社交媒体参与和使用模式,心理健康共病,共情措施在意大利青少年样本:一项比较研究。

IF 2.1 4区 医学 Q2 PEDIATRICS
Ilaria Accorinti, Giulia Mutti, Pamela Fantozzi, Annarita Milone, Gianluca Sesso, Greta Tolomei, Elena Valente, Antonio Narzisi, Edoardo Martinelli, Maria Rosaria Cordella, Gabriele Masi, Stefano Berloffa
{"title":"社交媒体参与和使用模式,心理健康共病,共情措施在意大利青少年样本:一项比较研究。","authors":"Ilaria Accorinti, Giulia Mutti, Pamela Fantozzi, Annarita Milone, Gianluca Sesso, Greta Tolomei, Elena Valente, Antonio Narzisi, Edoardo Martinelli, Maria Rosaria Cordella, Gabriele Masi, Stefano Berloffa","doi":"10.3390/children12091226","DOIUrl":null,"url":null,"abstract":"<p><strong>Background: </strong>The link between problematic social media (SM) use and socio-emotional deficits has limited clinical evidence. This study compares SM addiction risk and empathic abilities between psychiatric outpatients and healthy peers, exploring how SM categories and/or diagnostic category may modulate these relations.</p><p><strong>Methods: </strong>A total of 362 Italian adolescents (11-18 years; 147 cases, 215 controls) completed the Social-Media Disorder Scale (SOMEDIS), Bergen Social-Media Addiction Scale (BSMAS), Interpersonal Reactivity Index (IRI), and Reading the Mind in the Eyes test (RME). Self-reported daily online time and most used social media platforms were recorded.</p><p><strong>Results: </strong>Clinical participants showed higher mean SOMEDIS (M = 18.37) and BSMAS scores (M = 11.71) compared with controls (both <i>p</i> < 0.001). Females reported longer daily SM use (χ<sup>2</sup> = 5.4, <i>p</i> = 0.020). Positive associations were observed between SM addiction risk and age. Within the clinical group, adolescents with emotional dysregulation displayed higher problematic use scores; a modest correlation emerged with internalizing symptoms (withdrawn-depression). Regarding empathy, higher SM addiction risk correlated with lower cognitive empathy (IRI Perspective Taking, Fantasy) and higher Personal Distress. Platform type showed small differences: users of \"Profiling\" platforms reported lower empathy scores compared to \"Entertainment\" users.</p><p><strong>Conclusions: </strong>Adolescents with psychiatric conditions appear more vulnerable to problematic SM use and reduced empathic abilities. Associations were modest, and platform effects were limited. These findings should be considered exploratory; larger longitudinal studies are needed to clarify causal pathways between SM use, empathy, and adolescent mental health.</p>","PeriodicalId":48588,"journal":{"name":"Children-Basel","volume":"12 9","pages":""},"PeriodicalIF":2.1000,"publicationDate":"2025-09-13","publicationTypes":"Journal Article","fieldsOfStudy":null,"isOpenAccess":false,"openAccessPdf":"https://www.ncbi.nlm.nih.gov/pmc/articles/PMC12469058/pdf/","citationCount":"0","resultStr":"{\"title\":\"Social Media Engagement and Usage Patterns, Mental Health Comorbidities, and Empathic Measures in an Italian Adolescent Sample: A Comparative Study.\",\"authors\":\"Ilaria Accorinti, Giulia Mutti, Pamela Fantozzi, Annarita Milone, Gianluca Sesso, Greta Tolomei, Elena Valente, Antonio Narzisi, Edoardo Martinelli, Maria Rosaria Cordella, Gabriele Masi, Stefano Berloffa\",\"doi\":\"10.3390/children12091226\",\"DOIUrl\":null,\"url\":null,\"abstract\":\"<p><strong>Background: </strong>The link between problematic social media (SM) use and socio-emotional deficits has limited clinical evidence. This study compares SM addiction risk and empathic abilities between psychiatric outpatients and healthy peers, exploring how SM categories and/or diagnostic category may modulate these relations.</p><p><strong>Methods: </strong>A total of 362 Italian adolescents (11-18 years; 147 cases, 215 controls) completed the Social-Media Disorder Scale (SOMEDIS), Bergen Social-Media Addiction Scale (BSMAS), Interpersonal Reactivity Index (IRI), and Reading the Mind in the Eyes test (RME). Self-reported daily online time and most used social media platforms were recorded.</p><p><strong>Results: </strong>Clinical participants showed higher mean SOMEDIS (M = 18.37) and BSMAS scores (M = 11.71) compared with controls (both <i>p</i> < 0.001). Females reported longer daily SM use (χ<sup>2</sup> = 5.4, <i>p</i> = 0.020). Positive associations were observed between SM addiction risk and age. Within the clinical group, adolescents with emotional dysregulation displayed higher problematic use scores; a modest correlation emerged with internalizing symptoms (withdrawn-depression). Regarding empathy, higher SM addiction risk correlated with lower cognitive empathy (IRI Perspective Taking, Fantasy) and higher Personal Distress. Platform type showed small differences: users of \\\"Profiling\\\" platforms reported lower empathy scores compared to \\\"Entertainment\\\" users.</p><p><strong>Conclusions: </strong>Adolescents with psychiatric conditions appear more vulnerable to problematic SM use and reduced empathic abilities. Associations were modest, and platform effects were limited. These findings should be considered exploratory; larger longitudinal studies are needed to clarify causal pathways between SM use, empathy, and adolescent mental health.</p>\",\"PeriodicalId\":48588,\"journal\":{\"name\":\"Children-Basel\",\"volume\":\"12 9\",\"pages\":\"\"},\"PeriodicalIF\":2.1000,\"publicationDate\":\"2025-09-13\",\"publicationTypes\":\"Journal Article\",\"fieldsOfStudy\":null,\"isOpenAccess\":false,\"openAccessPdf\":\"https://www.ncbi.nlm.nih.gov/pmc/articles/PMC12469058/pdf/\",\"citationCount\":\"0\",\"resultStr\":null,\"platform\":\"Semanticscholar\",\"paperid\":null,\"PeriodicalName\":\"Children-Basel\",\"FirstCategoryId\":\"3\",\"ListUrlMain\":\"https://doi.org/10.3390/children12091226\",\"RegionNum\":4,\"RegionCategory\":\"医学\",\"ArticlePicture\":[],\"TitleCN\":null,\"AbstractTextCN\":null,\"PMCID\":null,\"EPubDate\":\"\",\"PubModel\":\"\",\"JCR\":\"Q2\",\"JCRName\":\"PEDIATRICS\",\"Score\":null,\"Total\":0}","platform":"Semanticscholar","paperid":null,"PeriodicalName":"Children-Basel","FirstCategoryId":"3","ListUrlMain":"https://doi.org/10.3390/children12091226","RegionNum":4,"RegionCategory":"医学","ArticlePicture":[],"TitleCN":null,"AbstractTextCN":null,"PMCID":null,"EPubDate":"","PubModel":"","JCR":"Q2","JCRName":"PEDIATRICS","Score":null,"Total":0}
引用次数: 0

摘要

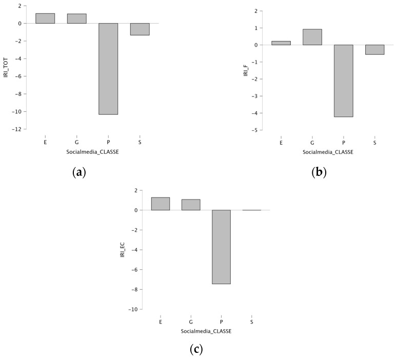
背景:有问题的社交媒体(SM)使用与社会情感缺陷之间的联系临床证据有限。本研究比较了精神科门诊患者和健康同伴的SM成瘾风险和共情能力,探讨SM类别和/或诊断类别如何调节这些关系。方法:对362名意大利青少年(11-18岁,147例,215例对照)进行社交媒体障碍量表(SOMEDIS)、卑尔根社交媒体成瘾量表(BSMAS)、人际反应指数(IRI)和眼读心术测试(RME)。记录了自我报告的每日在线时间和使用最多的社交媒体平台。结果:临床参与者的平均SOMEDIS评分(M = 18.37)和BSMAS评分(M = 11.71)均高于对照组(p均< 0.001)。女性每天使用SM的时间较长(χ2 = 5.4, p = 0.020)。SM成瘾风险与年龄呈正相关。在临床组中,情绪失调的青少年表现出更高的问题使用得分;与内化症状(脱瘾抑郁)存在适度的相关性。同理心方面,较高的SM成瘾风险与较低的认知同理心(IRI视角、幻想)和较高的个人痛苦相关。平台类型显示出微小的差异:与“娱乐”用户相比,“剖析”平台的用户报告的共情得分较低。结论:有精神疾病的青少年更容易出现问题性SM使用和共情能力下降。相关性不大,平台效应有限。这些发现应该被认为是探索性的;需要更大规模的纵向研究来阐明SM使用、共情和青少年心理健康之间的因果关系。
本文章由计算机程序翻译,如有差异,请以英文原文为准。

Social Media Engagement and Usage Patterns, Mental Health Comorbidities, and Empathic Measures in an Italian Adolescent Sample: A Comparative Study.

Social Media Engagement and Usage Patterns, Mental Health Comorbidities, and Empathic Measures in an Italian Adolescent Sample: A Comparative Study.

Social Media Engagement and Usage Patterns, Mental Health Comorbidities, and Empathic Measures in an Italian Adolescent Sample: A Comparative Study.

Social Media Engagement and Usage Patterns, Mental Health Comorbidities, and Empathic Measures in an Italian Adolescent Sample: A Comparative Study.

Background: The link between problematic social media (SM) use and socio-emotional deficits has limited clinical evidence. This study compares SM addiction risk and empathic abilities between psychiatric outpatients and healthy peers, exploring how SM categories and/or diagnostic category may modulate these relations.

Methods: A total of 362 Italian adolescents (11-18 years; 147 cases, 215 controls) completed the Social-Media Disorder Scale (SOMEDIS), Bergen Social-Media Addiction Scale (BSMAS), Interpersonal Reactivity Index (IRI), and Reading the Mind in the Eyes test (RME). Self-reported daily online time and most used social media platforms were recorded.

Results: Clinical participants showed higher mean SOMEDIS (M = 18.37) and BSMAS scores (M = 11.71) compared with controls (both p < 0.001). Females reported longer daily SM use (χ2 = 5.4, p = 0.020). Positive associations were observed between SM addiction risk and age. Within the clinical group, adolescents with emotional dysregulation displayed higher problematic use scores; a modest correlation emerged with internalizing symptoms (withdrawn-depression). Regarding empathy, higher SM addiction risk correlated with lower cognitive empathy (IRI Perspective Taking, Fantasy) and higher Personal Distress. Platform type showed small differences: users of "Profiling" platforms reported lower empathy scores compared to "Entertainment" users.

Conclusions: Adolescents with psychiatric conditions appear more vulnerable to problematic SM use and reduced empathic abilities. Associations were modest, and platform effects were limited. These findings should be considered exploratory; larger longitudinal studies are needed to clarify causal pathways between SM use, empathy, and adolescent mental health.

求助全文
通过发布文献求助,成功后即可免费获取论文全文。 去求助
来源期刊
Children-Basel
Children-Basel PEDIATRICS-
CiteScore
2.70
自引率
16.70%
发文量
1735
审稿时长
6 weeks
期刊介绍: Children is an international, open access journal dedicated to a streamlined, yet scientifically rigorous, dissemination of peer-reviewed science related to childhood health and disease in developed and developing countries. The publication focuses on sharing clinical, epidemiological and translational science relevant to children’s health. Moreover, the primary goals of the publication are to highlight under‑represented pediatric disciplines, to emphasize interdisciplinary research and to disseminate advances in knowledge in global child health. In addition to original research, the journal publishes expert editorials and commentaries, clinical case reports, and insightful communications reflecting the latest developments in pediatric medicine. By publishing meritorious articles as soon as the editorial review process is completed, rather than at predefined intervals, Children also permits rapid open access sharing of new information, allowing us to reach the broadest audience in the most expedient fashion.
×
引用
GB/T 7714-2015
复制
MLA
复制
APA
复制
导出至
BibTeX EndNote RefMan NoteFirst NoteExpress
×
提示
您的信息不完整,为了账户安全,请先补充。
现在去补充
×
提示
您因"违规操作"
具体请查看互助需知
我知道了
×
提示
确定
请完成安全验证×
copy
已复制链接
快去分享给好友吧!
我知道了
右上角分享
点击右上角分享
0
联系我们:info@booksci.cn Book学术提供免费学术资源搜索服务,方便国内外学者检索中英文文献。致力于提供最便捷和优质的服务体验。 Copyright © 2023 布克学术 All rights reserved.
京ICP备2023020795号-1
ghs 京公网安备 11010802042870号
Book学术文献互助
Book学术文献互助群
群 号:604180095
Book学术官方微信