, Junko Yamanaka, Shinji Mochizuki, Masatoshi Hotta, Miyako Morooka Chikanishi, Hiroyuki Shichino\",\"doi\":\"10.3390/children12091218\",\"DOIUrl\":null,\"url\":null,\"abstract\":\"<p><p><b>Background/Objectives:</b> Fluorine-18 fluorodeoxyglucose positron emission tomography/computed tomography (FDG-PET/CT) is a valuable imaging modality for detecting malignancies and diagnosing fever of unknown origin (FUO). However, data regarding FDG accumulation in bone marrow among pediatric acute leukemia (AL) cases are limited. In this study, we aimed to compare FDG-PET/CT findings between children with AL and those with inflammatory diseases (IDs), including FUO, and develop a scoring system for differential diagnoses. <b>Methods:</b> We retrospectively analyzed FDG-PET/CT findings in six children with AL and 22 with IDs. The maximum standardized uptake value (SUV max), visual score (VS), and spread score (SS) were evaluated across various bone marrow sites, including vertebrae, pelvic bone, humerus, forearm, and femur. Statistical analysis consisted of Mann-Whitney U test for group comparisons and receiver operating characteristic curve (ROC)/area under the curve (AUC) analyses to assess diagnostic performance. <b>Results:</b> SUV max, VS, and SS were significantly higher in children with AL across all evaluated sites. The combined VS + SS scoring system yielded the highest diagnostic accuracy. A simplified version using only the VS of the middle humerus and femur plus the SS showed comparable effectiveness. <b>Conclusions:</b> FDG-PET/CT in children with AL showed high FDG accumulation in bone marrow areas in the whole body. The simple scoring system, which comprises FDG accumulation in the middle portion of the extremities and the whole body, appears to be helpful in distinguishing AL from IDs in children. FDG-PET/CT-based visual scoring may provide supportive information alongside conventional diagnostics in pediatric acute leukemia.</p>\",\"PeriodicalId\":48588,\"journal\":{\"name\":\"Children-Basel\",\"volume\":\"12 9\",\"pages\":\"\"},\"PeriodicalIF\":2.1000,\"publicationDate\":\"2025-09-11\",\"publicationTypes\":\"Journal Article\",\"fieldsOfStudy\":null,\"isOpenAccess\":false,\"openAccessPdf\":\"https://www.ncbi.nlm.nih.gov/pmc/articles/PMC12468208/pdf/\",\"citationCount\":\"0\",\"resultStr\":null,\"platform\":\"Semanticscholar\",\"paperid\":null,\"PeriodicalName\":\"Children-Basel\",\"FirstCategoryId\":\"3\",\"ListUrlMain\":\"https://doi.org/10.3390/children12091218\",\"RegionNum\":4,\"RegionCategory\":\"医学\",\"ArticlePicture\":[],\"TitleCN\":null,\"AbstractTextCN\":null,\"PMCID\":null,\"EPubDate\":\"\",\"PubModel\":\"\",\"JCR\":\"Q2\",\"JCRName\":\"PEDIATRICS\",\"Score\":null,\"Total\":0}","platform":"Semanticscholar","paperid":null,"PeriodicalName":"Children-Basel","FirstCategoryId":"3","ListUrlMain":"https://doi.org/10.3390/children12091218","RegionNum":4,"RegionCategory":"医学","ArticlePicture":[],"TitleCN":null,"AbstractTextCN":null,"PMCID":null,"EPubDate":"","PubModel":"","JCR":"Q2","JCRName":"PEDIATRICS","Score":null,"Total":0}
引用次数: 0

摘要

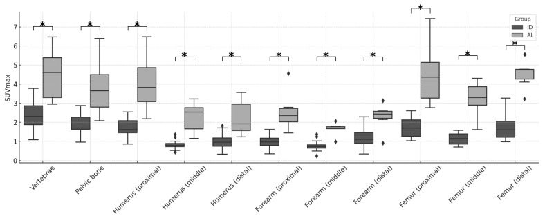
背景/目的:氟-18氟脱氧葡萄糖正电子发射断层扫描/计算机断层扫描(FDG-PET/CT)是检测恶性肿瘤和诊断不明原因发热(FUO)的一种有价值的成像方式。然而,关于儿童急性白血病(AL)病例骨髓中FDG积累的数据有限。在这项研究中,我们旨在比较AL患儿和炎性疾病(包括FUO)患儿的FDG-PET/CT表现,并建立一个用于鉴别诊断的评分系统。方法:回顾性分析6例AL患儿和22例id患儿的FDG-PET/CT表现。最大标准化摄取值(SUV max)、视觉评分(VS)和扩散评分(SS)在不同的骨髓部位进行评估,包括椎骨、骨盆骨、肱骨、前臂和股骨。统计分析采用Mann-Whitney U检验进行组间比较,采用受试者工作特征曲线(ROC)/曲线下面积(AUC)分析评估诊断效果。结果:在所有评估部位,AL患儿的SUV max、VS和SS均显著升高。VS + SS联合评分系统的诊断准确率最高。简化版本仅使用肱骨中部和股骨的VS加上SS显示出相当的效果。结论:AL患儿FDG- pet /CT显示FDG在全身骨髓区域高蓄积。简单的评分系统,包括四肢中部和全身的FDG积累,似乎有助于区分儿童AL和id。基于FDG-PET/ ct的视觉评分可以为儿童急性白血病的常规诊断提供支持性信息。
本文章由计算机程序翻译,如有差异,请以英文原文为准。

Unique Bone Marrow Findings of FDG-PET/CT in Acute Leukemia in Children: Comparison to Inflammatory Diseases.

Unique Bone Marrow Findings of FDG-PET/CT in Acute Leukemia in Children: Comparison to Inflammatory Diseases.

Unique Bone Marrow Findings of FDG-PET/CT in Acute Leukemia in Children: Comparison to Inflammatory Diseases.

Unique Bone Marrow Findings of FDG-PET/CT in Acute Leukemia in Children: Comparison to Inflammatory Diseases.

Background/Objectives: Fluorine-18 fluorodeoxyglucose positron emission tomography/computed tomography (FDG-PET/CT) is a valuable imaging modality for detecting malignancies and diagnosing fever of unknown origin (FUO). However, data regarding FDG accumulation in bone marrow among pediatric acute leukemia (AL) cases are limited. In this study, we aimed to compare FDG-PET/CT findings between children with AL and those with inflammatory diseases (IDs), including FUO, and develop a scoring system for differential diagnoses. Methods: We retrospectively analyzed FDG-PET/CT findings in six children with AL and 22 with IDs. The maximum standardized uptake value (SUV max), visual score (VS), and spread score (SS) were evaluated across various bone marrow sites, including vertebrae, pelvic bone, humerus, forearm, and femur. Statistical analysis consisted of Mann-Whitney U test for group comparisons and receiver operating characteristic curve (ROC)/area under the curve (AUC) analyses to assess diagnostic performance. Results: SUV max, VS, and SS were significantly higher in children with AL across all evaluated sites. The combined VS + SS scoring system yielded the highest diagnostic accuracy. A simplified version using only the VS of the middle humerus and femur plus the SS showed comparable effectiveness. Conclusions: FDG-PET/CT in children with AL showed high FDG accumulation in bone marrow areas in the whole body. The simple scoring system, which comprises FDG accumulation in the middle portion of the extremities and the whole body, appears to be helpful in distinguishing AL from IDs in children. FDG-PET/CT-based visual scoring may provide supportive information alongside conventional diagnostics in pediatric acute leukemia.

求助全文
通过发布文献求助,成功后即可免费获取论文全文。 去求助
来源期刊
Children-Basel
Children-Basel PEDIATRICS-
CiteScore
2.70
自引率
16.70%
发文量
1735
审稿时长
6 weeks
期刊介绍: Children is an international, open access journal dedicated to a streamlined, yet scientifically rigorous, dissemination of peer-reviewed science related to childhood health and disease in developed and developing countries. The publication focuses on sharing clinical, epidemiological and translational science relevant to children’s health. Moreover, the primary goals of the publication are to highlight under‑represented pediatric disciplines, to emphasize interdisciplinary research and to disseminate advances in knowledge in global child health. In addition to original research, the journal publishes expert editorials and commentaries, clinical case reports, and insightful communications reflecting the latest developments in pediatric medicine. By publishing meritorious articles as soon as the editorial review process is completed, rather than at predefined intervals, Children also permits rapid open access sharing of new information, allowing us to reach the broadest audience in the most expedient fashion.
×
引用
GB/T 7714-2015
复制
MLA
复制
APA
复制
导出至
BibTeX EndNote RefMan NoteFirst NoteExpress
×
提示
您的信息不完整,为了账户安全,请先补充。
现在去补充
×
提示
您因"违规操作"
具体请查看互助需知
我知道了
×
提示
确定
请完成安全验证×
copy
已复制链接
快去分享给好友吧!
我知道了
右上角分享
点击右上角分享
0
联系我们:info@booksci.cn Book学术提供免费学术资源搜索服务,方便国内外学者检索中英文文献。致力于提供最便捷和优质的服务体验。 Copyright © 2023 布克学术 All rights reserved.
京ICP备2023020795号-1
ghs 京公网安备 11010802042870号
Book学术文献互助
Book学术文献互助群
群 号:604180095
Book学术官方微信