自行车耐力运动中心流状态对感知运动强度与生理强度差异的贡献。

IF 2.8 3区 医学 Q1 REHABILITATION
Satoshi Takinami, Yasushi Nakatani, Yumie Ono, Shingo Murakami
{"title":"自行车耐力运动中心流状态对感知运动强度与生理强度差异的贡献。","authors":"Satoshi Takinami, Yasushi Nakatani, Yumie Ono, Shingo Murakami","doi":"10.1186/s13102-025-01342-9","DOIUrl":null,"url":null,"abstract":"<p><strong>Background: </strong>The flow phenomenon, achieving a heightened state of concentration, is characterized by an autotelic experience, which may reduce the perception of physical exertion during sports activities. It has been extensively documented in sports and is associated with exceptional performance. However, despite comprehensive descriptions of the autotelic experience in flow, the physiological mechanisms underlying flow remain elusive, limiting its reproducibility and broader application. This study aimed to elucidate the contribution of flow to the discrepancies between perceived exercise intensity and physiological intensity during endurance exercise using an exercise bike.</p><p><strong>Methods: </strong>We assessed specific conditions conducive to flow during endurance exercise on a bicycle ergometer. Flow states were evaluated using a shortened version of the Flow State Scale, whereas subjective perceptions of exercise intensity were measured using the Rating of Perceived Exertion (RPE). Physiological responses were monitored by measuring heart rate (HR), oxygen consumption, breathing frequency, ventilation, and oxy- and deoxy-hemoglobin levels for changes in cerebral oxygenation at the prefrontal cortex assessed using near-infrared spectroscopy.</p><p><strong>Results: </strong>Participants were categorized into RPE alleviation and escalation groups to examine individual differences in perceived exertion. RPE changes significantly differed between the two groups (p = 0.0002), despite no significant difference in HR changes (p = 0.36). The discrepancy ratios between perceived and physiological exercise intensity also significantly differed between groups (p = 0.001) and were negatively correlated with flow state levels (r = - 0.56).</p><p><strong>Conclusions: </strong>These findings advance our understanding of the physiological and neurological correlates of flow states during physical activity, with potential applications extending beyond sports performance enhancement to domains such as education and arts.</p>","PeriodicalId":48585,"journal":{"name":"BMC Sports Science Medicine and Rehabilitation","volume":"17 1","pages":"273"},"PeriodicalIF":2.8000,"publicationDate":"2025-09-26","publicationTypes":"Journal Article","fieldsOfStudy":null,"isOpenAccess":false,"openAccessPdf":"https://www.ncbi.nlm.nih.gov/pmc/articles/PMC12465751/pdf/","citationCount":"0","resultStr":"{\"title\":\"Contribution of flow state to the discrepancy between perceived exercise intensity and physiological intensity during endurance bike exercise.\",\"authors\":\"Satoshi Takinami, Yasushi Nakatani, Yumie Ono, Shingo Murakami\",\"doi\":\"10.1186/s13102-025-01342-9\",\"DOIUrl\":null,\"url\":null,\"abstract\":\"<p><strong>Background: </strong>The flow phenomenon, achieving a heightened state of concentration, is characterized by an autotelic experience, which may reduce the perception of physical exertion during sports activities. It has been extensively documented in sports and is associated with exceptional performance. However, despite comprehensive descriptions of the autotelic experience in flow, the physiological mechanisms underlying flow remain elusive, limiting its reproducibility and broader application. This study aimed to elucidate the contribution of flow to the discrepancies between perceived exercise intensity and physiological intensity during endurance exercise using an exercise bike.</p><p><strong>Methods: </strong>We assessed specific conditions conducive to flow during endurance exercise on a bicycle ergometer. Flow states were evaluated using a shortened version of the Flow State Scale, whereas subjective perceptions of exercise intensity were measured using the Rating of Perceived Exertion (RPE). Physiological responses were monitored by measuring heart rate (HR), oxygen consumption, breathing frequency, ventilation, and oxy- and deoxy-hemoglobin levels for changes in cerebral oxygenation at the prefrontal cortex assessed using near-infrared spectroscopy.</p><p><strong>Results: </strong>Participants were categorized into RPE alleviation and escalation groups to examine individual differences in perceived exertion. RPE changes significantly differed between the two groups (p = 0.0002), despite no significant difference in HR changes (p = 0.36). The discrepancy ratios between perceived and physiological exercise intensity also significantly differed between groups (p = 0.001) and were negatively correlated with flow state levels (r = - 0.56).</p><p><strong>Conclusions: </strong>These findings advance our understanding of the physiological and neurological correlates of flow states during physical activity, with potential applications extending beyond sports performance enhancement to domains such as education and arts.</p>\",\"PeriodicalId\":48585,\"journal\":{\"name\":\"BMC Sports Science Medicine and Rehabilitation\",\"volume\":\"17 1\",\"pages\":\"273\"},\"PeriodicalIF\":2.8000,\"publicationDate\":\"2025-09-26\",\"publicationTypes\":\"Journal Article\",\"fieldsOfStudy\":null,\"isOpenAccess\":false,\"openAccessPdf\":\"https://www.ncbi.nlm.nih.gov/pmc/articles/PMC12465751/pdf/\",\"citationCount\":\"0\",\"resultStr\":null,\"platform\":\"Semanticscholar\",\"paperid\":null,\"PeriodicalName\":\"BMC Sports Science Medicine and Rehabilitation\",\"FirstCategoryId\":\"3\",\"ListUrlMain\":\"https://doi.org/10.1186/s13102-025-01342-9\",\"RegionNum\":3,\"RegionCategory\":\"医学\",\"ArticlePicture\":[],\"TitleCN\":null,\"AbstractTextCN\":null,\"PMCID\":null,\"EPubDate\":\"\",\"PubModel\":\"\",\"JCR\":\"Q1\",\"JCRName\":\"REHABILITATION\",\"Score\":null,\"Total\":0}","platform":"Semanticscholar","paperid":null,"PeriodicalName":"BMC Sports Science Medicine and Rehabilitation","FirstCategoryId":"3","ListUrlMain":"https://doi.org/10.1186/s13102-025-01342-9","RegionNum":3,"RegionCategory":"医学","ArticlePicture":[],"TitleCN":null,"AbstractTextCN":null,"PMCID":null,"EPubDate":"","PubModel":"","JCR":"Q1","JCRName":"REHABILITATION","Score":null,"Total":0}
引用次数: 0

摘要

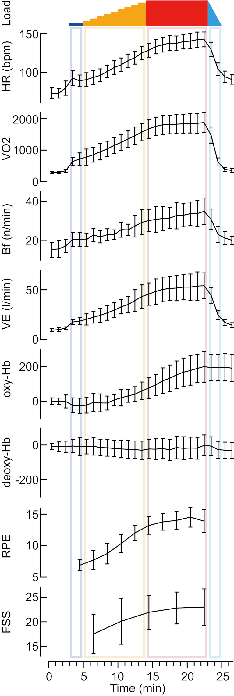
背景:心流现象,达到高度集中的状态,其特点是一种自私自利的体验,这可能会减少体育活动中体力消耗的感知。它在体育运动中有广泛的记录,并与出色的表现有关。然而,尽管对流动中的自持体验有了全面的描述,但流动的生理机制仍然难以捉摸,限制了其可重复性和更广泛的应用。本研究旨在阐明流量在自行车耐力运动中感知运动强度与生理强度差异中的作用。方法:我们在自行车测力仪上评估耐力运动中有利于流动的具体条件。心流状态是用简化版的心流状态量表来评估的,而对运动强度的主观感知是用感知运动强度评级(RPE)来衡量的。生理反应通过测量心率(HR)、耗氧量、呼吸频率、通气量、氧和脱氧血红蛋白水平来监测,用近红外光谱评估前额皮质脑氧变化。结果:参与者被分为RPE缓解组和RPE升级组,以检查感知运动的个体差异。两组RPE变化差异有统计学意义(p = 0.0002), HR变化差异无统计学意义(p = 0.36)。感知运动强度与生理运动强度的差异比在组间也有显著差异(p = 0.001),且与心流状态水平呈负相关(r = - 0.56)。结论:这些发现促进了我们对身体活动中心流状态的生理和神经相关性的理解,其潜在的应用范围不仅限于运动表现的提高,还包括教育和艺术等领域。
本文章由计算机程序翻译,如有差异,请以英文原文为准。

Contribution of flow state to the discrepancy between perceived exercise intensity and physiological intensity during endurance bike exercise.

Contribution of flow state to the discrepancy between perceived exercise intensity and physiological intensity during endurance bike exercise.

Contribution of flow state to the discrepancy between perceived exercise intensity and physiological intensity during endurance bike exercise.

Contribution of flow state to the discrepancy between perceived exercise intensity and physiological intensity during endurance bike exercise.

Background: The flow phenomenon, achieving a heightened state of concentration, is characterized by an autotelic experience, which may reduce the perception of physical exertion during sports activities. It has been extensively documented in sports and is associated with exceptional performance. However, despite comprehensive descriptions of the autotelic experience in flow, the physiological mechanisms underlying flow remain elusive, limiting its reproducibility and broader application. This study aimed to elucidate the contribution of flow to the discrepancies between perceived exercise intensity and physiological intensity during endurance exercise using an exercise bike.

Methods: We assessed specific conditions conducive to flow during endurance exercise on a bicycle ergometer. Flow states were evaluated using a shortened version of the Flow State Scale, whereas subjective perceptions of exercise intensity were measured using the Rating of Perceived Exertion (RPE). Physiological responses were monitored by measuring heart rate (HR), oxygen consumption, breathing frequency, ventilation, and oxy- and deoxy-hemoglobin levels for changes in cerebral oxygenation at the prefrontal cortex assessed using near-infrared spectroscopy.

Results: Participants were categorized into RPE alleviation and escalation groups to examine individual differences in perceived exertion. RPE changes significantly differed between the two groups (p = 0.0002), despite no significant difference in HR changes (p = 0.36). The discrepancy ratios between perceived and physiological exercise intensity also significantly differed between groups (p = 0.001) and were negatively correlated with flow state levels (r = - 0.56).

Conclusions: These findings advance our understanding of the physiological and neurological correlates of flow states during physical activity, with potential applications extending beyond sports performance enhancement to domains such as education and arts.

求助全文
通过发布文献求助,成功后即可免费获取论文全文。 去求助
来源期刊
BMC Sports Science Medicine and Rehabilitation
BMC Sports Science Medicine and Rehabilitation Medicine-Orthopedics and Sports Medicine
CiteScore
3.00
自引率
5.30%
发文量
196
审稿时长
26 weeks
期刊介绍: BMC Sports Science, Medicine and Rehabilitation is an open access, peer reviewed journal that considers articles on all aspects of sports medicine and the exercise sciences, including rehabilitation, traumatology, cardiology, physiology, and nutrition.
×
引用
GB/T 7714-2015
复制
MLA
复制
APA
复制
导出至
BibTeX EndNote RefMan NoteFirst NoteExpress
×
提示
您的信息不完整,为了账户安全,请先补充。
现在去补充
×
提示
您因"违规操作"
具体请查看互助需知
我知道了
×
提示
确定
请完成安全验证×
copy
已复制链接
快去分享给好友吧!
我知道了
右上角分享
点击右上角分享
0
联系我们:info@booksci.cn Book学术提供免费学术资源搜索服务,方便国内外学者检索中英文文献。致力于提供最便捷和优质的服务体验。 Copyright © 2023 布克学术 All rights reserved.
京ICP备2023020795号-1
ghs 京公网安备 11010802042870号
Book学术文献互助
Book学术文献互助群
群 号:604180095
Book学术官方微信