lps诱导的细胞内补体3激活调节牦牛瘤胃上皮细胞ATP的产生

IF 2.3 2区 农林科学 Q2 VETERINARY SCIENCES
Qiang Han, Qiqi Zhang, Duoting Wu, Zihan Yang, Jinyang Huang, Zhisheng Wang, Huawei Zou, Quanhui Peng, Yukun Meng, Yahui Jiang, Jianxin Xiao, Rui Hu
{"title":"lps诱导的细胞内补体3激活调节牦牛瘤胃上皮细胞ATP的产生","authors":"Qiang Han, Qiqi Zhang, Duoting Wu, Zihan Yang, Jinyang Huang, Zhisheng Wang, Huawei Zou, Quanhui Peng, Yukun Meng, Yahui Jiang, Jianxin Xiao, Rui Hu","doi":"10.3390/vetsci12090841","DOIUrl":null,"url":null,"abstract":"<p><p>This study aimed to investigate whether intracellular complement 3 (C3) activation regulates ATP production in yak rumen epithelial cells under inflammatory conditions and its potential mechanism. An in vitro inflammation model was established by stimulating yak rumen epithelial cells with lipopolysaccharide (LPS). Then, protease inhibitors targeting C3 activation enzymes were added. Additionally, to explore the downstream signaling pathway, exogenous C3a and the C3a receptor (C3aR) inhibitor C3aRY were applied to the inflammation model. After treatment with different concentrations of LPS, the gene expression levels and concentrations of pro-inflammatory cytokines, such as <i>TNF-α</i>, <i>IL-1β</i>, and <i>IL-6</i> were significantly up-regulated (<i>p</i> < 0.05), while a significant reduction in cellular ATP levels was observed (<i>p</i> < 0.05), along with a significant reduction in mitochondrial membrane potential (<i>p</i> < 0.05). After treating the inflammation model with different protease inhibitors, the ATP content and gene expression of the ATP synthase subunit <i>ATP5A</i> were significantly increased (<i>p</i> < 0.05). Exogenous addition of the C3aR inhibitor C3aRY in the inflammation model exhibited a significant increase in ATP content and <i>ATP5A</i> gene expression (<i>p</i> < 0.05) when compared to the inflammation model. These results demonstrated that intracellular C3 activation inhibited ATP production in yak rumen epithelial cells under inflammatory conditions, likely through C3a-C3aR signaling and the cAMP/PKA pathway.</p>","PeriodicalId":23694,"journal":{"name":"Veterinary Sciences","volume":"12 9","pages":""},"PeriodicalIF":2.3000,"publicationDate":"2025-08-31","publicationTypes":"Journal Article","fieldsOfStudy":null,"isOpenAccess":false,"openAccessPdf":"https://www.ncbi.nlm.nih.gov/pmc/articles/PMC12474471/pdf/","citationCount":"0","resultStr":"{\"title\":\"LPS-Induced Intracellular Complement 3 Activation Regulated ATP Production in Yak Rumen Epithelial Cells.\",\"authors\":\"Qiang Han, Qiqi Zhang, Duoting Wu, Zihan Yang, Jinyang Huang, Zhisheng Wang, Huawei Zou, Quanhui Peng, Yukun Meng, Yahui Jiang, Jianxin Xiao, Rui Hu\",\"doi\":\"10.3390/vetsci12090841\",\"DOIUrl\":null,\"url\":null,\"abstract\":\"<p><p>This study aimed to investigate whether intracellular complement 3 (C3) activation regulates ATP production in yak rumen epithelial cells under inflammatory conditions and its potential mechanism. An in vitro inflammation model was established by stimulating yak rumen epithelial cells with lipopolysaccharide (LPS). Then, protease inhibitors targeting C3 activation enzymes were added. Additionally, to explore the downstream signaling pathway, exogenous C3a and the C3a receptor (C3aR) inhibitor C3aRY were applied to the inflammation model. After treatment with different concentrations of LPS, the gene expression levels and concentrations of pro-inflammatory cytokines, such as <i>TNF-α</i>, <i>IL-1β</i>, and <i>IL-6</i> were significantly up-regulated (<i>p</i> < 0.05), while a significant reduction in cellular ATP levels was observed (<i>p</i> < 0.05), along with a significant reduction in mitochondrial membrane potential (<i>p</i> < 0.05). After treating the inflammation model with different protease inhibitors, the ATP content and gene expression of the ATP synthase subunit <i>ATP5A</i> were significantly increased (<i>p</i> < 0.05). Exogenous addition of the C3aR inhibitor C3aRY in the inflammation model exhibited a significant increase in ATP content and <i>ATP5A</i> gene expression (<i>p</i> < 0.05) when compared to the inflammation model. These results demonstrated that intracellular C3 activation inhibited ATP production in yak rumen epithelial cells under inflammatory conditions, likely through C3a-C3aR signaling and the cAMP/PKA pathway.</p>\",\"PeriodicalId\":23694,\"journal\":{\"name\":\"Veterinary Sciences\",\"volume\":\"12 9\",\"pages\":\"\"},\"PeriodicalIF\":2.3000,\"publicationDate\":\"2025-08-31\",\"publicationTypes\":\"Journal Article\",\"fieldsOfStudy\":null,\"isOpenAccess\":false,\"openAccessPdf\":\"https://www.ncbi.nlm.nih.gov/pmc/articles/PMC12474471/pdf/\",\"citationCount\":\"0\",\"resultStr\":null,\"platform\":\"Semanticscholar\",\"paperid\":null,\"PeriodicalName\":\"Veterinary Sciences\",\"FirstCategoryId\":\"97\",\"ListUrlMain\":\"https://doi.org/10.3390/vetsci12090841\",\"RegionNum\":2,\"RegionCategory\":\"农林科学\",\"ArticlePicture\":[],\"TitleCN\":null,\"AbstractTextCN\":null,\"PMCID\":null,\"EPubDate\":\"\",\"PubModel\":\"\",\"JCR\":\"Q2\",\"JCRName\":\"VETERINARY SCIENCES\",\"Score\":null,\"Total\":0}","platform":"Semanticscholar","paperid":null,"PeriodicalName":"Veterinary Sciences","FirstCategoryId":"97","ListUrlMain":"https://doi.org/10.3390/vetsci12090841","RegionNum":2,"RegionCategory":"农林科学","ArticlePicture":[],"TitleCN":null,"AbstractTextCN":null,"PMCID":null,"EPubDate":"","PubModel":"","JCR":"Q2","JCRName":"VETERINARY SCIENCES","Score":null,"Total":0}
引用次数: 0

摘要

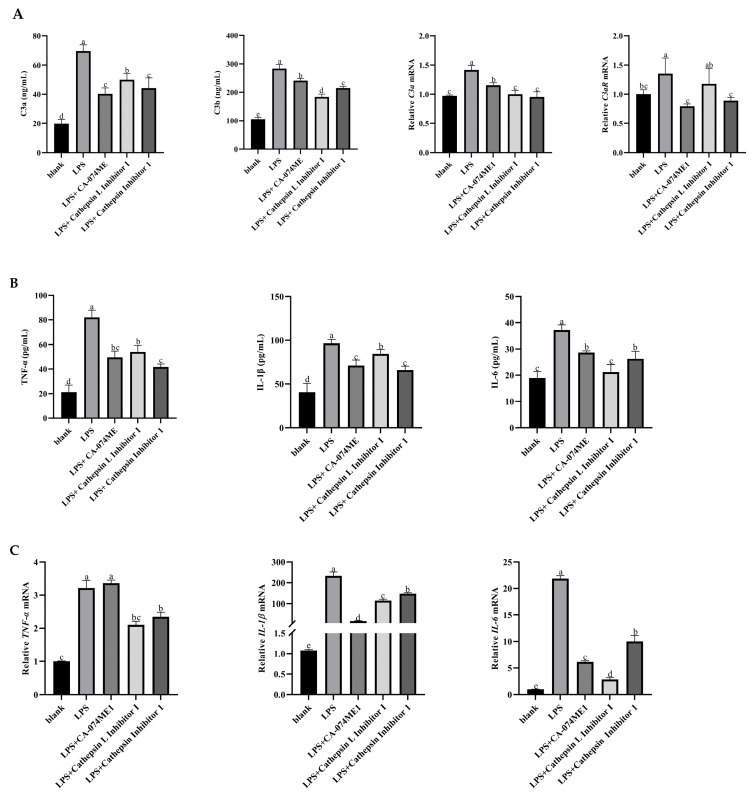
本研究旨在探讨炎症条件下细胞内补体3 (C3)激活是否调控牦牛瘤胃上皮细胞ATP的产生及其可能的机制。采用脂多糖(LPS)刺激牦牛瘤胃上皮细胞,建立了体外炎症模型。然后加入靶向C3活化酶的蛋白酶抑制剂。此外,为了探索下游信号通路,我们将外源性C3a和C3a受体(C3aR)抑制剂C3aRY应用于炎症模型。不同浓度LPS处理后,细胞中促炎因子TNF-α、IL-1β、IL-6等基因表达水平和浓度均显著上调(p < 0.05),细胞ATP水平显著降低(p < 0.05),线粒体膜电位显著降低(p < 0.05)。用不同蛋白酶抑制剂处理炎症模型后,ATP合成酶亚基ATP5A的ATP含量和基因表达量均显著升高(p < 0.05)。在炎症模型中外源性添加C3aR抑制剂C3aRY,与炎症模型相比,ATP含量和ATP5A基因表达显著增加(p < 0.05)。这些结果表明,在炎症条件下,细胞内C3激活可能通过C3a-C3aR信号和cAMP/PKA途径抑制牦牛瘤胃上皮细胞ATP的产生。
本文章由计算机程序翻译,如有差异,请以英文原文为准。

LPS-Induced Intracellular Complement 3 Activation Regulated ATP Production in Yak Rumen Epithelial Cells.

LPS-Induced Intracellular Complement 3 Activation Regulated ATP Production in Yak Rumen Epithelial Cells.

LPS-Induced Intracellular Complement 3 Activation Regulated ATP Production in Yak Rumen Epithelial Cells.

LPS-Induced Intracellular Complement 3 Activation Regulated ATP Production in Yak Rumen Epithelial Cells.

This study aimed to investigate whether intracellular complement 3 (C3) activation regulates ATP production in yak rumen epithelial cells under inflammatory conditions and its potential mechanism. An in vitro inflammation model was established by stimulating yak rumen epithelial cells with lipopolysaccharide (LPS). Then, protease inhibitors targeting C3 activation enzymes were added. Additionally, to explore the downstream signaling pathway, exogenous C3a and the C3a receptor (C3aR) inhibitor C3aRY were applied to the inflammation model. After treatment with different concentrations of LPS, the gene expression levels and concentrations of pro-inflammatory cytokines, such as TNF-α, IL-1β, and IL-6 were significantly up-regulated (p < 0.05), while a significant reduction in cellular ATP levels was observed (p < 0.05), along with a significant reduction in mitochondrial membrane potential (p < 0.05). After treating the inflammation model with different protease inhibitors, the ATP content and gene expression of the ATP synthase subunit ATP5A were significantly increased (p < 0.05). Exogenous addition of the C3aR inhibitor C3aRY in the inflammation model exhibited a significant increase in ATP content and ATP5A gene expression (p < 0.05) when compared to the inflammation model. These results demonstrated that intracellular C3 activation inhibited ATP production in yak rumen epithelial cells under inflammatory conditions, likely through C3a-C3aR signaling and the cAMP/PKA pathway.

求助全文
通过发布文献求助,成功后即可免费获取论文全文。 去求助
来源期刊
Veterinary Sciences
Veterinary Sciences VETERINARY SCIENCES-
CiteScore
2.90
自引率
8.30%
发文量
612
审稿时长
6 weeks
期刊介绍: Veterinary Sciences is an international and interdisciplinary scholarly open access journal. It publishes original that are relevant to any field of veterinary sciences, including prevention, diagnosis and treatment of disease, disorder and injury in animals. This journal covers almost all topics related to animal health and veterinary medicine. Research fields of interest include but are not limited to: anaesthesiology anatomy bacteriology biochemistry cardiology dentistry dermatology embryology endocrinology epidemiology genetics histology immunology microbiology molecular biology mycology neurobiology oncology ophthalmology parasitology pathology pharmacology physiology radiology surgery theriogenology toxicology virology.
×
引用
GB/T 7714-2015
复制
MLA
复制
APA
复制
导出至
BibTeX EndNote RefMan NoteFirst NoteExpress
×
提示
您的信息不完整,为了账户安全,请先补充。
现在去补充
×
提示
您因"违规操作"
具体请查看互助需知
我知道了
×
提示
确定
请完成安全验证×
copy
已复制链接
快去分享给好友吧!
我知道了
右上角分享
点击右上角分享
0
联系我们:info@booksci.cn Book学术提供免费学术资源搜索服务,方便国内外学者检索中英文文献。致力于提供最便捷和优质的服务体验。 Copyright © 2023 布克学术 All rights reserved.
京ICP备2023020795号-1
ghs 京公网安备 11010802042870号
Book学术文献互助
Book学术文献互助群
群 号:604180095
Book学术官方微信